



催化剂是指在化学反应体系里能改变化学反应速率,而本身的质量和化学性质在化学反应前后都没有发生改变的物质,工业上也被称为触媒。有催化剂参与的反应称为催化反应。催化剂对反应施加作用,是通过催化剂的活性中心对反应分子的激发和活化,使反应分子以很高的反应性能进行反应。催化剂的作用又分为正催化作用和负催化作用,前者是加快反应速率的催化剂;后者是减慢反应速率的催化剂,其应用较少。
在某些反应中,反应物本身即具有加速反应的作用,称为自动催化作用。如游离基反应或反应中产生过氧化物中间体的反应都属于该种类型。
目前,化学工业中使用的催化剂种类很多,依照不同的分类依据,这些催化剂主要可分:①按催化剂的状态不同,可分为固相催化剂和液相催化剂。②按反应体系的相态不同,可分为均相催化剂和多相催化剂,前者又包括过氧化物催化剂等,后者包括固体酸催化剂、金属催化剂及分子筛催化剂等。③按反应类型的不同,可分为聚合催化剂、加氢催化剂和氧化催化剂等。④按作用大小,可分为主催化剂和助催化剂。
作为一种特殊的化学品,催化剂主要有以下两个特征:
1.可以降低反应活化能,加快反应速率 如烯烃或炔烃的氢化反应,在无催化剂的条件下很难进行,而在催化剂的作用下,反应速率明显加快。需要强调的是,催化剂是通过缩短反应到达平衡的时间而改变反应速率的,并不能改变化学平衡。就整个反应而言,无论有无催化剂的参加,开始状态和结束状态都是一样的。
2.催化剂具有一定的选择性 该选择性主要体现在两个方面:①不同类型的化学反应有不同种类的催化剂,如铂、钯、镍等催化剂适用于催化加氢反应;五氧化二钒、二氧化锰、三氧化钼等适用于氧化反应。②对于同样的反应系统,应用不同的催化剂,可以获得不同的产物。例如,以乙醇为原料,在不同的催化剂和温度下,可以得到多种不同的产物。
需指出的是,上述反应都是热力学上可行的,各个催化剂在其特定的条件下只是加速了某一反应,使之成为主要的反应途径。
工业上对催化剂的要求主要有催化剂的活性、选择性和稳定性。催化剂的活性就是指催化剂的催化能力,它是评价催化剂优劣的重要指标。常用单位时间内单位重量(或单位表面积)的催化剂在指定条件下所得的产品量来表示。影响催化剂活性的影响因素主要有以下几方面:
1.温度 温度对催化剂活性影响较大,绝大多数催化剂都有活性温度范围。温度过低时,反应速率较慢;随温度的升高,反应速率逐渐加快,达到最大速度后,又逐渐下降。
2.助催化剂 在制备催化剂时,往往加入少量的某种物质,这种物质被称为助催化剂(promoter),可以理解为催化剂的催化剂。它本身不具有或具有很小的活性,但能改变催化剂的部分性质,如化学组成、表面结构或晶粒大小等,从而使催化剂的活性、选择性、热稳定性、抗毒性和使用寿命得以改善。助催化剂分为织构性助催化剂、调变性助催化剂。织构性助催化剂能增大表面积,防止烧结,提高催化剂主要组分的结构稳定性;调变性助催化剂能使催化反应活化能降低,如用Ranney Ni催化氢化时,可加入三乙胺、氢氧化钠等碱性物质作为助催化剂。在合成氨铁催化剂中加入少量稀土氧化物,作为抗毒组分,可显著提高催化剂对硫的抗毒能力。助催化剂的用量一般小于催化剂用量的10%。
值得注意的是,共催化剂(cocatalyst)是一个易与助催化剂混淆的概念,它一般指有一个以上不同活性中心的催化剂,缺少任何一个中心都不能显示出好的活性。
3.载体 多数情况下,常常把催化剂负载于某种惰性物质上,这种惰性物质就成为载体,常用的载体有石棉、活性炭及氧化铝等。载体的使用可以使催化剂分散、增大有效面积,既可提高催化剂的活性,又可减少催化剂的用量。此外,载体还可增加催化剂的机械强度,使用时不至因逐渐粉粹而增加对反应器中流体的阻力。
此外,催化剂活性组分负载于载体上,可使组分微晶分散,防止在高温下发生熔结而影响使用寿命。
4.催化毒物 催化毒物可分为暂时性毒物和永久性毒物,它是一类能抑制催化剂活性的物质,也可称为“催化抑制剂”,这种现象叫作催化剂中毒。某些催化剂对于毒物非常敏感,微量的催化毒物就可使其活性减小或丧失。毒物的主要来源是反应中含有的杂质或反应中生成物或分解物造成的。
