



如果不考虑汽车悬架系统的阻尼对汽车系统振动的影响,则图2-2所示的汽车单自由度振动系统可以简化为一个无阻尼振动系统,根据外界激励的类型可以将其进一步分为无阻尼自由振动系统和无阻尼受迫振动系统。
汽车振动系统只受到初始条件(如初始位移、初始速度)的激励而产生的振动称为自由振动。以图2-14所示的汽车无阻尼自由振动系统为研究对象,取车身的静平衡位置为坐标原点,车身振动位移沿弹簧形变方向铅直向上为正。当车身开始振动并且偏离静平衡位置 x 距离时,汽车无阻尼自由振动系统的微分方程可以写为
图2-14 汽车无阻尼自由振动系统
将等式两边除以 m ,令
式中, ω n 为汽车无阻尼自由振动的圆频率,单位为rad/s。
则式(2-31)可写成
式(2-33)就是该汽车无阻尼自由振动系统只在线性弹力 -kx 的作用下的振动微分方程,称为汽车无阻尼自由振动方程。该振动方程是一个二阶常系数齐次线性微分方程,由前面介绍的微分方程理论可知,该方程的通解为
式中,积分常数
C
1
和
C
2
由汽车振动的初始条件确定。设
t
=0时,
x
=
x
0
,
,可以求解得
式(2-36)可以写成下述形式:
式中, A 为汽车无阻尼自由振动系统的振幅,即振动的最大位移,单位为m; φ 0 为汽车无阻尼自由振动系统的初相位,单位为弧度(rad)。由三角叠加原理可得
式(2-36)和式(2-37)是描述汽车无阻尼自由振动的两种表达式,从式(2-37)的形式上可以看出,汽车无阻尼自由振动实质上是以其静平衡位置为振动中心的简谐振动。
汽车无阻尼自由振动的固有周期(单位为s)为
汽车振动的频率(单位为Hz或1/s)为
由此可见,汽车无阻尼自由振动的频率和圆频率之间的关系为
由于 f 和 ω n 仅取决于汽车悬架系统的固有参数,因而通常将 f 称为汽车无阻尼振动系统的固有频率,而将 ω n 称为无阻尼固有圆频率。
[例2-4]
假设一汽车单质量无阻尼振动系统,汽车车身质量
m
为900kg,汽车悬架弹簧刚度
k
为14400N·m
-1
,
t
=0时,
x
=
x
0
=0.3m,
=1.6m/s。求汽车单质量无阻尼自由振动的表达式,并利用MATLAB/Simulink绘制其振动的位移时程曲线。
解: 计算自由振动的固有圆频率
汽车单质量无阻尼自由振动的微分方程为
计算振幅和相位角:
汽车无阻尼自由振动的表达式为
搭建Simulink模型,绘制位移时程曲线。考虑到前面建立的汽车单质量无阻尼自由振动的微分方程,可以搭建如图2-15所示的Simulink模型。
图2-15 汽车单质量无阻尼自由振动Simulink模型
得到振动曲线如图2-16所示。
此外,由于前面已经求出了汽车无阻尼自由振动的表达式,因此可以在MATLAB的命令行窗口中直接进行求解,绘图程序如下。得到的位移时程曲线和图2-16相同,这里不再赘述。
综合上述,我们可以看出汽车单自由度无阻尼系统的自由振动具有以下重要特性:
1)汽车无阻尼自由振动是以其静平衡位置为振动中心的简谐振动。
2)汽车无阻尼自由振动的圆频率等于固有频率。
3)系统的固有频率和周期,只与汽车的刚度系数 k 和车身质量 m 有关,与外界激励、初始条件、振幅或相位等均无关。
4)汽车无阻尼自由振动的振幅和初相位由初始条件决定。
图2-16 汽车单质量无阻尼自由振动的位移时程曲线
5)汽车单自由度无阻尼系统的自由振动是一种等幅振动,振幅始终保持不变,系统一旦受到初始激励就会一直振动下去。
