



在工艺研究中,反应终点控制的研究和生产过程中药品质量的管理是药品生产中密切相关而又性质不同的两个方面。
合成工艺中,除了最终产品要符合药品生产质量管理规范(good manufacturing practice,GMP)及《中国药典》等相关要求外,试剂、原料及中间体的质量对下一步反应和产品的质量影响很大,若不控制规定杂质含量的最高限度,不仅影响反应、降低收率,还会影响产品的质量和药效,甚至会危害使用者的健康和生命。因此,对合成工艺中相关原料、试剂及中间体的质量控制就显得尤为重要。
原料药质量优劣与生产过程中的各个环节都有密切的关系。因此,在药物工艺条件研究时,必须制订相关的原料、中间体的质量标准,尤其是其最低含量的控制,主要包括原料、中间体的质量控制;杂质或水分的限量控制;副反应及副产物的控制。
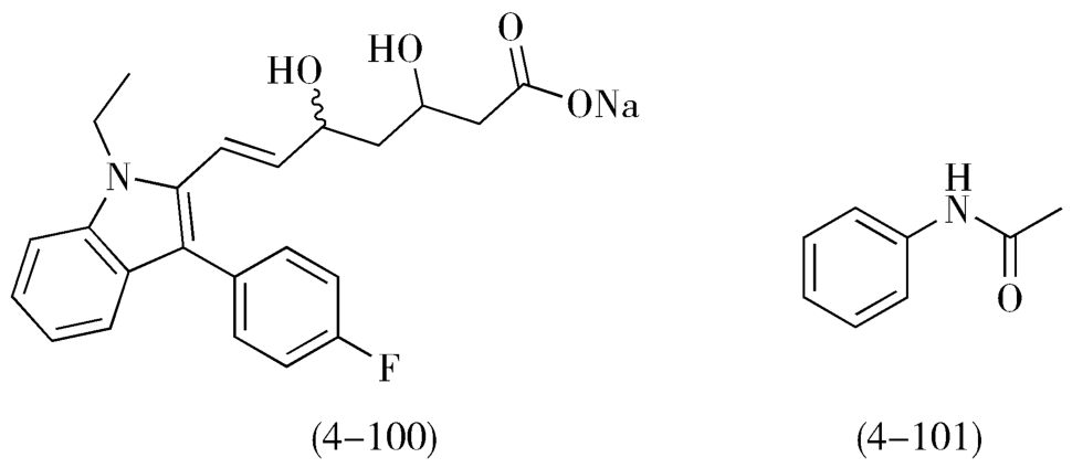
1.原料、中间体的质量控制 正常情况下,合成工艺研究中所购买使用的化学原料及试剂都不是100%的纯度,都是含有少量杂质的。某些情况下,杂质是由合成中所使用的原料或试剂引入的,这些杂质可能始终存在于合成反应中而污染目标产物。有时,这些杂质也会参与发生化学反应,生成副产物而污染目标产物,使收率或纯度不达标。例如,在氟伐他汀钠(fluvastatin sodium,4-99)的合成过程中所形成的杂质就是这些原因引起的。通过对目标产物进行分析,发现 N -乙基类似物(4-100)这一杂质的存在。它是由第二步合成中所使用的 N -异丙基苯胺中的杂质 N -乙酰苯胺(4-101)引入的。这个杂质在结构上与起始原料相似,与原料发生同样的反应而产生了相应的杂质,如图4-34及图4-35所示。
图4-34 氟伐他汀钠的合成路线图
图4-35 氟伐他汀钠的 N -乙酰类似物及 N -乙基苯胺的结构式
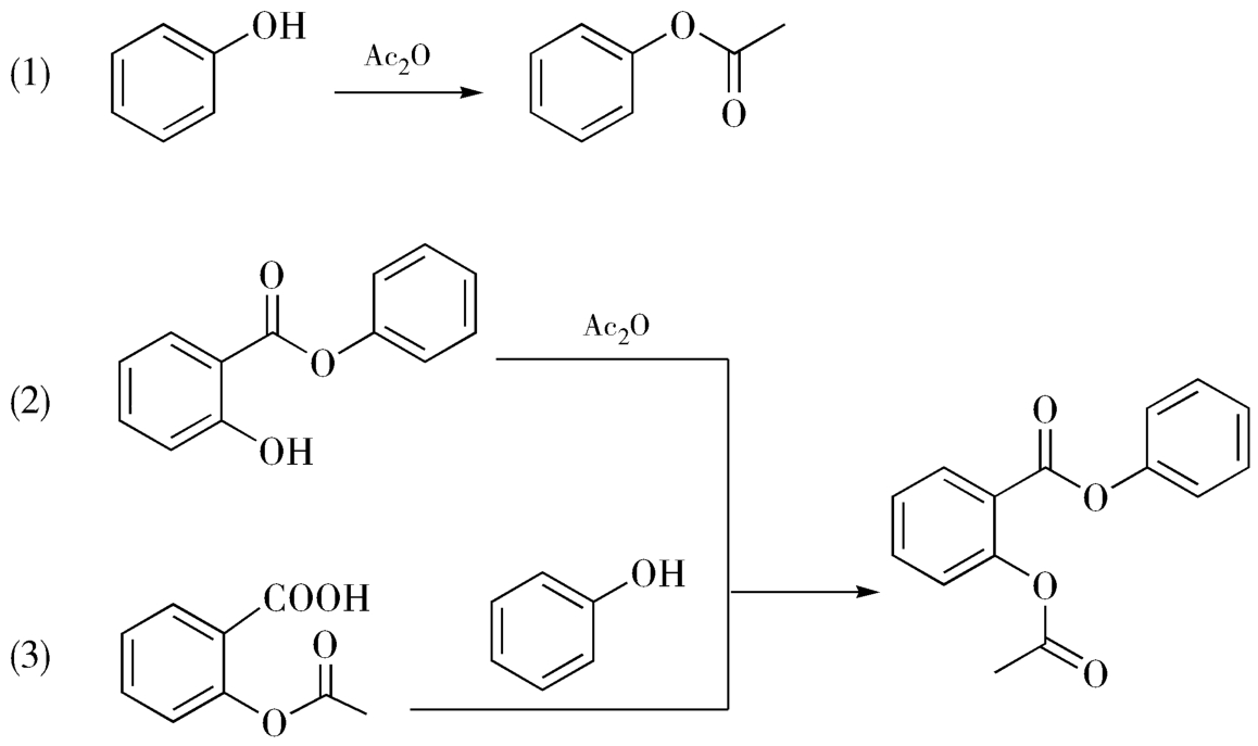
由此看来,对用于合成药物工艺中的原料、中间体及试剂等制订相应的质量标准并对其进行分析是十分必要的,是因为该原料、中间体或试剂等合成工艺中所应用的化学物质的含量发生变化或来源改变等,如果按原投料比投料,就会使反应物的配比不符合操作规程要求,从而影响产物的质量或收率等。如( S )-3-(4-硝基苯基磺酰胺)-4-苯基丁酸(4-102)的烯丙基化反应,当原料中烯丙基溴和碳酸钾的含量降低就会得到单烯丙基化物( S )-3-氨基-4-苯基丁酸烯丙酯(4-103),而双烯丙基化产物(4-104)收率就会下降,如图4-36所示。
图4-36 ( S )-3-(4-硝基苯基磺酰胺)-4-苯基丁酸的烯丙基化反应
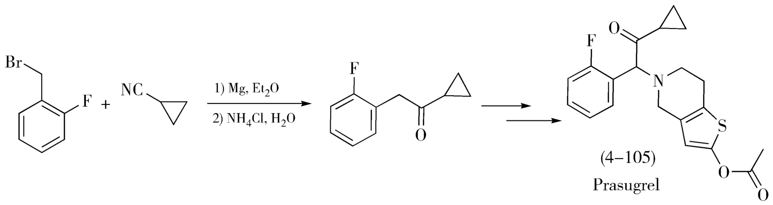
