



自然界的材料,其内部孔隙的形状、数量和结构特征均不相同,使其基本物理性能指标也产生了差别,有的材料内部是绝对密实的,有的材料内部是含有孔隙的,如图2.2至图2.4所示。
图2.2 大理石的致密表面
图2.3 加气混凝土的多孔构造
图2.4 含孔材料结构示意图
1—固体体积;2—闭口孔隙;3—开口孔隙
材料的总体积由两部分构成,即固体体积( V )、孔隙体积( V 孔 )。而内部孔隙又分为开口孔隙( V 开 )和闭口孔隙( V 闭 ),即
V 孔 = V 开 + V 闭
①绝密体积:材料在绝对密实状态下的体积,即材料内部没有孔隙时的体积或不包括内部孔隙的材料体积,用 V 表示。
测定方法:比较密实的材料,如玻璃、钢材等通常认为是绝对密实状态的材料,可以直接用排水法测其体积;一般多孔材料,如砖,应磨成细粉(粒径小于0.2 mm)排除其内部孔隙,用李氏瓶(图2.5)测其实际体积。
图2.5 李氏瓶
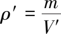
②表观体积:材料在自然状态下不含开口孔隙的体积,即包含少量闭口孔隙的外观体积,用 V′ 表示。
V′ = V + V 闭
测定方法:可直接用排水法测定。
③自然体积:材料在自然状态下的体积,即整体材料的外观体积,用 V 0 表示。
V 0 = V + V 孔
测定方法:对形状规则的材料,直接测量;对形状不规则的材料,蜡封后用排水法测量。
对堆积在一起的散粒材料,颗粒与颗粒之间还有大量的空隙(
V
空
),如图2.6所示。因此,散粒材料的总体积由三大部分组成,用
表示堆积体积,即
图2.6 散粒材料结构示意图
图2.7 堆积密度测定仪
=
V
+
V
孔
+
V
空
测定方法:用既定容积的容器测定(图2.7)。
密度是指材料在绝对密实状态下单位体积的质量,即
式中 ρ ——密度,g/cm 3 或kg/m 3 ;
m ——材料在干燥状态下的质量,g或kg;
V ——材料的绝对密实体积,cm 3 或m 3 。
表观密度是材料在自然状态下,不含开口孔体积,只含闭口孔体积的单位体积的质量,即
式中 ρ′ ——表观密度,g/cm 3 或kg/m 3 ;
m ——材料在干燥状态下的质量,g或kg;
V′ ——材料的表观体积,cm 3 或m 3 。
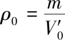
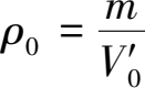
体积密度是材料在自然状态下单位体积的质量,即
式中 ρ 0 ——体积密度,g/cm 3 或kg/m 3 ;
m ——材料在干燥状态下的质量,g或kg;
V 0 ——材料在自然状态下的体积,cm 3 或m 3 。
堆积密度是指散粒材料(粉状或粒状材料)在自然堆积状态下单位体积的质量,即
式中
——堆积密度,g/cm
3
或kg/m
3
;
m ——散粒材料在干燥状态下的质量,g或kg;
——散粒材料在自然堆积状态下的体积,cm
3
或m
3
。
【 实例 2.1】 一块烧结普通砖的外形尺寸为240 mm×115 mm×53 mm,吸水饱和后质量为2 900 g,烘干至恒重的质量为2 665 g,切下一小块磨细后取干粉55 g,用李氏瓶法测得其迷失状态下的体积为20.5 cm 3 。求此砖的密度和体积密度。
【 解 】 根据已知条件
常用建筑材料的密度、体积密度、堆积密度见表2.1。
表2.1 常用建筑材料的密度、体积密度、堆积密度
密实度是指材料体积内被固体物质充实的程度,也就是固体物质的体积占总体积的比例。密实度反映材料的致密程度。其计算式为
式中 D ——材料的密实度;
ρ ——材料的密度;
ρ 0 ——材料的体积密度。
孔隙率是指材料体积内,孔隙体积占材料总体积的百分率,也就是孔隙体积所占的比例。其计算式为
式中 P ——材料的孔隙率。
孔隙率与密实度之间有什么关系?
