



前面简略介绍了药物工艺路线设计的主要方法,但药物工艺路线的设计工作既是一门科学,又是一门艺术,没有一种方法,像辞典一样,让人可以按图索骥,从而得到心仪的目标化合物(药物)合成工艺,只有认真的研究实践才能获得成功。
1989年诺贝尔化学奖获得者(1990)E.J.Corey根据其多年的有机合成工作实践,出版了《化学合成的逻辑学》一书,将有机合成路线工作总结为基于转换方式(transform-bases strategies)、目标物结构(structure-bases strategies)、拓扑学(topological strategies)、立体化学(stereochemical strategies)和官能团(functional group-based strategies)的五大策略。篇幅所限,这里只简要介绍第一部分。
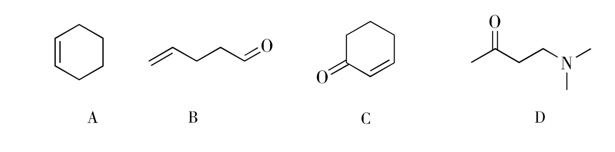
反合成子(retron)为进行某一转化所必须考虑的结构亚单位,即结构片段,由氢原子、官能团、分子链、分子骨架和立体中心等结构单元或单独或联合组成。如下列结构片段A、B、C、D分别为Diels-Alder反应、Claisen重排、Robinson关环和Mannich反应的反合成子。
反合成子是针对合成子与反应中间体的混淆与乱用而提出的,与合成子考虑的内容不同:合成子是通过转化得到的,目标分子本身并不一定具有该结构(例如重排或联接得到的合成子),而反合成子则是指结构本身所具有的结构,通过该结构可相应地找到所需的转化类型,如表2-4和表2-5所示,两者的因果关系不同,或者说互为因果。
表2-4 常见的分子切断转换方式及相关的反合成子和前体化合物
表2-4给出了部分常见的分子切断转换方式及相关的反合成子和前体化合物。在进行分子设计中最重要的是先找到目标分子中的反合成子,然后根据反合成子找到对应的转换方式,从而确定前体化合物。
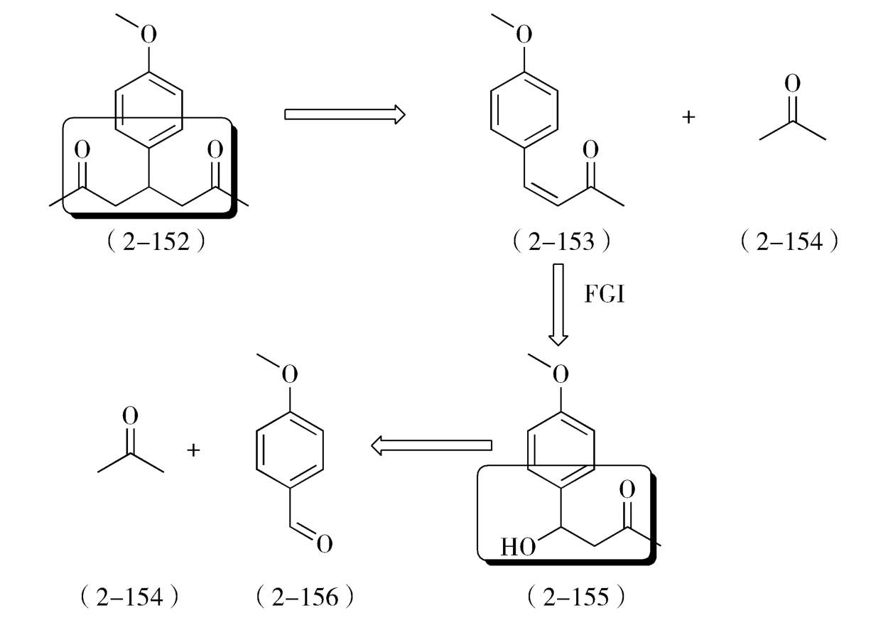
举例来说,4-(4-甲氧苯基)-2,6庚二酮(2-152)具有明显的1,5-二酮的结构特征(反合成子),从表2-4中可通过Michael加成方法完成转化。因此,尽管该分子具有明显的结构对称性,仍可以不做重要考虑,而通过α,β-不饱和酮(2-153)与丙酮(2-154)的Michael加成反应获得(图2-44)。
图2-44 4-(4-甲氧苯基)-2,6-庚二酮(2-117)逆合成分析
2-152转化后的中间体2-153尽管粗看在表2-4中没有相应的反合成子,但只要进行简单的官能团转换,即可成为β-羟基酮的结构(2-155),在表2-4中可见,该结构可通过aldol缩合的方式,从相应的醛、酮得到。
当然,涉及具体的有机化学问题,上述方案还有许多值得商榷的地方。例如,2-153本身即是2-155的脱水产物,因此根本不必进行无谓的官能团转换;2-152的合成过程中使用丙酮(2-154)的等价物乙酰乙酸乙酯负离子更可行。表2-5给出了部分常见官能团转换方式,具体使用方法参照表2-4。
表2-5 常见官能团转换方式
续表
在目标分子的合成中,常常会涉及许多不同类型的反应。其中一些反应用于构建分子骨架、立体中心或生成主要官能团。在目标分子的逆合成分析中,能够对目标分子起到简化作用的转换方式叫作“导向转换方式的反(逆)合成研究”(transform-guided retrosynthesis search)。对于特定目标分子,其逆合成分析可以是多步的,但每一步都需要有一个简化方式,这种简化方式称为“目标转换”(T-goal)。因此,研究转换方式策略的任务就是通过研究、比较、筛选,最终选择和确定T-goal,从而实现对目标分子的简化。表2-6列出了一些典型转换反应及其构建的结构单元。
表2-6 一些转换方式及应用
例如,目标分子中含有六元环结构,通常的目标转换方式为Diels-Alder反应和[2+4]加成反应:
这里要考虑的是2,3-双键建立的难易程度;二烯体的C 2 -C 3 键和亲二烯体C 5 -C 6 的对称性或潜在对称性;适当的Diels-Alder反应转换类型;二烯体和亲二烯体中有利的或不利的不对称取代、电子活性;取代基的立体效应;1,4-、1,6-、4,5-、5,6-位的立体关系、环的连接和过渡单元及其不利的不饱和度、杂原子等的不同影响……以确定恰当的Diels-Alder反应转换类型,确保反应的顺利进行。
反合成子概念的提出及相关策略的应用,极大地降低了有机合成设计的难度。随着有机合成学科和技术的不断发展,将会有越来越多的反合成子被提出和确定,这将极大地完善相应的数据库,并使计算机辅助路线设计越来越具有实用性。