



常见的边缘检测算子有梯度算子、Roberts算子、Prewitt算子和Sobel算子等。经典的边缘检测方法主要是基于函数微分运算,这样根据微分方程构造不同的算子,就可实现不同的边缘检测方法。
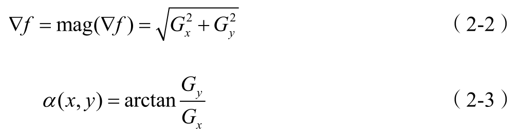
对一个连续图像函数 f ( x , y ),它在位置( x , y )的梯度可表示为一个向量:
这个向量的幅度(也常直接简称为梯度)和方向角分别为
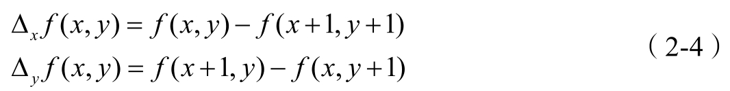
在数字图像梯度运算过程中,可用一阶差分代替一阶微分,Roberts算子为
Sobel梯度算子先做加权平均,然后再差分,即
在求取边缘时,对图像中的每个像素运用上面的方法计算。在实际中,经常使用对应小区域模板进行卷积来计算,两个模板构成一个梯度算子,如图2-2、图2-3所示。
图2-2 Roberts模板
图2-3 Sobel模板
有了 Δ x f 和 Δ y f 之后,很容易计算出梯度幅值 R ( i , j )。取适当门限TH,做如下判断:
R ( i , j )>TH,( i , j )为阶跃状边缘点, R ( i , j )为边缘图像。