



在数的运算中,若数 a ≠0,则存在 a -1 ,使 aa -1 = a -1 a =1,于是,称 a -1 为 a 的逆元素。
而在矩阵乘法中,单位矩阵 E 类似于1在数的乘法运算中的作用,由此给出矩阵的逆的定义。
定义2-12 对 n 阶方阵 A ,存在 n 阶方阵 B ,使
则称方阵 A 是可逆的,并把方阵 B 称为方阵 A 的逆矩阵。
显然,若 B 是 A 的逆矩阵,则 A 也是 B 的逆矩阵,即 A 与 B 是互逆的。
事实上,若矩阵 A 是可逆的,设 B 、 C 都为 A 的逆矩阵,得到
则 A 的逆矩阵唯一,记为 A -1 。
一个 n 阶方阵 A 在什么条件下可逆?若 A 可逆,怎样去求 A -1 ?
下面来探讨一个 n 阶方阵 A 可逆的条件。设
定义2-13 将矩阵 A 的行列式| A |的代数余子式 A ij 放在相应元素位置上后所得矩阵,再取转置,构造出一个 n 阶方阵,称为 A 的伴随矩阵,简称伴随阵,记为 A * ,即
例2-13
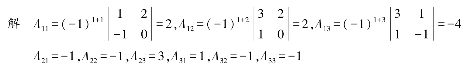
求方阵
的伴随矩阵。
所以 A 的伴随矩阵为
又因为
那么就有
类似有
A
*
A
=
即
AA
*
=
A
*
A
=
只要
,就有
因而 A 可逆,并且有
定理2-1 n 阶方阵 A 可逆的充要条件是| A |≠0。
证明 必要性:若 A 可逆,则存在 A -1 使 AA -1 = E ,两边取行列式,
从而
。
充分性:若
,由2-7式知
A
可逆。
即,得证。
至此,既得到了方阵可逆的判别方法,又得到了一种求逆矩阵的具体方法。
定义2-14 如果 n 阶方阵 A 的行列式| A |≠0时,称 A 是非奇异矩阵,否则称 A 是奇异矩阵。
定理2-2 n 阶方阵 A 可逆的充要条件是 A 为非奇异矩阵。
定理2-3 若 AB = E (或 BA = E ),则 A -1 存在,且 B = A -1 。
证明 由| AB |=| E |=1,得| A || B |=1,故| A |≠0,由定理2-1知 A -1 存在,故
得证。
定理2-3使矩阵可逆的判定条件减弱了。
当 A 为非奇异矩阵时,可由式2-8计算逆矩阵。
例2-14 求例2-13中方阵 A 的逆矩阵。
解 | A |=2×2+1×2+1×(-4)=2≠0,故 A -1 存在,
再根据例2-13所得 A 的伴随矩阵,从而
例2-15 设方阵 A 满足 A 2 - A -2 E = O ,证明 A 可逆,并求 A -1 。
解 由 A 2 - A -2 E = O 得 A 2 - A =2 E ,
即 A ( A - E )=2 E
故
由定理2-3知
A
可逆,且
。
在 n 元线性方程组 AX = b 中,若系数矩阵 A 是非奇异矩阵,则
故线性方程组 AX = b 的解为
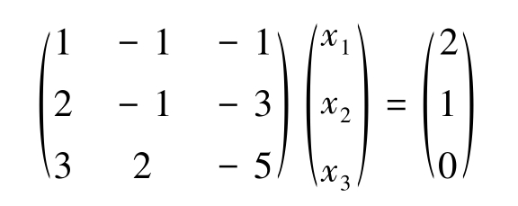
例2-16 利用逆矩阵解线性方程组。
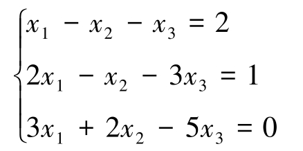
解 把线性方程组改写为矩阵方程形式,即