孔隙率与材料性质有什么关系?
【 实例 2.2】 已知某普通黏土砖 ρ 0 = 1 600 kg/m 3 , ρ = 2 500 kg/m 3 。求其密实度和孔隙率。
【 解 】 由已知条件,有
孔隙率的大小反映了材料的致密程度,材料的很多性质均与此有关,如强度、吸水性、抗冻性、抗渗性、耐久性、导热性、吸声性等。此外,材料的性质还与材料内部孔隙的结构包括孔隙的数量、形状、大小、分布以及连通与封闭等有关。材料的内部孔隙还有粗细之分,粗细不同的孔隙结构,吸水程度也有难易之分。因此,孔隙结构和孔隙特征对材料的很多性质有很大的影响。
填充率是指散粒材料在堆积体积状态下被其颗粒填充的程度。其计算式为
式中 D′ ——散粒材料在堆积状态下的填充率。
空隙率是指散粒材料在堆积状态下颗粒之间的空隙体积所占的比例。其计算式为
式中 P′ ——散粒材料在堆积状态下的空隙率。
空隙率的大小反映了散粒材料的颗粒之间互相填充的致密程度。在配置混凝土时,混凝土的骨料空隙率越小,其颗粒大小搭配越合理,用其配制的混凝土越密实,水泥也越节约。空隙率可作为控制混凝土骨料级配与计算砂率的依据。
材料与水接触时,表面能被水润湿的性质称为亲水性。材料表面不能被水润湿的性质称为憎水性。常用的亲水性材料,如烧结砖、混凝土、木材等;常用的憎水性材料,如沥青、石蜡、塑料等。
材料的亲水性与憎水性一般用润湿角 θ 来判定,如图2.8所示。当水滴与固体材料在空气中接触且达到平衡时,从固相、液相、气相的三相交点处,沿着水珠表面做切线,此切线与材料和水接触面的夹角称为润湿角。一般认为,当 θ ≤90 ° 时,为亲水性材料;当90 ° < θ <180 ° 时,为憎水性材料。
图2.8 材料润湿示意图
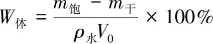
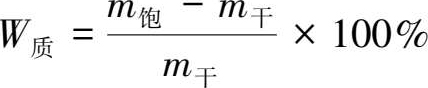
吸水性是指材料在水中吸收水分的能力。吸水性用吸水率表示。吸水率有两种表示方法,即质量吸水率和体积吸水率。
①质量吸水率是指材料吸水饱和后,吸收水分的质量占干燥材料质量的百分数。其计算式为
式中 W 质 ——材料的质量吸水率,%;
m 饱 ——材料在吸水饱和状态下的质量,g;
m 干 ——材料在干燥状态下的质量,g。
②体积吸水率是指材料吸水饱和后,吸收水分的体积占干燥材料体积的百分数。其计算式为
式中 W 体 ——材料的体积吸水率,%;
ρ 水 ——水的密度,kg/cm 3 。
体积吸水率和开口孔隙率有什么关系?
材料的吸水性与材料的孔隙率和孔隙特征有关。对细微连通孔隙,孔隙率越大,则吸水率越大。闭口孔隙水分不能进入,而开口大孔虽然水分易进入,但不能存留,只能润湿孔壁,所以吸水率仍然较小。各种材料的吸水率不同,差异也较大,如花岗岩的吸水率只有0.5%~0.7%,混凝土的吸水率为2%~3%,黏土砖的吸水率达8%~20%,而木材的吸水率可超过100%。
吸水率对材料性质有什么影响?
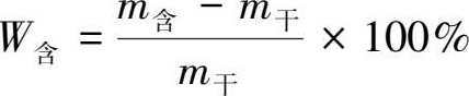
吸湿性是指材料在潮湿空气中吸收水分的性质,一般用含水率表示。材料的吸湿性随空气湿度的大小变化而变化。大多数材料在正常情况下都含有一部分水,这部分水分的质量占材料干燥质量的百分率,称为材料的含水率。其计算式为
式中 W 含 ——材料的含水率,%;
m 含 ——材料含水时的质量,g。
材料的吸水率与含水率有什么关系?
