



材料在外力作用下抵抗破坏的能力称为强度。它是以材料在受外力破坏时,单位面积上所承受的力来表示。
根据外力作用方式的不同,材料的强度分为抗拉强度、抗压强度、抗弯强度及抗剪强度等,如图2.15—图2.17所示。
 
    图2.15 材料受力形式示意图
 
    
    图2.16 水泥抗压、抗折实验机
 
    图2.17 钢筋抗拉实验机
材料的抗压强度试验如图2.18所示。材料的抗压、抗拉、抗剪强度可由下式计算:
 
   式中 f ——材料的抗压、抗拉或抗剪强度,MPa;
F max ——材料破坏时的最大荷载,N;
A ——受力面积,mm 2 。
 
    图2.18 混凝土试块抗压强度试验
 
    图2.19 混凝土路面抗折强度实验
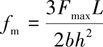
材料受弯时的应力分布比较复杂,强度计算公式也不一致。一般将试件放置在两个支点上,如图2.19所示,在试件中上方施加荷载,对长方体试件,其抗折强度计算式为
 
   式中 f m ——材料的抗折强度,MPa;
F max ——材料破坏时的最大荷载,N;
L ——两支点之间的距离,mm;
b ——试件横截面宽,mm;
h ——试件横截面高,mm。
影响材料强度试验结果的因素主要有:材料的组成、结构与构造;孔隙率与孔隙特征;试件的形状和尺寸;加荷速度;试验环境的温度、湿度;受力面状态。为了使试验结果比较准确,测定材料的强度必须严格按照统一的试验标准方法进行。
材料根据极限强度的大小,划分为若干个不同强度等级。脆性材料(如水泥、混凝土、砖、砂浆等)是以抗压强度值来划分强度等级。如混凝土根据其抗压强度分为C15,C20,…,C80等14个强度等级。建筑钢材以抗拉强度划分强度等级。
比强度是指单位质量材料的强度,是衡量材料轻质高强性能的一项重要指标。选用比强度大的材料或者提高材料的比强度,对增加建筑高度、减轻结构自重、降低工程造价具有重大意义。常用主要材料的比强度见表2.3。
表2.3 常用主要材料的比强度
 
   续表
 
   材料在外力作用下产生变形,当外力取消后,材料能够完全恢复其原来的形状和尺寸的性质称为弹性(如弹簧)。材料在外力作用下发生变形,当外力取消后,材料不能恢复原来的形状和尺寸,但本身不会产生裂缝的性质称为塑性(如橡皮泥)。
 
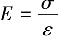
   弹性模量是衡量材料抵抗变形能力的指标,用 E 表示。
 
   式中 E ——弹性模量,N/m 2 ;
σ ——应力,N/m 2 ;
ε ——应变(Δ L/ L 无量纲,常用百分数表示)。
弹性模量越大,材料越不容易变形。钢材的拉伸既有弹性变形又有塑性变形。当外力较小时,表现为弹性变形,去除外力是可以恢复原状的。当外力较大,超过一定范围时,表现为塑性变形,去除外力不能恢复原来的形状。
材料在外力作用达到一定的限度后,会突然破坏又无明显的塑性变形的性质称为脆性(如玻璃)。其特点是材料在外力作用下达到破坏荷载时的变形值很小,它抵抗冲击荷载或振动作用的能力很差。材料在冲击或振动荷载作用下,能够吸收较大的能量,同时也能产生一定的变形而不致破坏的性质称为韧性(如钢材)。
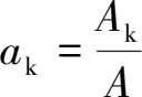
大部分无机非金属材料均属脆性材料,如天然石材、烧结普通砖、陶瓷、玻璃、普通混凝土、砂浆等。建筑钢材、木材等属于韧性材料。路面、桥梁、吊车梁以及有抗震要求的结构都要考虑材料的韧性。材料的韧性用冲击试验测试(图2.20),以试件破坏时单位面积所消耗的功来表示。其计算式为
 
   式中 a k ——材料的冲击韧性,J/mm 2 ;
A k ——试件破坏时消耗的功,J;
A ——试件的受力面积,mm 2 。
硬度是材料表面能抵抗其他较硬物体刻划或压入的能力。
 
    图2.20 钢材冲击韧性实验示意图
①刻划法以莫氏硬度表示。用于天然矿物硬度的划分,按滑石、石膏、方解石、萤石、磷灰石、长石、石英、黄晶、刚玉、金刚石的顺序,分为10个硬度等级。陶瓷、玻璃等脆性材料的硬度通常用刻划法来确定。
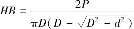
②压入法是以一定的压力将一定规格的钢球或金刚石尖端压入式样表面,依据压痕的面积或深度测定其硬度。其计算式为
 
   式中 HB ——布氏硬度,N/mm 2 ;
d ——压痕直径,mm;
D ——钢球直径,mm;
P ——作用力,N。
耐磨性是指材料表面抵抗磨损的能力,用磨损率 G 表示。其计算式为
 
   式中 G ——材料的磨耗率,g/cm 2 ;
m 1 ——材料磨损前的质量,g;
m 2 ——材料磨损后的质量,g;
A ——材料试件的受磨面积,cm 2 。
一般强度较高且密实的材料,其硬度较大,耐磨性较好。在工程上,一般道路、地面、踏步以及水下工程的材料应考虑耐磨性。