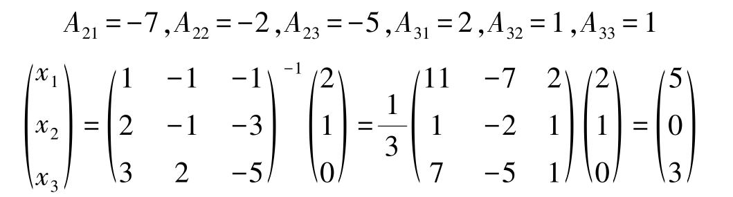
系数行列式| A |中, A 11 =11, A 12 =1, A 13 =7,从而
A -1 存在,再计算
故线性方程组的解为
对于矩阵方程
利用矩阵乘法运算和逆矩阵运算,在方程两边左乘或右乘相应矩阵的逆矩阵,可求出其解分别为
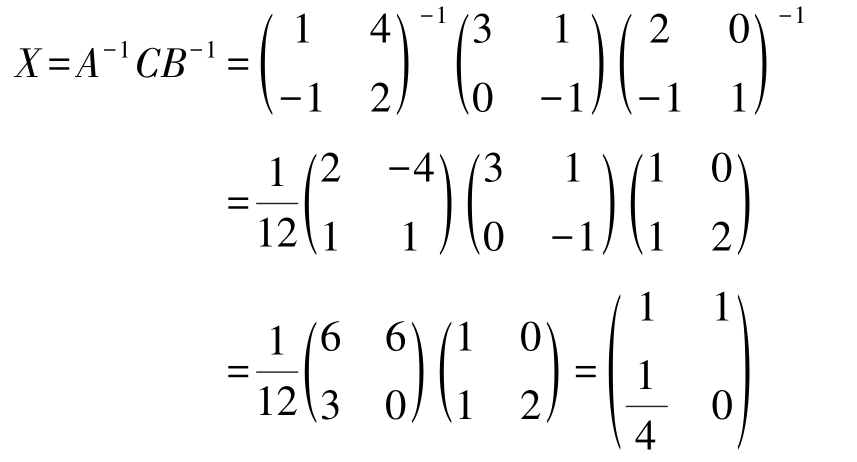
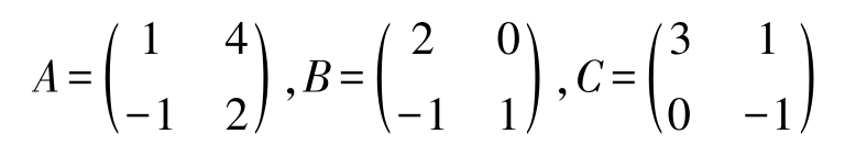
例2-17 求矩阵 X ,使其满足 AXB = C ,其中
解 因为
,而
,故
A
,
B
都可逆。
由 A -1 AXBB -1 = A -1 CB -1 可以解出 X = A -1 CB -1 。
1.若矩阵 A 可逆,则 A -1 也可逆,且( A -1 ) -1 = A 。
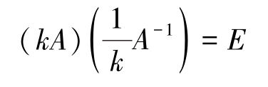
2.若矩阵
A
可逆,数
k
≠0,则
k
A
也可逆,且
。
3.若矩阵 A 可逆,则 A T 也可逆,且( A T ) -1 =( A -1 ) T 。
4.若矩阵
A
可逆,
。
5.若矩阵 A 、 B 为同阶方阵且均可逆,则 AB 也可逆,且( AB ) -1 = B -1 A -1 。
证明 1.由 AA -1 = E ,知 A -1 可逆,并且 A 为 A -1 的逆矩阵,即( A -1 ) -1 = A 。
2.由 AA -1 = E ,得到
故
k
A
可逆,且(
k
A
)
-1
=
,得证。
3.由 AA -1 = E 得到
故( A -1 ) T 是 A T 的逆矩阵,即( A T ) -1 =( A -1 ) T ,得证。
4.由 AA -1 = E 得到
即
,得证。
5.( AB )( B -1 A -1 )= A ( BB -1 ) A -1 = AEA -1 = AA -1 = E
故 B -1 A -1 是 AB 的逆矩阵,( AB ) -1 = B -1 A -1 ,得证。
此性质可推广到有限个同阶可逆阵,即若矩阵
A
1
,
A
2
,…,
A
m
为同阶方阵且均可逆,则
A
1
A
2
…
A
m
也可逆,且
。特别地,若矩阵
A
可逆,则
A
m
也可逆,且(
A
m
)
-1
=(
A
-1
)
m
。
练习
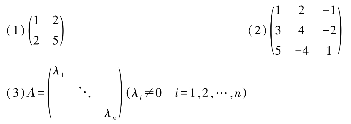
1.求下列矩阵的逆矩阵。
2.解矩阵方程
。
3.设方阵
A
的逆
,计算(2
A
)
-1
和
。
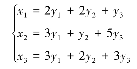
4.已知线性变换
求从变量 x 1 , x 2 , x 3 到变量 y 1 , y 2 , y 3 的线性变换。
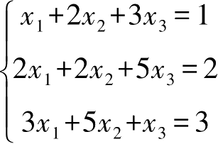
5.利用逆矩阵解线性方程组
。
6.已知
且 A 2 - AB = E ,其中 E 是三阶单位矩阵,求矩阵 B 。
7.已知
AP
=
PB
,其中
,求
A
及
A
5
。
8.设
A
*
是
n
阶矩阵
A
的伴随矩阵,证明:
。