2.杂质或水分的限量控制 由于原辅料等所含杂质或水分超过限量,致使反应异常或影响收率。格氏试剂是金属有机化合物中最常用的一种,是一类重要的有机合成中间体,制备过程中需要绝对的无水、无氧。如抗血栓药物普拉格雷(prasugrel)(4-105)的制备过程中,就用到格氏试剂,如反应体系中含有水或氧,则无法得到目标产物,见图4-37。
图4-37 普拉格雷的合成路线示意图
在催化氢化反应中,若原料中带入少量的催化毒物(镍、氰化物、硫化物等),就很可能使催化剂中毒而失去活性。
又如克霉唑(Lotrimin)的合成过程中,最后一步缩合反应,一般需要在无水条件下进行。但在工业生产上因采用丙酮、乙腈为溶剂,这些溶剂含水量不稳定,影响克霉唑粗品的质量,且精制较为困难。有报道称,利用疏水性有机溶剂和水进行两相反应,即反应中采用苯作为有机相,使原料和反应产物都隐蔽在有机相中,并以过量的咪唑作为缚酸剂,先在室温下反应1.5小时,然后再加碱并升温至50℃,反应2小时后处理可得到质量较好的产品,收率比旧法提高了10%以上,如图4-38所示。
图4-38 克霉唑的合成反应路线
3.副反应及副产物的控制 有两个或两个以上反应同时进行,生成的副产物混杂在主反应中,致使产品质量不合格,有时需要进行反复精制,才能达到合格的标准。如阿司匹林的合成是以水杨酸为起始原料的,它在工业上是用苯酚经Kolbe反应制得的,因此其中常混有一些未反应的苯酚,如图4-39所示。在相应的条件下,它会发生一系列相关的副反应,如图4-40所示。
图4-39 水杨酸的工业合成路线
图4-40 合成阿司匹林时的副反应和副产物
在生产氯丙嗪(chloropromazine,4-107)的过程中,间氯二苯胺在碘的催化下与升华硫作用,可生成主产物2-氯吩噻嗪(4-106-1)和少量副产物4-氯吩噻嗪(4-106-2)。这两者都能与侧链 N , N -二甲基氯代丙胺缩合,分别生成氯丙嗪(4-107)和4-氯吩噻嗪的衍生物(4-108),图4-41所得的产品必须反复精制才能合格,此过程中会损失一定量的目标产物而使收率降低。为避免这种损失,可在环合反应中抑制4-氯吩噻嗪的生成,或者在缩合前先将副产物4-氯吩噻嗪除去。
图4-41 氯丙嗪的合成路线图
在药物合成工艺研究中,每个反应都有一个最佳的反应时间,除了上述浓度、温度、压力、溶剂、催化剂等影响因素外,反应时间也是影响收率和产品质量的重要因素。在这个最佳反应时间结束反应时,可以得到收率高、纯度好的产物。此外,它还可影响生产进程、设备利用率、劳动生产率等。所以,科学地确定化学反应时间并正确控制它,也是药物合成工艺研究中重要的内容。
在一定条件下,一个化学反应的时间是固定的。反应时间不够,即反应终点“提前”,反应进行不完全,主产物的量没有达到最大化,影响收率及产品质量。反应时间过长,即反应终点“滞后”,可能使反应产物分解、破坏,副产物增多,使收率降低、产品质量下降。另一方面,反应时间与生产周期和劳动生产率都有关系。因而,对于每一个反应都必须掌握好它的进程,控制好反应时间和终点。如图4-42所示,由1-溴-2-乙氧基乙烯(4-109)制备2-乙氧乙烯基三甲基硅烷(4-110)的过程中,当反应时间由5分钟延长至6小时,产物的收率则由90%降至30%。因此,对于这类反应要严格控制反应时间,并不是反应时间越长,产物的收率越高。