汽车振动系统受到初始条件以外的外界激励(如外界激振力、激振位移、速度、加速度等)的作用下而产生的振动称为受迫振动,它是汽车振动系统对外部过程激励的响应。按照激励随时间变化的规律,可以将激励划分为简谐激振、一般周期激振和非周期激振三类。本节只讨论汽车振动系统受到简谐激振时的响应。
以图2-17所示的汽车无阻尼受迫振动系统为研究对象,取车身的静平衡位置为坐标原点,车身振动位移沿弹簧形变方向铅直向上为正。假设汽车上作用一简谐激振力为
式中, H 为激振力的幅值; ω 为激振力的圆频率。
图2-17 汽车无阻尼受迫振动系统
当车身开始振动并且偏离静平衡位置 x 距离时,汽车无阻尼受迫振动系统的微分方程可以写为
将上式两边除以
m
,并令
,则式(2-48)可以改写成
式中, ω n 为汽车振动系统的无阻尼固有圆频率。
该方程是汽车单自由度系统受迫振动微分方程,与汽车无阻尼自由振动的微分方程相比多了激励项,方程由齐次变为非齐次。根据微分方程求解相关理论可知,方程(2-49)的全解由两部分组成:
式中,
x
1
(
t
)是汽车振动系统的自由振动解,即齐次微分方程
=0的通解;
x
2
(
t
)是受迫振动的特解。
由式(2-37)可知,其通解可写为 x 1 ( t )= A sin( ω n t + φ 0 ),另外,式(2-50)中的特解 x 2 ( t )可写为
显然,式(2-51)是一个简谐振动表达式,其振幅为 B ,圆频率与激振力的频率相同。
将式(2-51)代入式(2-49),并令
,可得
式中, λ 是外激励的频率和系统固有圆频率之比。
系统受迫振动的特解为
由此可见,汽车单自由度无阻尼系统的受迫振动具有以下规律:
1)受迫振动的频率与激振力的频率相同,说明系统的受迫振动与外扰力具有相同的变化规律。
2)受迫振动的振幅决定于系统本身的物理性质、激振力大小和频率比,与初始条件无关。
由式(2-50)可以看出,汽车单自由度无阻尼受迫振动系统在简谐激振下的总响应是由两种简谐振动复合而成的复杂振动:
假设初始条件为
t
=0时,
x
=
x
0
,
,将其带入式(2-54)可以求解得
受迫振动的特解由式(2-55)确定,可写为
则汽车单自由度无阻尼系统受迫振动的总响应为
至此可知,汽车单自由度无阻尼受迫振动系统在简谐激振下的总响应是两种不同频率成分的合成振动。由于没有阻尼的存在,这两种不同频率成分的合成振动将一直持续下去,如图2-18所示。实际上,现实中的汽车振动系统难免会存在阻尼,系统的自由振动只会在振动刚开始的一段时间内存在,之后便会被阻尼衰减掉。
图2-18 汽车单自由度无阻尼受迫振动系统的总响应
曲线绘制程序如下:
由式(2-53)可知,受迫振动的振幅可以改写为
令
,则式(2-58)可以改写为无量纲的形式:
式中, Δ st 为汽车振动系统的静位移,表征了在静力 H 作用下弹簧的形变量; β 为振幅放大因子,表征了汽车系统振动时的振幅相对弹簧最大静力变形的放大倍数; λ 为外激励的频率和系统固有圆频率之比。
式(2-59)反映了振幅的放大因子 β 随频率比 λ 变化的规律,相应的曲线称为幅频特性曲线,如图2-19所示。无阻尼受迫振动系统的幅频特性曲线有如下规律:
1)当 λ ≪1时,外激励频率较低,系统振动较慢,接近静力状态,故 β →1,也即 B → Δ st 。
2)当 λ ≫1时,外激励频率很高,系统跟不上响应, β 迅速下降, B 急剧变小逐渐趋于0。
3)当 λ =1时,外激励频率等于汽车振动系统的固有频率,系统发生共振,振幅趋于无穷大。通常把 λ =1附近振幅较大的区域称为共振区。
