



多数药物为有机化合物,生产工艺路线的设计实际上是有机合成中的一个重要内容,与一般有机化合物的合成没有本质区别。有机合成是有机化学中的一个古老分支,也是一个十分活跃的领域,但其真正成为一门严谨的科学,却是在20世纪60年代后,在大量天然产物全合成的基础上,有机化学家们开始总结其中的内在规律,用逻辑推理的方法探讨合成计划中的策略和有机反应的控制问题。“有机合成设计”“有机合成策略”等词汇不断见诸文献,逐步形成了一门新的学科——合成方法学。
药物生产工艺路线的设计应该遵循合成方法学的指导,具有内在的逻辑性,即总体思维体现化学反应的规律,具有可行性。下面简要介绍一下E.J.Corey提出的“反合成分析”(antithetic synthesis)方法论中的几个基本概念。
在药物生产工艺路线的设计过程中,我们首先看到和确定的是药物的具体分子结构,也就是我们所说的目标分子,因此一步步倒推出起始原料是符合逻辑的。这个倒推的过程与真正的合成过程完全相反,被称为“转化”(transformation),用双箭头“⇨”表示,以区别单箭头“→”表示的反应,如图2-1所示。
图2-1 药物分子设计示意图
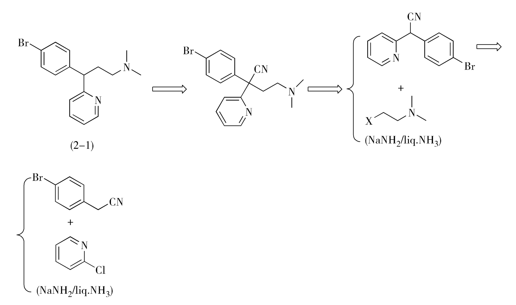
例如,抗组胺药物溴苯那敏(brompheniramine,2-1)的合成设计(图2-2):
图2-2 溴苯那敏合成分析
多数药物分子的合成都是一个多步反应的过程,即由原料开始,通过与一系列试剂作用(化学反应),经过一个个中间体,最终得到目标产物(目标分子)。但“原料”“试剂”“中间体”都是相对的概念,因为从构建目标分子的本质来看,它们最终都成为组成分子的一个个结构单元,没有根本差别,唯一的不同不过是“原料”和“试剂”在多数情况下是市场上容易购买的商品,而“中间体”一般需要自行合成。
转化从形式上说可大致分为两部分:碳骨架的建立和官能团的转换,两者密切相关,又各具特点,其中碳骨架的建立是构建药物分子的主体结构,官能团的转换者主要是配置分子的特殊结构单元,最终体现在活性上。从形成的难易来看,由于官能团一般为活性基团,因此转换比较容易,而碳骨架的建立主要是构建碳-碳键,形成后结构稳定,但建立的方法有限、难度较大。讨论建立碳骨架的建立问题,需要首先引入一个新概念——合成子。
由相应的已知或可靠的反应进行转化所得的结构单元称为“合成子”(synthon),由合成子继续推导(用虚线“┄”表示)得到相应的试剂或中间体,有时合成子本身即是中间体。合成子是组成目标分子或中间体骨架的各个单元结构的活性形式,根据构建碳-碳键的需要,可以是离子形式,也可以是自由基形式或中性分子形式。前两者合成子是不稳定的,其实际存在的形式称其为“等价试剂”(equivalent reagent),而中性分子合成子和其等价试剂在形式上是完全相同的,主要指周环反应所需的合成子,见表2-1。
表2-1 碳骨架分拆举例
1.离子合成子 因大多数碳-碳键是通过离子型缩合反应形成,所以离子合成子是最常见的一种合成子形式。根据合成子的亲电或亲核性质,把合成子分为还原性或亲电性(接受电子的)和氧化性或亲核性(提供电子的)两种,前者称为“(a)合成子”,后者称为“(d)合成子”,并把(a)(d)写在合成子的中心碳原子上,它们的等价试剂可分别成为亲电和亲核试剂。若同一种分子上存在不同性质的合成子,则就可以通过分子内缩合反应而形成新的碳-碳键。
2.自由基合成子 自由基合成子是通过自由基反应而形成的碳-碳键所需的自由基活性形式,以(r)合成子表示。
3.周环反应合成子 在周环反应中形成碳-碳键所需的合成子,是实际存在的中性分子,以“(e)合成子”表示,如在电环化反应中二烯和亲二烯试剂均为“(e)合成子”。
合成子的形式取决于转化所需要的反应类型。由于药物分子的合成是从简单的小分子到复杂的大分子过程,所以碳骨架分拆(disconnection)是转化的主要形式。碳骨架分拆根据不同情况,得到的合成子包含了合成子的所有类型。我们试举一些实例来具体说明:
从表2-1可见,不稳定的(a)(d)(r)型合成子实际上是反应过程中所需要的具体结构单元,因此其所对应的试剂并不是唯一的,比如异裂第二个例子中的烯醇锂试剂完全可以替换成相应的烯醇硅烷醚,当然反应条件由于所用试剂的不同会相应地发生变化。
一般来说,有机药物分子由碳骨架和官能团两部分组成。目标分子碳骨架的转化除分拆外,还包括联接(connection)和重排(rearrangement)两种类型。
联接和重排两类转化通常在双箭头上加注,合成子即为试剂、中间体,无需进一步推导:
联接和重排都包含着分子形式的改变,其中联接相对简单,只是原来直链的目标分子转化为环状分子,一般联接的两个碳原子距离适中,转化后的环较为稳定(5,6,7元环居多);重排却是千变万化的,往往从表面看不出转化前后的内在逻辑,可实际上却存在着某种必然的联系,是一种极其重要的转化类型,见表2-2。
表2-2 碳骨架联接和重排举例
官能团的转化也存在与合成反应中相同的三种情况:变换(interconversion,FGI)、引入(addition,FGA)和消除(removal,FGR),见表2-3。
表2-3 官能团的转化举例
其中变换是最常见的方法,比如从氨基到硝基的变换,从羟基到羰基或卤素的变换,都是发生在现有官能团的基础上;而引入和消除是一对相反的概念,其中引入是指在目标分子中没有的官能团在其前体上是存在的,消除与其相反。这种官能团的增减从来不会凭空出现,一定与分子结构本身特性相关——仔细观察,其出现的位置旁边往往有一个活性官能团的存在(比如羰基)。