图4-42 2-乙氧乙烯基三甲基硅烷的合成反应
反应时间主要取决于反应过程化学变化的完成情况,或者说反应是否已达到终点。确定最佳反应时间没有规律可循,是通过对反应终点的控制摸索获得的。通常情况下,可根据文献报道的相关反应来设定一个反应时间,再对反应进程进行检测,确定反应终点。控制反应终点,主要是控制主反应的终点,测定反应系统中是否有未反应的原料,或其残存量是否达到规定值。一般可用简易快速的化学或物理方法测定反应终点,如显色、沉淀、酸碱度、薄层色谱、气相色谱、折光率、红外光谱法和高效液相色谱法等。例如,由水杨酸制备阿司匹林的乙酰化反应及由氯乙酸制备氰乙酸的氰化反应,都是利用快速测定法来确定反应终点的。前者测定水杨酸含量达到0.02%以下即可停止反应,后者测定反应液中氰根离子的含量应在0.4%以下方为反应终点。
此外,也可根据反应现象、反应变化情况及反应生成物的物理性质(如密度、结晶状态等)来判断反应终点。如催化氢化反应,一般是以吸氢量来控制反应终点的,当氢气吸收达到理论量时,氢气压强不再下降或下降速度很慢,即表示反应已达到终点。通氯气的氯化反应,常以反应液的比重变化来控制反应终点。
化学合成反应最常用的监测方法是薄层层析法(thin-layer chromatography,TLC),也称薄层色谱法。TLC监测反应的原理是利用硅胶板上的吸附剂(硅胶)对样品中各组分吸附能力的不同,即展开剂对它们的解吸附能力的不同,在点样、展开后使各组分离,并在一定的显色条件下展现出不同大小、颜色、形状的光斑,以判断反应的状态。通过TLC对反应的跟踪,可以判断反应有无新点产生、原料有无剩余、剩余多少、反应是否干净,并综合判断反应如何处理(图4-43)。
应用TLC监测反应的基本步骤:准备硅胶板、选择展开剂、点样、展开、显色。
(1)反应跟踪用的硅胶板一般为2~3cm宽、4~6cm长的硅胶小板。
(2)展开剂的极性视Rf值而定,最好使目标物质的点处于可视度较好的位置,如Rf值为0.4~0.6。一般极性的化合物用石油醚/乙酸乙酯的体系,极性较大的化合物可用二氯甲烷/甲醇的展开剂体系可以通过调节两种溶剂的配比来调节展开剂极性的大小。
(3)点样时距离下沿约1cm,一般依次点原料点、反应液点、产物对照点,若有一个以上的原料点或产物点,也可根据需求多点几个样点,点样时浓度要适当。
(4)展开前要冷风吹干以防止样品溶剂极性对展板过程的影响。展开时注意展缸的密闭,防止展开溶剂挥发。展开一般遵从展开剂由低极性到高极性的原则,若展开后点的位置偏高或偏低,需更换展开剂,若展开一次后两个斑点离得很近,可多次展开。
