



木结构建筑群发生火灾时,其火灾蔓延与现代水泥建筑有很大的不同,为了更好地研究木结构建筑火灾蔓延的相关理论,找出影响其火灾蔓延的相关因素,本章分析木结构建筑发生火灾时的热传递方式,确定木结构建筑群发生火灾时的蔓延特性和火灾蔓延的临界温度。
根据贵州省某木结构建筑群的现场调查情况可知 [36] ,由于该地区旅游业的不断发展,对木结构建筑群进行改造,使得该地区火灾载荷增大,人员更加密集。一旦木结构建筑群发生火灾,就会造成巨大的经济损失和文化底蕴的丢失,还会严重威胁游客的人身安全,造成巨大的人员伤亡,因此需要分析木结构建筑群的特性,确定其危险性,贵州省某木结构建筑群如图 1.4 所示。
图 1.4 木结构建筑群
贵州省某木结构建筑群特点:①建筑群依山而建分布密集,大部分建筑之间防火间距较小;②建筑大多采用木质材料制成且存在时间较长,同时由于风化作用受损比较严重,火灾载荷较大,加快了火灾蔓延速度;③建筑存在时间较长,且处于山地地区,道路狭窄且坡度较大,消防车通行不便,当火灾事故发生时,无法进行有效的灭火行动,降低了救援效率。
由于该木结构建筑群的特点,同时木材作为易燃物为火灾的发生源源不断地提供了作为燃烧物质的基础,导致木结构建筑群具有较大的火灾危险性,主要从以下几个方面表现出来:
①导致起火的原因较多,消防安全管理比较困难。造成木结构建筑起火的原因较多,其中雷击等自然灾害造成的建筑火灾概率极小,同时可以采用避雷器等设备来预防雷击。人为造成的起火因素较多,如用火不慎、人为纵火、电器设备起火等都会导致火灾事故的发生。同时古木建筑群的消防安全管理等制度的不健全,人员防火意识较低等,使得消防安全管理更加困难。
②建筑耐火等级较低,增大了火灾发生的概率。根据《建筑设计防火规范》(GB 50016—2014)中的相关规范可知,建筑材料的防火等级要在三级到四级之间 [37] ,但实际建筑情况远远达不到要求。由于古木建筑群的建筑材料大多取自当地的木材,同时建筑存在时间较长,建筑物本身的材料发生氧化和侵蚀等,使得其耐火等级进一步降低。
③火灾载荷较大,火焰传播速度和燃烧速率较快。现代建筑中,每平方米的建筑中所使用的材料低于 0.03 m 3 ,但是在古木建筑群中,每平方米的建筑中木材所占比达到 100%,其火灾载荷约是现代建筑的 33 倍。同时由于木结构建筑发生火灾时,暴露在火源中的都是木质材料,火焰会沿着建筑表面蔓延到如窗帘、床铺等其他可燃物上,造成火势的进一步扩大,并且木结构建筑中空气对流较好,火焰向上蔓延形成立体燃烧,会造成局部温度达到约 1 000 ℃ 。因此要及时扑救,避免出现大范围燃烧。
④建筑之间的防火间距较小,火灾蔓延速度加快。由于该木结构建筑群建成时间较早,建造初期的建筑群规划的防火间距严重不足,同时建筑群之间缺少必要的阻燃及防火设施,当火灾发生时,就会通过热辐射、热对流等方式传递到相邻建筑物上,造成“火烧连营”的情况。当建筑发生火灾一段时间后,木梁等会失去承载能力造成垮塌。
⑤交通条件较差,火灾扑救较困难。当地木结构建筑群依山而建,建筑群之间存在许多上山的小路,这些道路车辆无法通行,严重地拖延了火灾扑救工作。同时由于建筑内部消防设施的落后,缺少自动喷淋系统、火灾自动报警系统及烟雾检测系统等设备,发生火灾时只能采用传统的救火方式。并且火灾发生时会产生大量烟雾,使得人员视线受损,增加了火灾扑救的难度。