【 实例 2.3】 黏土砖干燥时的质量为2 498 g,吸水饱和时的质量为2 867 g,在空气中的质量为2 572 g,求质量吸水率和含水率。
【 解 】 由已知条件,有
石膏能否用于砌筑桥墩或大坝?
建筑红砖能否用作防水材料?
长期与水接触的建筑部位和潮湿部位对建筑材料有哪些要求?
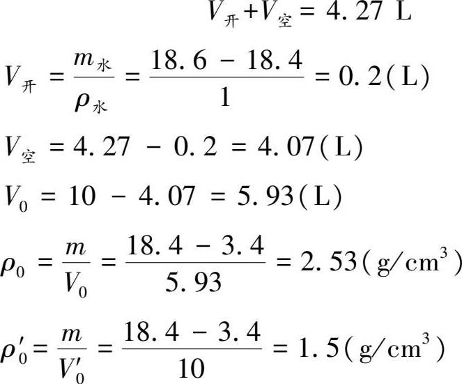
【 实例 2.4】 经测定,质量为3.4 kg,容积为10 L的量筒装满绝干石子后的总质量为18.4 kg,若向筒内注水,待石子吸水饱和后,为注满此筒共注入水4.27 kg,将上述吸水饱和后的石子擦干表面后称得质量为18.6 kg(含筒重),求该石子的体积密度、堆积密度及开口孔隙率。
【 解 】
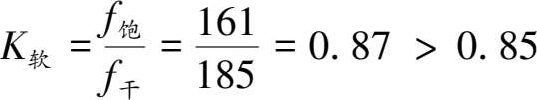
材料长期在饱和水的作用下不破坏,其强度也不显著降低的性质称为耐水性。一般材料随着含水量的增加,会减弱其内部结合力,强度都会有不同程度的降低。当材料内含有可溶性物质时(如石膏、石灰等),吸入的水还可能溶解部分物质,造成强度的严重降低。材料的耐水性常用软化系数 K 软 表示。
式中 K 软 ——材料的软化系数;
f 饱 ——材料在吸水饱和状态下的抗压强度,MPa;
f 干 ——材料在干燥状态下的抗压强度,MPa。
软化系数0< K 软 <1,软化系数越小,材料的耐水性越差。对长期受水浸泡或处于潮湿环境中的重要建筑物,其材料的软化系数不宜小于0.85;受潮较轻或次要结构物的材料,其软化系数不宜小于0.75。软化系数大于0.8的材料,可以认为是耐水性材料。
【 实例 2.5】 某石材在绝干、气干、水饱和情况下测得的抗压强度分别为175,185,161 MPa,判断该石材是否适用于水下工程。
注:亲水材料的4种含水状态如图2.9所示。
①绝干状态:材料的孔隙中不含水分。
②气干状态:材料的孔隙中含水时其相对湿度与大气湿度相平衡。
③水饱和状态:材料表面无水,而孔隙中充满水并达到饱和。
④表面湿润状态:材料孔隙中充满水达到饱和,表面也被水润湿并附有一层水膜。
图2.9 材料含水状态示意图
【 解 】 能否作为耐水性材料主要看其软化系数的大小,由已知条件得
因此,该石材可作为耐水性材料。
材料抵抗压力水渗透的性质称为抗渗性,可以用渗透系数 K 表示。其计算式为
式中 K ——渗透系数,mL/(cm 2 ·s);
Q ——透水总量,mL;
t ——透水时间,s;
A ——透水面积,cm 2 ;
H ——静水压力水头高度,cm;
d ——试件厚度,cm。
抗渗系数 K 值越大,说明材料渗透的水量越多,则抗渗性越差。
抗渗等级是指材料在标准实验方法下进行的透水实验,以规定的试件在透水前所能承受的最大水压力来确定,用 P 和材料透水前能承受的最大水压力表示。试验仪器如图2.10所示。如P4,P6,P8等分别表示材料能承受0.4,0.6,0.8 MPa的水压不渗水。材料抗渗等级越大,其抗渗性越好。建筑中常用的混凝土、砂浆的抗渗性用抗渗等级表示。
图2.10 混凝土抗渗仪
抗渗性是决定材料耐久性的主要指标。材料的抗渗性与材料的憎水性和亲水性有关,憎水性材料的抗渗性优于亲水性材料。抗渗性与材料内部的孔隙率特别是开口孔隙率有关,开口孔隙率越大,大孔含量越多,则抗渗性越差。地下建筑及水工建筑等,因经常受压力水的作用,所用材料应具有一定的抗渗性。