(5)显色时,“一看”:首先在日光下观察,有些有色物质直接可以看到斑点位置;“二照”:在紫外灯下观察有无暗斑或荧光斑点;“三碘”:对于紫外吸收很弱的物质,可用碘缸进行显色;“四显”:既无色又无紫外吸收且在碘缸中不显色的物质,可以用显色剂显色。
图4-43 TLC法监测反应过程示意图
薄层层析法跟踪监测化学反应,操作简单、成本低廉、灵敏度高、分离速度快,是有机合成实验中最常用的反应跟踪手段。但需要注意的是,TLC跟踪反应只能是初步的定性判断,精确度不高,不能准确定量,若需准确定量,还需采用HPLC等方法进一步精准测定。另外,判断是否准确,选择合理的显色剂、显色方式和显色条件很重要。有些特殊的反应需要先做一定的处理再展开,如含有NaH、 n -BuLi的反应体系,可先对样品进行淬灭、萃取,再进行TLC监测;有时展开会出现拖尾,要先对样品做处理再展开,综合判断。
绝大多数有机反应结束后得到的都是混合物,目标产物混杂在其中,这就需要用适当的方法分离得到纯度符合要求的目标产物,整个过程就称之为反应的后处理。这个过程中不仅仅包括从反应混合物中分离得到目标产物,也包括母液的处理等。后处理涉及的化学反应(如酸碱中和反应等)较少,多数为化工单元操作。
后处理过程优劣的评价标准主要有:①产品是否最大限度地、保质保量地被回收了。②原料、中间体、溶剂及有价值的副产物是否被最大限度地回收、利用。③后处理步骤是否简便易行。④“三废”(废水、废渣、废气)量是否达到最小。
后处理方法因反应的性质不同而方法各异。研究后处理时,首先要知道反应体系中可能存在的物质种类、组成和数量等,以此为基础,找出它们之间的性质差异,再利用这些差异采用适当的分离方法将目标产物分离。目前,合成反应的后处理方法主要有淬灭、浓缩、萃取、过滤、酸碱化处理、结晶和重结晶、蒸馏、柱层析等。具体采用哪种后处理方法要视情况而定,具体问题具体分析。有时,一个化学反应要同时用几种后处理方法对目标产物进行分离纯化。下面对几种经常应用于药物合成工艺中的后处理方法进行分析介绍。
1.淬灭 有机化学反应体系中的活性试剂常常是过量的,当反应进行到一定程度,目标产物已经获得,该过量反应物继续存在可能会进一步发生连续型副反应,或者到达反应终点后,带着过量的活波试剂进行后处理,也会产生连续性反应,破坏了目标产物,所以需要淬灭反应体系。淬灭的原理是用另一种更易与该过量活性试剂反应的化合物与之反应,从而将其从反应体系中除去,即淬灭是当反应到达终点或在确定要终止化学反应时,向反应体系中加入某些物质,破坏体系里残存的活性试剂,使得反应真正终止的操作。合理的淬灭是终止反应、防止和减少副产物的产生、除去反应杂质、使反应体系稳定的必要操作,为后续操作提供安全保障。
