



GB/T 3216—2016规定了泵的水力性能验收试验方法。试验结果分析就是分析试验所得到的相关试验数据,首先将试验所得的数据按规定条件进行换算,然后考虑试验数据估算出的总的不确定度,最后比较确定是否满足水力性能规范。
试验转速因电动机型号、规格和生产厂家不同,以及因电网工频的波动而变动。如果要使试验转速与规定转速不一致,只有采取变频方式。而要达到这种要求,除特殊情况外,一般是没有必要的。如果试验转速与规定转速 n sp 的差异不超过1.2.3中3.所规定试验转速,以及试验液体与规定液体的差异不超过表1-4规定的范围,可以将与规定转速不同的转速下得到的所有试验数据换算为以规定转速 n sp 为基准的数据。
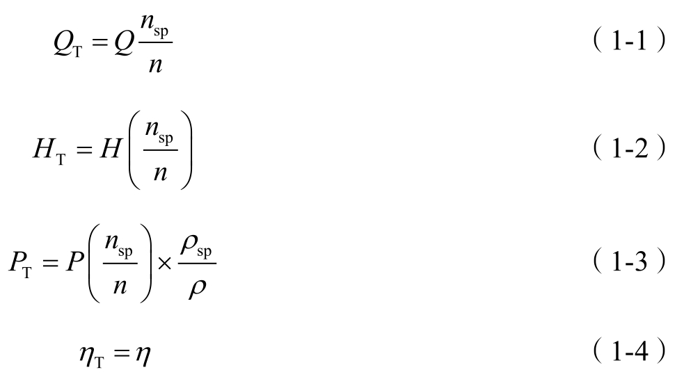
流量 Q 、扬程 H 、输入功率 P 和效率 η 的测量数据可以按式(1-1)~式(1-4)进行换算:
式中, ρ 是密度(kg/m 3 );角标T表示为转换成规定转速下的量;角标sp表示为规定下的量。
对于NPSH的测量结果可按式(1-5)进行换算:
式中, x 为未知数。
如果流量为对应试验转速下最高效率点流量的70%~120%,试验转速与规定转速差异允许在±20%范围以内,并且叶轮入口处液体的物理状态又没有影响泵正常工作的难以处理的气体析出,则作为汽蚀余量NPSH的一级近似可以使用 x =2。
在整体电动机-泵机组的情况下,或当保证是对规定频率和电压而非规定转速而言时,流量、扬程、输入功率和效率数据仍符合上述的换算规律,只需将规定转速 n sp 换成规定频率 f sp ,转速 n 换成频率 f 即可。然而,这样的换算只限于试验时选定的频率的改变不超过1%这种情况。如果试验使用的电压与作为保证特性基准的电压的上差或下差不超过5%,其他工作数据无须改变。
如果是变速驱动的泵,未能满足保证转速或超过保证转速时,只要未超过连续运转的最大允许转速,即可按另一转速重新计算试验点。如无专门协议规定,可以取最大允许转速等于1.02 n sp 。在这种情况下,不需要做新的试验。
在与规定NPSH A (有效汽蚀余量)不相同的NPSH A 下进行试验时,若已经查明没有发生汽蚀,则在对转速(按照给定的允许范围内)做了修正之后,低NPSH A 下测得到的泵水力性能可以代表高NPSH A 下的水力性能。
即使使用的测量方法、所用的仪表及分析方法完全可行并符合试验的要求,但每一测量值也仍不可避免地存在不确定度。
1.随机不确定度的评定
随机不确定度(由随机效应引起的测量不确定度)用不确定度A类评定的方法,也就是用对观测列进行统计分析的方法进行评定。与系统不确定度不同,随机不确定度可以通过在同样条件下增加同一量的测量次数来降低。
测量不确定度随机部分的评定通过观测值的平均值和标准偏差计算得出。对于读数的不确定度,用流量 Q 、扬程 H 和功率 P 的实际测量读数代替 x 。
每一个试验点应至少取3组读数。随机不确定度 e R 计算如下。
如果
n
表示读数的次数,那么一组重复测量观测值
x
i
(
i
=1,2,…,
n
)的算术平均值
为
利用贝塞尔公式观测值的标准偏差从式(1-7)导出
随机效应产生的平均值的相对不确定度值 e R 从式(1-8)导出
式中, t 为表1-7中 n 的一个函数。
小贴士: 如果总的不确定度值 e 不能满足表1-10中的准则要求,那么测量的随机不确定度值 e R 可以通过在同样条件下增加同一量的测量次数来降低。
表1-7 t 分布数值(基于95%置信度)
2.系统不确定度的评定