催化毒物有时可使催化剂部分活性消失,从而呈现出选择性催化作用。如在维生素A的合成过程中,用喹啉及乙酸铅和硝酸铋处理的Pd-CaCO 3 催化剂仅能使分子中的炔键半还原成烯键,原有的烯键保留不变。
在Rosenmund反应中,应加有活性抑制剂(硫-喹啉)的钯催化剂或以硫酸钡为载体的钯催化剂,同时控制加的氢略过量,可使酰卤的还原反应停留在醛的阶段。
溶液中的均相酸碱催化反应在制药工业中广泛应用,如酯化、烯醇化、缩合等反应多用到酸或碱催化剂。酸碱的概念是随着科学的发展而逐步深化的。目前,对有机溶剂的酸碱度,常用布朗斯台德(Brönsted)共轭酸碱理论和路易斯(Lewis)酸碱理论等广义的酸碱理论来解释和说明。其中,布朗斯台德共轭酸碱理论认为:凡是能给出质子的分子或离子都是酸,凡能与质子结合的分子或离子都是碱;路易斯酸碱理论认为:凡能接受电子对的任何分子、离子或原子都是酸,凡是含有可供电子对的分子、离子或原子团都是碱。
1.常用的酸碱催化剂 工业上常用的酸性催化剂主要有以下几种:①无机酸:氢溴酸、氢碘酸、硫酸、盐酸及磷酸等。②有机酸:氯磺酸、对甲苯磺酸、乙二酸。③强酸弱碱盐:氯化铵、硫酸铜等。此外,生产上应用较多的路易斯酸催化剂主要有AlCl 3 、ZnCl 2 、BF 3 、SnCl 4 等。
常用的碱性催化剂主要有:①金属氢氧化物:NaOH、KOH等。②强碱弱酸盐:Na 2 CO 3 、K 2 CO 3 、CH 3 COONa等。③有机碱:三乙胺、吡啶等。④醇盐:甲醇钠、乙醇钠、叔丁醇钠(钾)等。⑤有机金属化合物:丁基锂、苯基钠等。
2.酸碱催化反应机理 有机化学反应一般都涉及旧化学键的断裂和新化学键的形成。当共价键的断裂方式为异裂(离子型反应)时,反应过程中往往伴随着电子的得失。按照路易斯电子论的观点,此类型的反应可看作是酸与碱之间的反应。
前已述及,共价键的断裂都需要较高的能量,离子型反应一般是在酸、碱或极性物质催化下进行的。酸或碱与一个反应物反应所形成的活泼中间体与另一反应物间的反应比原来两反应物间的反应要容易进行,也即酸或碱作为催化剂改变了原来两反应物间的反应途径,降低了活化能,从而催化了反应。由此,可以认为酸碱催化反应实质上就是酸碱催化剂作为反应物参加了其中的某步反应,生成了活泼的中间体,该中间体的存在时间往往较短,但对反应的进行却十分重要。
如将甲醇与溴化钠放在一起,它们之间不会顺利地发生亲核取代反应,当加入适量的硫酸后,溴离子就能取代醇中的羟基,生成溴甲烷。这是因为甲醇中的碳氧键结合得很牢固,要断裂它需要很高的能量。加入硫酸后,醇中的氧原子上的孤对电子与质子结合,电子发生转移,使氧原子上的电荷密度降低,增强了氧原子对碳原子上电子的吸引,使碳原子的电荷密度降低,有利于Br - 的进攻,降低了活化能,催化了反应的进行。
在有氯化亚砜参与的氯代反应中,若加入有机碱(吡啶、三乙胺等)作为催化剂,有利于提高卤代反应速率,主要是由于有机碱能与反应中生成的氯化氢结合。此外,该方法也适用于一些对酸敏感的氯代反应。例如,2-羟甲基四氢呋喃用氯化亚砜和吡啶在室温下反应,可得预期的2-氯甲基四氢呋喃,并不影响环醚的结构,如图3-27所示。
图3-27 2-羟甲基四氢呋喃
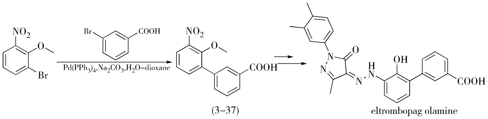
随着催化剂及化学学科的迅猛发展,除上述催化剂类型外,近来还出现了一些新型催化剂,如贵金属催化剂、稀土催化剂、纳米稀土催化剂等,它们已广泛应用于现代化学合成中。如2008年11月上市的治疗血小板减少性紫癜的新药艾曲波帕(eltrombopag olamine)合成工艺中中间体(3-37)的合成,就是使用贵金属催化剂四(三苯基膦)钯通过Suziki偶联制得的,如图3-28所示。
图3-28 艾曲波帕及其中间体(3-37)的合成
抗肿瘤药物阿比特龙(abiraterone)是一种靶向细胞色素CYP17抑制剂,其合成新工艺Suzuki-Miyaura偶联反应中使用了高效可重复使用催化剂Pd-NPs@Zn-MOF,如图3-29所示。