化学反应在淬灭时要注意以下几点:①选择合适的淬灭试剂,充分考虑产物的稳定性及后处理的难易程度。②如果淬灭过程会大量放热,须在冷却下逐渐加入,让淬灭缓慢且可控的进行。③及时对反应体系进行监控,确定反应结束,才能对其进行淬灭。④对高活性试剂,也可采用分步淬灭的办法。⑤可采用“逆淬灭”,即把反应液加入到淬灭剂的溶液中。⑥在淬灭中,如果有酸碱中和反应发生,则应考虑所成盐的溶解性。例如,对于NaOH参与的反应,可以用多种酸来淬灭,如果用硫酸淬灭,会生成Na 2 SO 4 ,其在水中的溶解性较小,可能会干扰产物的析出及后处理,而使用盐酸优于硫酸,因为NaCl在水中的溶解性更好。总之,淬灭对于有机化学反应非常重要,表4-1为一些常用的活性试剂及其淬灭剂。
表4-1 常用的活性试剂及其淬灭剂
2.浓缩 浓缩是利用加热的方法使溶液中的溶剂气化并除去,以提高溶质浓度的操作。反应溶剂若与水混融,在进行萃取前,通常需要将反应混合物浓缩,然后再萃取。萃取后的萃取液也需要浓缩,为进行产物纯化作准备。常压蒸馏时间长、温度高、产物分解的可能性大,因此浓缩通常是在减压条件下进行的。
3.萃取 萃取是利用溶质在两种互不相容(或微溶)溶剂中的溶解度或分配比例不同,经多次反复平衡分配,使溶质从一种溶剂中转移到另外一种溶剂中的方法,以达到分离提纯的目的。常用的萃取溶剂有石油醚、乙酸乙酯、二氯甲烷、氯仿、正丁醇、乙酸丁酯、2-丁醇等。使用时应根据被催取化合物的溶解性而定,同时要易于和溶质分开,最好用低沸点溶剂,易于通过浓缩而和溶质分开,便于进行回收再利用。有时也会采用混合溶剂的方法进行萃取操作,如萃取某些极性大的物质时可用二氯甲烷∶甲醇(10∶1),乙酸乙酯∶四氢呋喃(10∶1),氯仿∶异丙醇(3∶1)等按比例混合的组溶剂。萃取时并不是用的溶剂量越大、萃取次数越多就越好,要本着少量多次的原则,主要还是根据目标化合物在两相中的分配比例而定。每次使用的萃取溶剂体积一般是被翠取液体的1/5~1/3。一般不用乙醚做萃取溶剂,因为它具有较大的挥发度,也存在易燃、易爆的危险,还有显著的麻醉性。
将萃取后合并的有机相减压浓缩,得到的固体产品(或粗品)往往含有一定水分,这时再对其进行干燥,困难相对较大,可能会因过度加热或过长时间加热而影响产物稳定性,一般可按以下步骤操作进行萃取:先按常规步骤少量多次萃取合并有机相;将合并的有机相用饱和氯化钠溶液反萃取,分相,可除去有机相中携带的水分;然后向有机相中加干燥剂(无水硫酸钠或硫酸镁),搅拌一定时间,干燥剂可吸收有机相中残存的微量水分;最后过滤除掉干燥剂,将有机相减压浓缩,即可得到较为干燥的萃取物质(产品或粗品)。
在萃取时常常常出现不分层或乳化的现象。解决的办法:①长时间静止。②加入适当的物质(如无机盐),使其密度差增大,利于分层。③因表面活性剂存在而形成乳化,可改变溶液的pH值,往往能使其分层。④因碱性而产生乳化,可加入少量酸破坏pH值状态。⑤因少量悬浮固体引起的乳化,可将乳浊液缓慢过滤,过滤时在铺一层吸附剂,如硅藻土、硅胶硅酸镁、氧化铝,效果更好。⑥因两种溶剂能部分互溶而发生的乳化,可加入少量电解质,如氯化钠等,利用盐析作用破坏乳化。⑦对于顽固的乳化还可以用离心分离,也可加热,或向有机溶剂中加入极性溶剂,以改变两相的表面张力。