抗冻性是指材料在吸水饱和状态下,抵抗多次冻融循环而不破坏,强度也不显著降低的性质,用抗冻等级符号F和最大所能承受的冻融循环次数来表示。如F25,F50,F100等表示材料最多能承受的冻融循环
次数为25,50,100次,其强度下降不超过25%,质量损失不超过5%。
抗冻等级的选择,根据结构物的种类、使用条件、气候条件等来决定。烧结普通砖、陶瓷面砖、轻混凝土等墙体材料,一般要求其抗冻等级
为D15或D25;用于桥梁和道路的混凝土应为D50,D100或D200。水工混凝土要求高达D500。
材料的冻融破坏主要是由于材料吸水饱和后,材料内部孔隙充满水,水在负温作用条件下,冻结成冰,水结冰体积膨胀,从而对孔壁产生压力。所产生的冻胀压力造成材料的内应力,会使材料遭到局部破坏。随着冻融循环的反复,材料的破坏作用逐渐加剧,对材料破坏越严重(图2.11、图2.12)。因此,一般来说,材料的抗冻性取决于其孔隙率、孔隙特征及充水程度。
图2.11 受冻融破坏的桥梁
图2.12 受冻融破坏的堤坝
为了节约建筑物的使用能耗,使室内维持一定的温度,为我们的生产工作及生活创造适宜的条件,常要求建筑材料具有一定的热工性质,包括导热性、热容量和比热容等,如图2.13所示。
图2.13 建筑节能与材料热工性质的关系
材料传导热量的能力称为导热性。导热能力的大小可以用导热系数 λ 来表示。其计算式为
式中 λ ——导热系数,W/(m·K);
Q ——传导的热量,J;
A ——热传导面积,m 2 ;
d ——材料厚度,m;
t ——热传导时间,s;
T 2 - T 1 ——材料两侧的温差,K。
常见材料的热工性质指标,见表2.2。
表2.2 常见材料的热工性质指标
材料导热系数越小,材料的导热性越差,保温隔热性越好。材料的导热性和下列因素有关:
①化学组成与结构。一般来说,化学组成不同的材料,其导热系数不同。导热系数的大小为:金属材料>非金属材料>有机材料。导热性与材料的孔隙率和孔隙构造有关,也与材料的湿度和温度有关。
②孔隙率和孔隙构造特征。对同种材料,其孔隙率越大,导热性越差。如果孔隙率相同,随着连通孔和粗孔的增多,导热性也越好。
③湿度和温度。材料受潮后,导热性会提高,保温隔热性会降低。如果材料再受冻,导热性会进一步提高,保温隔热性也会进一步下降。
分析常见材料热工性质指标,思考:棉袄浸水后保暖性会变差吗?孔多的材料保温性能好吗?中空玻璃为什么比同厚度的实心玻璃保温性能好?保温材料为什么保持干燥状态时其保温效果较好?
【 实例 2.6】 某工程顶层预加保温层,如图2.14所示为两种材料的剖面,请问选择何种材料?
(a)多孔结构
(b)密实结构
图2.14 材料的剖面
【 解 】 设置保温层的目的是增加建筑物内外的热阻,材料保温性能的主要描述指标为导热系数和热容量,其中导热系数越小越好。观察两种材料的剖面,可见,图2.14(a)为多孔结构,图2.14(b)为密实结构,多孔材料的导热系数较小,适合作保温层材料。
材料受热时吸收热量,冷却时放出热量的性质,称为材料的热容量。其大小可用比热容表示。比热容表示1 g材料温度升高或降低1 K所吸收的热量。其计算式为
式中 Q ——材料吸收或放出的热量,J;
c ——材料的比热容,J/(g·K);
m ——材料的质量,g。
材料的比热对保持建筑物室内温度的稳定起很大作用。比热大的材料,能吸收或储存较多的热量,能在温度波动大或采暖设备供热不均匀时,缓和室内的温度波动,并能减少能耗。