



反应温度和压力是影响反应进行及其结果的重要因素,理想的合成工艺对高压低温等苛刻的条件是要回避的。因此,反应的温度和压力是药物合成工艺研究中重要的内容。
温度对反应速率有很大的影响,如果温度太低,反应将会很缓慢;反之,发生副反应的机会增加,导致收率降低。此外,如果温度太高,某些试剂或反应物则可能不稳定,引入更多的杂质。
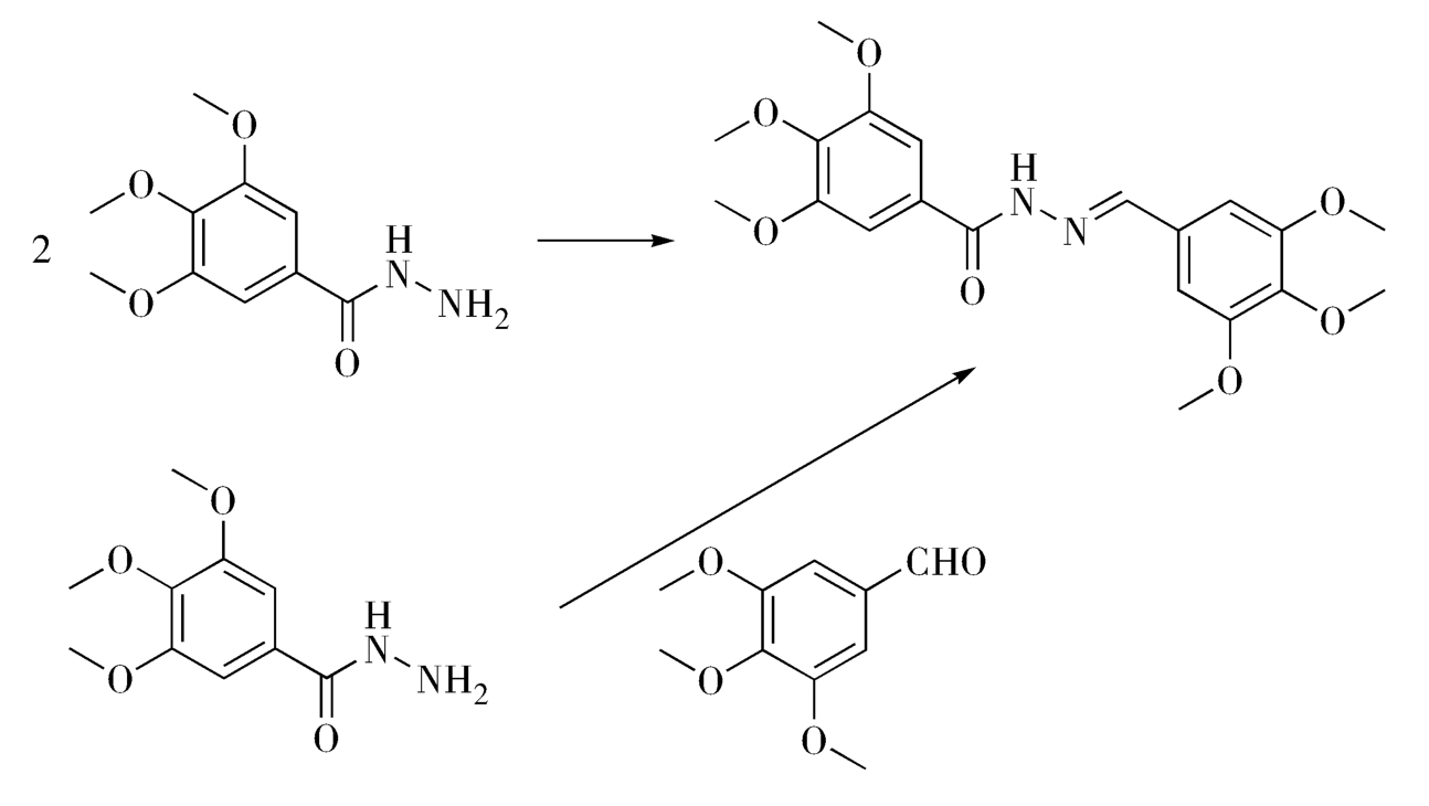
例如,3,4,5-三甲氧基苯甲醛的合成是以3,4,5-三甲氧基苯甲酰肼为原料用铁氰化钾氧化制得。氧化反应的较适宜温度为20~25℃。如果温度过低,不能完全反应;温度过高,副产物腙的产量会增加。如反应温度由17℃上升到60℃时,腙的生成量会由10%上升到36%。
主反应:
副反应:
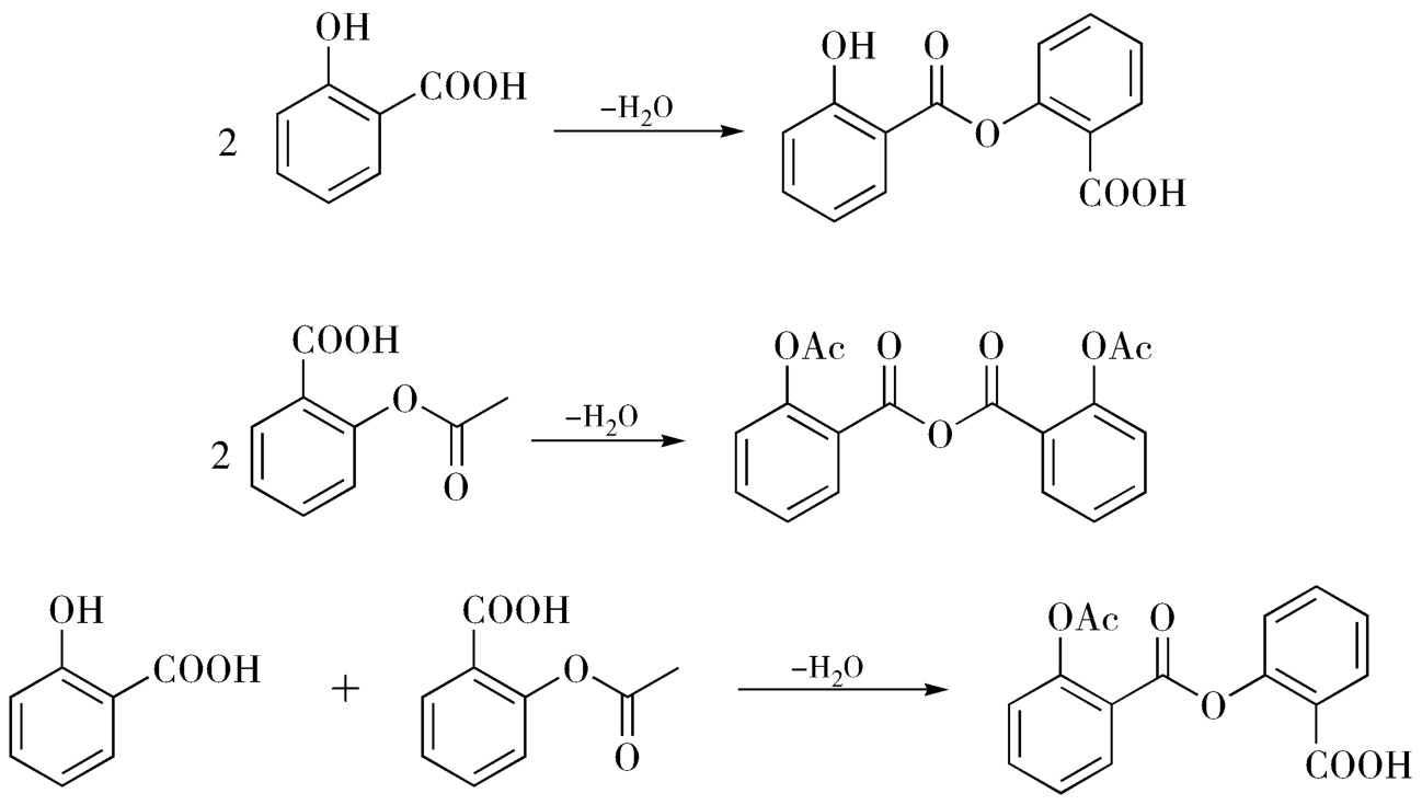
又如,水杨酸用醋酐酰化制备阿司匹林时会发生如下反应:
主反应
副反应
在乙酰化反应过程中,温度升高,可使主反应乙酰化的反应速率加快,而副反应脱水的速率也相应地加快。要使乙酰化反应完全,也要同时考虑到副反应的发生。因此,在工业生产中必须要严格控制反应温度,可先将温度缓慢升至73℃,然后在73~75℃反应数小时,反应完毕后再缓慢降温。只有这样,产品中的游离水杨酸和脱水副产物才能同时达到限量要求。
反应温度的控制对于实验室规模来说比较容易达到,低温可以选用冰/水(0℃)、冰盐(-20~-4℃)、干冰/丙酮(-60~-50℃)、液氮(-196~-190℃);加热可以选用加热套、导热油、水浴等。在工业化生产中对反应温度的控制则有一定的难度。因此,对于一个特定反应,优化反应温度十分重要。任何参与化学反应的分子都需要活化后才能转化。Arrehenius反应速率方程式为
由上式可知,化学反应的速率常数 R 与频率因子 Z 和指数因子 e - E/RT 有关。其中,指数因子一般是控制反应速率的主要因素,活化能 E 起决定性作用,而温度 T 的变化,也使指数因子变化,从而导致 k 值的变化。 E 值对速率常数 k 的影响, E 值很大时,温度升高, k 值增大显著;若 E 值较小时,温度升高, k 值增大并不明显。温度升高,一般会使反应速率加快。例如,对硝基氯苯与乙醇钠在无水乙醇中生成对硝基苯甲醚的反应,温度升高, k 值增加,如表3-5所示。