4.过滤 通常指悬浮液中的液体透过介质,固体颗粒及其他物质被过滤介质截留,从而使固体及其他物质与液体(或气体)分离的操作。该后处理方法在实验室及工业生产中均较常见,主要适用于有固体生成并从反应液中析出的合成反应。实验室常用的过滤方式主要是常压过滤和减压过滤;而工业上则有所不同,常要用过滤器来进行大量的过滤。
5.酸碱化处理 酸碱化处理的原理是一些具有酸碱性基团的有机化合物,可以得失质子形成离子化合物,而离子化合物与母体化合物具有不同的物理化学性质,利用这些不同点把混合物分开,达到分离提纯的目的。酸碱化处理主要包括中和吸附法、中和萃取法和成盐洗涤法三种。
中和吸附法是将酸(碱)性有机化合物通过加入碱(酸)水溶液,使其生成水溶性盐类,用活性炭吸附后滤去,再加酸(碱)中和到原来的分子状态。如合成抗凝剂华法林的后处理过程就应用到了中和吸附法,与以往的后处理方法相比,华法林的损失较小,纯度可达99%以上。
中和吸附法的优点较多,由于活性炭不吸附离子,故产品几乎不会损失;所用的酸碱都比较廉价,故后处理费用较低;无有机溶剂的挥发,操作条件较好。
中和萃取法是工业生产中较为常见的方法,它是利用酸(碱)性有机化合物生成离子时溶于水而分子状态溶于有机溶剂的特性,通过加入酸(碱)使碱(酸)性产物生成离子溶于水实现相转移而使非酸(碱)性杂质溶于有机溶剂的方法。
例如,对2-叔丁氧羰基氨基-4-苯基丁酸甲酯的水解反应进行后处理时,可在碱性条件下用有机溶剂除去杂质,之后再进行酸化得到2-叔丁氧羰基氨基-4-苯基丁酸,见图4-44。
图4-44 2-叔丁氧羰基氨基-4-苯基丁酸甲酯的水解反应
成盐洗涤法是依据具有不同构型的有机物中高浓度物质先结晶而杂质不结晶原理,使含有酸(碱)性的有机化合物与碱(酸)成盐结晶,不纯物则留在母液中的方法。当通过过滤实现固液分离后,再洗去盐表层的母液,烘干即可得精品盐,最后再将精品盐中和回原来的分子状态。这种方法对碱性有机化合物的提纯特别适用。
6.结晶和重结晶 结晶是利用固体混合物中各组分在某种溶剂中的溶解度不同而使其相互分离,主要原理是利用不同温度下溶质的溶解度相差很大,或者某物质在不溶溶剂(混合溶剂)中溶解度相差大;或者溶质在不同pH值环境中,溶解度相差大,将溶质析出分离出来。重结晶是将晶体溶于溶剂以后,又重新从溶液中结晶的过程,以提高物质的纯度,形成较好的晶体形态。重结晶是制药企业进行固体产物纯化和精制最常用的操作。
结晶和重结晶最常用的原理是,利用固体产物在溶剂中的溶解度与温度的关系,不同物质在相同溶剂中的溶解度不同,达到产物与其他杂质分离纯化的目的。其简单程序是先将不纯固体物质溶解于适当热的溶剂中制成接近饱和的溶液,趁热过滤除去不溶性杂质,冷却滤液,使晶体自过饱和溶液中析出,而易溶性杂质仍留于母液小,抽气过滤,将晶体从母液中分出,干燥后测定熔点,如纯度仍不符合要求,可再次进行重结晶,直至符合要求为止。