图2-19 汽车无阻尼受迫振动系统的幅频特性曲线
曲线绘制程序如下:
当汽车单质量无阻尼系统发生共振时,受迫振动的特解形式如下:
代入式(2-48)可得
所以,当系统发生共振时,受迫振动的运动规律为
可见,当外激励频率 ω 趋近汽车振动系统的固有频率 ω n 时,受迫振动的振幅是线性变化的。随着时间的推移,振幅将无限地增大,如图2-20所示。
图2-20 共振时受迫振动的运动规律
曲线绘制程序如下:
根据振动的合成理论可得,汽车单自由度无阻尼受迫振动系统的总响应可以合成为
式中,
。
从式(2-63)可以看出,合成后的振动方程中包含了
的振动频率,这是两种简谐振动频率的均值。由振幅和相位角可知,合成后的振动方程被低频
所调制。
此外,若
ω
n
和
ω
之比是有理数,即
,则可以得到
式中,
和
分别是两个简谐振动的周期
T
1
和
T
2
。取
T
=
mT
1
=
nT
2
,并且记
x
=
x
1
+
x
2
,则有
可见,当 ω n 和 ω 之比是有理数时,汽车单自由度无阻尼受迫振动系统在简谐激振下的总响应是周期为 T 的复合振动,振动的周期是 x 1 ( t )和 x 2 ( t )振动周期的最小公倍数。
若 ω n 和 ω 之比是无理数,汽车单自由度无阻尼受迫振动系统在简谐激振下的总响应是一个非周期的复合振动。
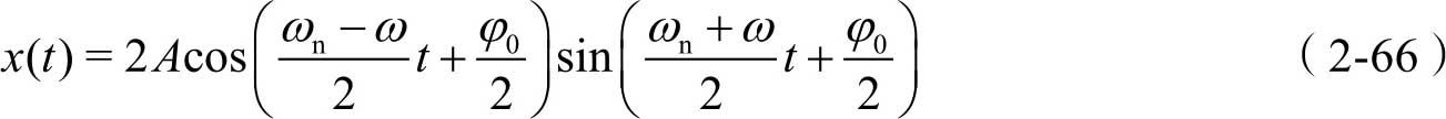
若 ω n ≈ ω ,且 A = B ,则有
式(2-66)中的正弦函数完成了几个循环以后,余弦函数才能完成一个循环。这是一个角频率为 ω 的变幅振动,系统的振幅会在0~2 A 之间缓慢地周期性变化。这种特殊的振动被称为“拍振”,其运动波形如图2-21所示。
图2-21 拍振波形
曲线绘制程序如下:
[例2-5]
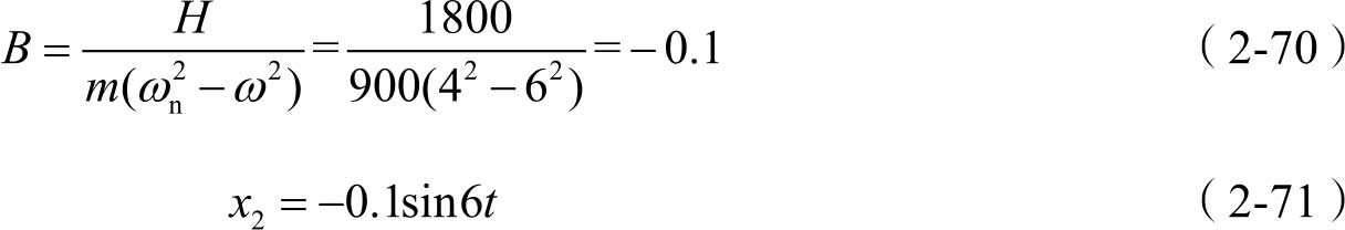
假设图2-17所示的汽车单质量无阻尼振动系统,汽车车身质量
m
为900kg,汽车悬架弹簧刚度
k
为14400N·m
-1
,车身始终受到一个
F
=
F
0
sin6
t
的持续激振力,
t
=0时,
x
=
x
0
=0.3,
=1.6,
F
0
=1800。求:
1)汽车单质量无阻尼受迫振动的表达式,并利用MATLAB/Simulink绘制其振动的位移时程曲线。
2)如果将激振力变为 F =-1167sin4.5 t ,绘制振动的位移时程曲线。
解: 1)计算系统振动的固有圆频率:
汽车单质量无阻尼受迫振动的微分方程为
进一步变形可得
计算非齐次方程的特解为
计算汽车无阻尼自由振动解为
汽车单质量无阻尼受迫振动的总响应为
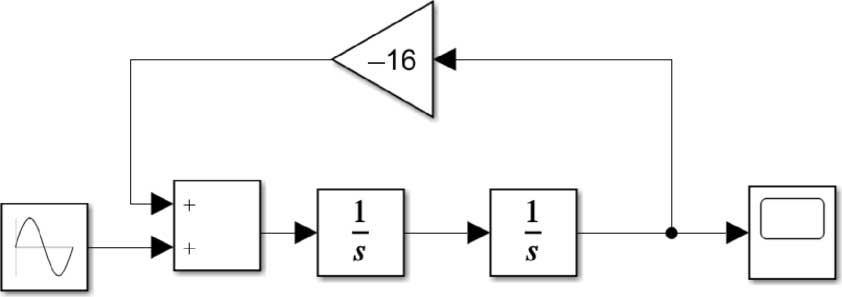
考虑到前面建立的汽车单质量无阻尼受迫振动的微分方程(2-69),可以搭建图2-22所示的Simulink模型。
图2-22 汽车单质量无阻尼受迫振动Simulink模型
运行该仿真模型,得到振动的位移时程曲线如图2-23所示。
图2-23 汽车单质量无阻尼受迫振动总响应的位移时程曲线
此外,利用前面已经求出的汽车无阻尼自由振动的表达式,可以在MATLAB的命令行窗口中直接进行求解,计算方法如下:
2)当外界激振力为 F =-1167sin4.5 t 时,非齐次方程的特解为
则非齐次方程的特解为
汽车单自由度无阻尼系统自由振动解为
汽车单质量无阻尼受迫振动的总响应为
振动的位移时程曲线如图2-24所示。
图2-24 汽车单质量无阻尼受迫振动总响应的位移时程曲线