表3-5 温度对对硝基氯苯与乙醇钠反应的反应常数的影响
根据大量实验归纳总结出一个近似规则,即反应温度每升高10℃,反应速率增加1~2倍,它也成为范特霍夫(Van't Hoff)规则。这种温度对反应速率影响可粗略计算:
式中: k t 表示 t ℃时的速率常数; k t +10 表示( t +10)℃时的速率常数; γ 表示反应速率的温度系数,其值为1~2。
大多数化学反应符合上述规则,但并不是所有的反应都符合。温度对反应速率的影响是复杂的,归纳起来有4种类型如图3-33所示。
图3-33 不同反应中温度 t 对速率常数 k 的影响
第Ⅰ种类型的反应速率与温度之间是指数关系,其反应速率随温度的升高而逐渐加快,该类反应是最常见的,可以应用Arrehenius公式lg k =- E/RT +ln A ,求出反应速率的温度系数与活化能之间的关系。
第Ⅱ种类型属于有爆炸极限的化学反应,这时Arrehenius公式就不适用了。因为这类反应开始时温度影响很小,当达到一定温度极限时,反应即以爆炸速率进行。
第Ⅲ类是酶反应和催化加氢反应。即在温度不高的条件下,反应速率随温度增高而加速,但达到某一温度后,温度若继续上升,反应速率反而会下降,这主要是由于高温对催化剂的性能有着不利的影响。
第Ⅳ类是反常的反应,Arrehenius反应公式也不适用。随着温度升高反应速率反而下降,如硝酸生产中一氧化氮的氧化反应就属于Ⅳ类反应。
温度对化学平衡的关系式为:
式中: k 为平衡常数; R 为气体常数; T 为绝对温度;Δ H 表示热效应, C 为常数。
从上式可以看出,若Δ H 为负值时,为放热反应,温度升高, k 值减小。一般来说,对于这类反应,降低反应温度有利于反应的进行。放热反应需要结合化学反应的热效应考虑,找出最合适的温度。反应需要一定的活化能,即需加热到一定温度后才能开始反应;反之,若Δ H 为正值时,为吸热反应,温度升高, k 值增大,也就是升高温度对反应有利。因此,要把反应热、稀释热、溶解热和反应速率常数等加以综合考虑。