选择适当的溶剂对于重结晶操作的成功具有重大的意义,一个良好的溶剂必须符合以下儿个条件:①不与被提纯物质起化学反应。②在较高温度时能溶解多量的被提纯物质,而在室温或更低温度时只能溶解很少量。③对杂质的溶解度非常大或非常小,前一种情况杂质留于母液内,后一种情况趁热过滤时杂质被滤除。④溶剂的沸点不宜太低,也不宜过高。溶剂沸点过低时制成溶液和冷却结晶两步操作温差小,团体物溶解度改变不大,影响收率,而且低沸点溶剂操作也不方便,如乙醚就不宜用。溶剂沸点过高,附着于晶体表面的溶剂不易除去。⑤能给出较好的结晶。
适宜的重结晶工艺可以提供高质量的合格产品,并尽量避免二次重结晶消耗的人力、物力,最大可能地降低生产成本。结晶条件主要指温度、压力、搅拌、晶种的加入等,对结晶的晶型、结晶的快慢都有影响,需要注意以下事项:①重结晶工艺应稳定、可靠。②冷却速度要缓慢且稳定,以控制结晶大小和质量;选择梯度降温的条件对晶型和收率影响也较大。③保持适当搅拌,使结晶均匀分布并稳定生长。④适时、适量加入晶种,作为晶体析出的晶核,可以帮助晶体的析出。⑤提高结晶设备使用的效率。
7.蒸馏 蒸馏是一种热力学的分离工艺,它利用混合液体中各组分沸点不同,使低沸点组分蒸发、冷凝,最终收集得到相应的组分。与其他的分离手段不同,它不需使用系统组分以外的其他溶剂,减小了引入新杂质的可能性。蒸馏的方式较多,如简单蒸馏、平衡蒸馏、减压蒸馏和连续蒸馏等,这些方法在化学合成工艺研究中应用较多,后处理时根据所要分离组分的差异选取合适的蒸馏方式。
例如,工业上对2,4-二氯-5-氟苯乙酮的合成是以2,4-二氯氟苯和乙酰氯为原料,在三氯化铝的作用下通过傅-克反应制得的。反应结束后,将物料放入冰解釜内水解,分出有机相,减压蒸馏,再经冷冻、结晶、离心后得到目标产物,见图4-45。
图4-45 2,4-二氯-5-氟苯乙酮的合成路线
又如,在重氮盐的取代反应中,会有很多的副反应发生,主要的副产物有偶合物、焦油等。这些高分子化合物对产物有一定的溶解作用,故要分离取代产物,首先应设法使产物脱离焦油。若产物为易挥发组分,则可采用水蒸气蒸馏法分离得到目标产物。
一个药物的合成往往是多步化学反应的过程,当中间体中的杂质不影响后续反应的收率和质量时,就不需要对其进行提纯,即不提纯原则。这样就可以减少中间体提纯损失,降低提纯费用和生产成本,提高收率。如2-甲酰基苯磺酸的制备过程涉及四步反应,其中邻氯甲苯进行氯代的第一步反应会生成三种产物,即目标产物二氯苄和两个副产物一氯苄和三氯苄,两个副产物均不影响二氯苄的下一步水解反应,三氯苄水解产物邻氯苯甲酸可与碱成盐用水除去,一氯苄水解产物邻氯苄醇不参加也不影响醛邻位氯的亲核取代反应,因而所有中间步骤不需提纯,只需将终产物用乙醇重结晶即可除去所有杂质,见图4-46。