图3-29 阿比特龙的合成新方法
多数有机合成反应在均相条件下较容易进行,但在非均相条件下不容易进行,特别是在水和有机溶剂两相中,反应不完全或不发生反应。即使搅拌能增加相互接触的机会,但有些反应仍不能进行。为了促使其反应,往往采用极性溶剂,使其成为均相反应,但用质子性溶剂能使反应物产生溶剂化作用,影响其反应速率,这时要向反应体系中加入一种特殊催化剂,即相转移催化剂(phase transfer catalyzed reaction,PTC)。它是使一种反应物由一相转移到另一相中参加反应的物质,它促使一个可溶于有机溶剂的底物和另一个不溶于此溶剂的离子型试剂之间发生反应。此类反应统称为相转移催化反应(phase transfer catalyzed reaction,PTCR)。
根据相转移催化剂结构的不同,可分为:
1.鎓盐类 此类催化剂主要由周期表中第五族元素组成,常用的有季铵盐、季鏻盐,还有季砷盐、季锑盐、季锡盐等,如表3-4所示。其结构特点是由中心原子、中心原子上的取代基和负离子三部分组成的,中心原子一般为P、N、As、S等。
表3-4 部分常用的鎓盐类相转移催化剂
鎓盐类相转移催化剂有如下特点:①分子量较大的鎓盐比分子量小的鎓盐催化效果好。②具有一个长碳链的季铵盐,其碳链越长,效果越好。③对称的季铵离子比具有一个长碳链的季铵离子的催化活性好。④含有芳基的铵盐不如烷基铵盐的催化效果好。该类相转移催化剂在化学合成中应用较多,如在抗炎药环氧化酶-2选择性抑制剂诺菲呋酮(rofecoxib)的合成工艺中,最后的氧化反应使用了四丁基溴化铵这一相转移催化剂使反应得以顺利进行,如图3-30所示。
图3-30 诺菲呋酮的合成
2.冠醚类 冠醚是一种大环多醚化合物,亦称环聚醚,其形状似王冠,故称冠醚。它能与碱金属形成络合物,使无机化合物如氢氧化钾、高锰酸钾等溶解在有机溶剂中,提高了非极性溶剂的溶解能力。该类催化剂特别适用于固-液相转移催化,可用于氧化、还原、取代反应等。但由于价格昂贵、具有毒性,工业生产中不常使用。
3.多环穴醚类 多环穴醚和冠醚相似,它的空穴能络合和包裹金属离子等,可用作相转移催化剂。多环穴醚的空间结构性强,比冠醚活性高,但制备困难、价格较贵。
4.叔胺类 叔胺类是不带电荷的催化剂,它作为相转移催化剂时,首先转变为季铵盐,常用于烷基化反应、卡宾的形成、氰基化和硫氰化等反应,如苯甲酸苄酯(3-38)合成的过程中就应用了三乙胺作为相转移催化剂。
从相转移催化原理看,整个反应可视为络合物动力学反应。整个反应历程可分为两个阶段:一是有机相中的反应,二是继续转移负离子到有机相。从相转移速度看,如果第一阶段快,过程被负离子转移所控制,则称之为“界面型”或“相界型”相转移催化;如果第二阶段比第一阶段快,则被称“萃取型”相转移催化。相转移催化剂的结构和性能对“萃取型”和“界面型”相转移催化有很大的影响。它们的反应历程可用下图表示(图3-31)。
图3-31 相转移催化剂的反应历程
尽管相转移催化剂的结构特点和物理特性是影响反应速率的决定性因素;但催化剂的用量对反应结果的影响也较大,对不同反应体系其影响不同,催化剂的最佳用量为0.5%~10%,当反应放热剧烈或催化剂较昂贵时,催化剂用量较少(1%~3%)。此外,相转移催化剂的稳定性、对反应体系的搅拌及溶剂均是重要的影响因素。
例如,对氯苯氧异丁酸(3-39)是在无水条件下,以固体氢氧化钠为催化剂,将对氯苯酚与丙酮、氯仿缩合而制得的,收率50%~75%。因固体氢氧化钠在丙酮中的溶解度小,需长时间搅拌才能溶解。用50%氢氧化钠溶液替代,则因催化能力降低,还会使氯仿水解。改变反应条件,以氯化三乙基苄基铵(TEBA)和PEG-400为相转移催化剂,采用相转移催化法合成,使对氯苯酚与丙酮和氯仿之间的反应在50%氢氧化钠溶液中进行,由于两种相转移催化剂起双重催化作用,其中TEBA催化二氯卡宾的生成,PEG-400用于催化醚化反应,可以得到高收率、高质量的产品(图3-32)。
图3-32 对氯苯氧异丁酸的合成