当通过零点调整、校准、仔细地测量尺寸和正确地安装等将已知的所有误差均消除之后,仍然会留有不确定度,它将永远不会消失。即使仍使用同一仪表和同样测量方法,也不能通过重复测量使其降低。这种不确定度就是系统不确定度。系统不确定度(由系统效应引起的测量不确定度),则用不确定度的B类评定的方法来进行评定,也就是根据有关信息来评定。
系统不确定度内的评定实际上是以测量标准的校准为基础。表1-8给出了系统不确定度 e S 的允许相对值。
表1-8 系统不确定度 e S 的允许相对值
3.总体的不确定度
总体的不确定度值由随机不确定度和系统不确定度这两部分组成。这两部分不确定度通常情况下用“方和根”法进行合成,即 e 的估算公式为
表1-9给出了总体的不确定度的允许值。
小贴士: 本书规定的总体不确定度等同于扩展测量不确定度(见ISO/IEC Guide 99)。
表1-9 总体的不确定度的允许值
4.效率总体测量不确定度的评定
总效率和泵效率的总体测量不确定度按式(1-10)~式(1-12)计算。
如果效率由转矩和转速计算得出
如果效率由泵输入功率计算得出
利用表1-9中给出的值进行计算即得出表1-10所给的结果。
表1-10 效率总体不确定度最大导出值
换算后的试验结果的不确定度,应使用由试验估算出的总的不确定度或者用预先考虑了试验方法和条件而选取的不确定度。
考虑各坐标的总的不确定度,测得的每一工况点均可以用一个椭圆来表示。椭圆的两条轴代表具有95%置信度的总的不确定度。
不确定度的绝对值,泵排出流量为± e Q Q ;泵扬程为± e H H ;泵输入功率为± e P P ;泵效率为± e η η。其中, e 代表所研究量的相对总不确定度。
在确定了各个测量点的总的不确定度和画出椭圆后,还应做出这些椭圆的上、下包络线(见图1-2)。试验结果即是一条由两条包络线加以限定的测量带。在该测量带范围内的所有点均是等效的。
由于在制造过程中必定会产生偏差,所以每台泵产品均可能发生几何形状和尺寸不符合图样的情况。故在对试验结果与保证值(工作点)进行比较时,应允许有一定的容差存在。应该指出,泵的这些容差只与实际的泵有关,并不涉及试验条件和测量不确定度。
图1-2 各测量点总的不确定度椭圆包络线
a) H ( Q )曲线 b) η ( Q )曲线 c) P ( Q )曲线
为简化保证值的证实过程,建议引入容差系数, t Q 、 t H 、 t η 分别为流量、扬程和泵效率的容差系数。在没有关于应使用什么样的容差系数值的专门协议的情况下,建议使用表1-11给出的数值。其他的容差范围(如果只给出正的容差系数)可以在供货合同中商定。
表1-11 容差系数值
应按1.3.1将测量结果换算到规定转速(或频率)下,然后绘制它们与流量 Q 的关系曲线(与各测量点拟合最佳的曲线代表泵的性能曲线)。给定流量下试验结果与规定的量的比较如图1-3所示。图1-3中 t H 、 t η 、 t P 分别为扬程 H 、效率 η 、输入功率 P 的商定容差,所定义的测量带相交/相切于图1-3中的 AB 线,则其特性规范得到满足。
图1-3 给定流量下试验结果与规定的量的比较
a)测得的扬程与给定流量下的规定扬程的比较图 b)测得的效率与给定流量下的规定效率的比较图 c)测得的输入功率与给定流量下的规定输入功率的比较图
根据试验证明,泵的性能特性比规定的性能特性高,超出了上容差(+容差)范围时,通常需要通过切削叶轮直径进行修正。如果规定值与测得值相差很小,可应用比例定律估算新的特性,免去进行一系列新的试验。除非叶轮直径切割量超过试验叶轮直径的5%。