图4-46 2-甲酰基苯磺酸的合成路线图
药品是一种较为特殊的化学品,通过后处理获得目标产物之后,还要按照药典的规定对其进行检查。检查的内容主要包括药品的纯度、稳定性、晶型、生物有效性及单一杂质的含量等,如果所得的产物不符合药典的相关规定,还要对其进一步处理,直至符合药典的相关要求为止。
8.柱层析 柱层析技术又称柱色谱技术。柱层析由两相组成,在圆柱形管中填充不溶性的基质,形成固定相,洗脱溶剂为流动相,当两相相对运动时,利用混合物中所含各组分在吸附剂上分配和解析能力的差异,各物质在流动相的洗脱下,进行不断的吸附、解析,最终达到彼此分离的目的。
柱层析技术也称柱色谱技术,当被分离物质不能以重结晶的方法纯化时,柱层析往往是最有效的纯化手段。一根柱子里先填充不溶性基质形成固定相,将样品加到柱子上后用特别的溶剂洗脱,溶剂组成流动相。在样品从柱子上洗脱下来的过程中,根据混合物中各组分在固定向和流动相中分配系数的不同,经过多次反复分配,将不同组分逐一分离。硅胶层析柱是实验室有机合成产物纯化最常用的纯化方法。
硅胶层析法的分离原理是根据物质在硅胶上的吸附力不同而得到分离,一般情况下,极性较大的物质易被硅胶吸附,极性较弱的物质不易被硅胶吸附,整个层析过程即是吸附、解吸、再吸附、再解吸过程。柱层析的过程可分为准备、装柱、上样、洗脱、收集、监测显色、浓缩。
(1)柱层析操作方法的选择 目前,柱色谱分离的操作方式主要包括常压分离、减压分离和加压分离3种模式。常压柱适合大于50~100g的产品,常压柱是分离效果最好的,但时间也最长。加压柱适合小于100~200g产品的纯化,加压分离可以加快洗脱剂的流动速度、缩短样品的洗脱时间,压力的提供可以是压缩空气、双连球或小气泵等。
(2)柱子规格的选择 柱子越细、越长,分离效果越好,但时间长,效率不高。根据带分离物的极性差异和分离难度选择适合的柱子。
(3)装柱 柱层析色谱柱的填装主要有湿法和干法。不论干法还是湿法,硅胶(固定相)的上表面一定要平整,装柱最关键的就是防止气泡和裂柱。
(4)上样 上样也有干法和湿法之分。
(5)洗脱 洗脱剂是采用TLC分析得到展开剂的比例再稀释一倍后的溶剂,一般常采用梯度洗脱效果更好,常用的洗脱剂体系是石油醚/乙酸乙酯的普通极性体系和二氯甲烷/甲醇的大极性体系。洗脱的过程就是在一定极性洗脱溶剂的“冲洗”下,使待分离物在硅胶上不断的吸附、解析。极性小的物质先被洗脱出来,极性大的物质后洗脱出来。
(6)显色、监测和收集浓缩 先后流出的洗脱液被依次收集,经紫外显色剂对照,将分离开来的各物质洗脱液收集,再分别浓缩得到各组分,或直接找到相应的产物点,浓缩得到产物进行表征,分析确认。
9.其他后处理方法
除以上所述方法外,药物合成反应后在处理中还广泛用到活性炭吸附、金属离子沉淀法、膜过滤、干燥、制备色谱等分离、纯化方法。