为了定量掌握热烟气对木结构建筑群的热量传递,达到对木结构建筑群火灾蔓延的预测和控制的目的,本节根据传热学对烟气在木结构建筑群间的对流和辐射两种基本传热方式进行计算。计算过程中需要解决的两个基本的问题为:①已燃建筑群对未燃建筑群存在垂直向上和水平方向流动的热烟气,因此需要分开计算其热对流。②由于相邻建筑发生火灾,已燃建筑群的烟气向未燃建筑群的两侧和顶部流动,假设将未燃建筑看作一个长方体,烟气纵向掠过未燃烧的建筑群两侧墙面,烟气横向掠过未燃烧的建筑群的两个侧面和一个顶面,将未着火的建筑群的墙面近似看作平板。
1)蔓延模型
将木结构建筑群看作长方体,建筑群的墙面看作平板。建筑着火后产生的烟气包括水平和垂直向上的热烟气。其传热模型如图 1.5 所示。
图 1.5 传热模型示意图
(1)烟气纵向掠过建筑群表面
①烟气纵向掠过建筑表面的自然对流换热系数。
烟气与木结构建筑物表面的对流换热过程根据传热学 [38] 中的自然对流换热实验关联式进行计算。
式中, Nu 为努赛尔数,反应对流传热强弱; Gr 为格拉晓夫数; Pr 为普朗特数;下标∗为应用定性温度t ∗ 来确定的具体数值; c 、 a 的数值根据 Gr 、 Pr 通过查阅传热学 [38] 来确定。
式中, t ∗ 为定性温度,℃; t 1 为未燃建筑墙面的温度,℃; t 2 为流动烟气的温度,℃。
式中, γ 为烟气的体积膨胀系数; g 为当地的重力加速度,m / s 2 ; l 为特性长度即烟气掠过的高度,m; v 为运动黏度,m 2 / s。
烟气纵向掠过建筑群表面的自然对流系数表示为
式中, μ 为导热系数,W/ (m·℃ )。
热流密度计算公式表示为
式中, q 1 为热流密度,W/ m 2 。
②纵向烟气掠过建筑群表面的强制对流换热系数。
随着未燃建筑群表面的温度逐渐增高并且出现火焰,烟气对该建筑的侧墙产生强制纵向掠过的影响,此过程看作强制掠过木板的过程。
平均换热系数依照传热学 [38] ,可表示为
当 Re >5×10 5 时,
式中, Re 为雷诺系数; Re 、 Pr 由式(1.17)中的定性温度 t ∗ 来决定。
当 Re ≤5×10 5 时,
式中, v j 为烟气的流速,m / s; ρ j 为烟气的密度,kg/ m 3 ; L j 为特征长度,m; φ j 为烟气的动力黏度,kg/ (m·s)。
烟气纵向掠过建筑表面的强制对流换热系数表示为
式中, n 为木结构建筑高度,m。
热流密度表示为
(2)烟气横向掠过建筑群表面
将烟气与建筑群墙面的对流换热过程看作以稳态常物性强制掠过平板的过程,根据传热学 [38] ,其平均换热系数的公式为
式中, Pr 的选定根据式(1.16)确定。
热流密度表示为
(3)辐射换热
①烟气黑度。
根据传热学 [38] ,烟气对建筑群墙面的辐射黑度的计算公式为
式中, θ g 为烟气对建筑群表面的辐射黑度; k 为烟气辐射减弱系数,bar -1 ·m -1 ; p 为烟气的压力,bar(1 bar = 0.1 MPa); I 为平均射线行程,m。
式中, r H 2 O 为烟气中的水蒸气所占容积的百分比; r RO 2 为烟气之中三原子气体的容积所占的百分比; P RO 2 为烟气中三原子的分压力,bar。
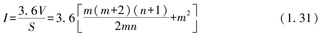
式中, V 为烟气容积,m 3 ; S 为烟气掠过的建筑表面积之和,m 2 ; m 、 n 为建筑长度和宽度,m。
②烟气的吸收率。