总之,温度对反应速率等有很大的影响,在工业生产上,升高温度常常是增加反应速率的有效措施。然而,随温度的升高,往往会引起或加剧副反应,对设备的要求也会提高,维护成本及能源消耗都会增加,也不利于安全生产。因此,工业生产中对反应温度的控制要综合考虑各方面的影响因素。
多数化学反应都是在常压下进行的,但有些化学反应需要加压,反应才会发生或在高压的条件下收率会有所提高。压力的变化对液相反应的影响不大,而对气相或气液相反应的平衡影响较为显著。压力对收率的影响,依赖于反应前后体积或分子数的变化,如果一个反应的结果是体积增加,则加压对产物的生成是不利的;反之,如果一个反应的结果为体积缩小,则加压对产物的生成是有利的。
式中: K p 为用压强表示的平衡常数; K x 为用摩尔分数表示的平衡常数;Δ V 是反应过程中摩尔数的变化(或体积的变化)。
由上式可知,收率取决于 K p ,它随 K x 的增加而增大。当反应体系的平衡压强 P 增大时, P Δ V 的值视Δ V 的值而定。具体有以下几种情况。
(1)如果Δ V <0, P 增大后, P Δ V 减小。由于 K p 不变, K x 必须增加,因此加压有利于反应的进行。换言之,就是加压使平衡向体积减少或摩尔数减少的方向移动。
(2)如果Δ V >0,情况恰好相反, P 增大后, P Δ V 增加。由于 K p 不变, K x 必须减小,加压将使平衡向反应物方向移动。因此,加压对反应不利,该类反应应在常压或减压条件下进行。
(3)如果Δ V =0,反应前后体积或摩尔数不变,则压力的变化对收率无影响。
压力除了对化学平衡有影响外,还有其他的影响因素。如催化氢化反应中,加压能增加氢气在溶液中的溶解度和催化剂表面氢的浓度,从而促进反应的进行。另外,在液相反应中,当温度已超过反应物或溶剂的沸点时,也可以加压以提高反应温度,缩短反应时间。
血管紧张素转化酶抑制剂贝那普利(benazepril)合成中的氢化反应在常压下收率很低,当加压至303.9kPa时,收率可达96%。
二芳基呋喃酮是诺菲呋酮合成工艺中重要的中间体,它的合成方法较多,其中以二芳基炔为原料,在金属催化剂及高压条件下即可选择性地一步制得,且收率较高。