根据传热学 [38] ,木结构建筑表面对烟气吸收率采用如下公式计算:
式中, α g 为建筑表面对烟气的吸收率; j 为烟气中含灰量。
③烟气辐射换热的热流密度。
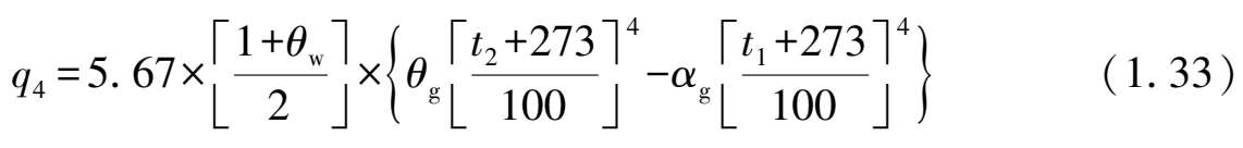
根据传热学 [38] ,烟气对木结构建筑群墙面的辐射换热的热流密度的计算公式为
式中, θ w 为建筑物品表面灰度。
④总换热量。
将上述计算的烟气与木结构建筑表面换热的热流密度和烟气掠过木结构建筑的表面积相结合,得到烟气与木结构建筑表面换热的总热量 Q ,可表示为
式中, S i 为建筑表面换热的面积,m 2 ; q i 为该面积上的热流密度,W/ m 2 。
2)换热分析
进行假设:
①木结构建筑可燃物成分:C(碳)为 48%、H(氢)为 6%、O(氧)为 20%、S(硫)为 0.1%、N(氮)为 0.3%、M(水分)为 15%、A(灰分)为 5%,其他为 5.6%。
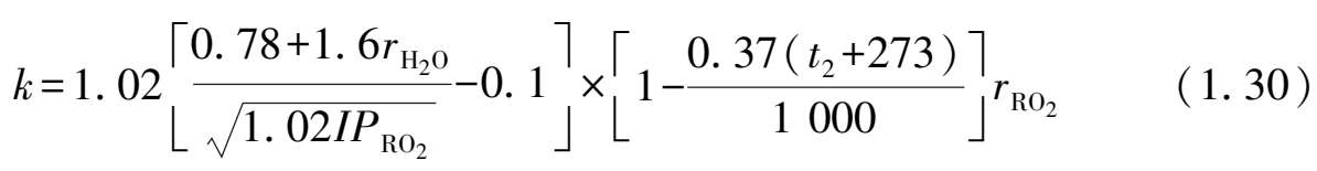
②空气供给充足,能够使得可燃物充分燃烧,不会出现阴燃等其他情况, r CO2= 0.13、 r H2O= 0.11。因此可以计算出烟气的成分,可以得出 r H2O / r CO2=0.85,在 0.5 ~ 5,可以使用式(1.30)进行计算。
③根据贵州省某木结构建筑群实际情况,考虑烟气围绕建筑外墙范围的厚度为 1 m,木结构建筑群表面的传热系数取值为 0.11 W/ (m·℃ ),建筑群高度 n 为 11 m,未燃烧建筑群宽度 m 为 10 m,取值 j = 0.4、 θ w = 0.9。
④参考传热学 [38] 建筑表面温度近似取 20 ℃,其法相黑度取值范围为 0.8 ~0.92,本书取值为0.9。随着时间的推移,建筑表面温度逐渐升高可以选取 60 ℃和 100 ℃ 。
按式(1.21)、式(1.26)、式(1.28)、式(1.33)、式(1.34)进行计算,计算结果见表 1.1。
表 1.1 烟气掠过木结构建筑的热流密度与总换热量
烟气流速对热辐射的影响:已燃建筑产生的烟气流动速度主要与风速有关。烟气流速的大小对辐射换热和纵向烟气自然掠过建筑表面的热流密度及换热量影响很小;随着烟气流速的增加,纵向烟气强制掠过建筑表面、横向烟气掠过建筑表面的对流换热密度和换热量增加,烟速每增加 2 m / s,建筑表面热流密度和换热量的增加值几乎相同,而建筑表面的总换热量增长值相近其幅度较小。
烟气温度对热辐射的影响:随着已燃建筑的不断燃烧,已燃建筑向未燃建筑传递的烟气温度逐渐增加。当假定未燃建筑表面温度不变时,随着烟气温度每增加 200 ℃,纵向烟气自然掠过建筑表面的热流密度和换热量的增加量几乎相同,而纵向烟气强制掠过建筑表面及横向烟气掠过建筑表面的增加量逐渐减少,烟气温度越高,换热量及热流密度的增长幅度越小,建筑表面的辐射换热的热流密度及总换热量成倍增加,增加幅度较大。
建筑表面温度对热辐射的影响:随着已燃建筑不断向未燃建筑传递高温烟气,烟气温度升高的同时,未燃建筑表面的温度逐渐升高并达到燃点发生起火。在此期间,建筑表面温度也同时发生增长,纵向烟气及横向烟气掠过建筑表面的热流密度及换热量增加量几乎一致,只是建筑表面的辐射换热出现大幅度增长,呈现出几何倍数增加,同时建筑表面的换热总量也在成倍增加,但与建筑表面温度一定时,各项数值的总变化量相差不大。故可认为建筑表面温度对建筑表面热传递影响很小。