



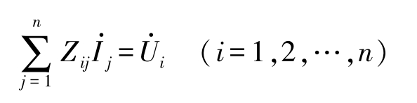
在电力系统计算中,节点方程也常写成阻抗形式,即
式中, Z = Y -1 是 n 阶方阵,称为网络的节点阻抗矩阵。
式(3-19)可展开写成
或者写成
节点阻抗矩阵的对角线元素 Z ii 称为节点 i 的自阻抗或输入阻抗,非对角线元素 Z ij 称为节点 i 和节点 j 之间的互阻抗或转移阻抗。请注意,后续章节中对转移阻抗另有定义,因此,本书对节点阻抗矩阵的非对角线元素只用互阻抗这一术语。
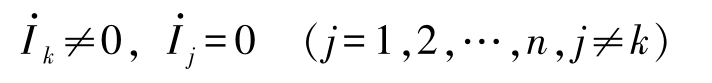
现在讨论自阻抗和互阻抗的物理意义。如果令
代入式(3-20),可得
或
式(3-21)说明,当在节点 k 单独注入电流,而所有其他节点的注入电流都等于零时,在节点 k 产生的电压与注入电流之比,即等于节点 k 的自阻抗 Z kk ;在节点 i 产生的电压与节点 k 的注入电流之比,即等于节点 k 和节点 i 之间的互阻抗 Z kk 。若注入节点 k 的电流正好是1单位,则节点 k 的电压在数值上即等于自阻抗 Z kk ;节点 i 的电压在数值上即等于互阻抗 Z kk 。
因此, Z kk 可以当作是从节点 k 向整个网络看进去的对地总阻抗,或者是把节点 k 作为一端,参考节点(即地)为另一端,从这两个端点看进去的无源两端网络的等效阻抗。依次在各个节点单独注入电流,计算出网络中的电压分布,从而可求得阻抗矩阵的全部元素。由此可见,节点阻抗矩阵元素的计算是相当复杂的,不可能从网络的接线图和支路参数直观地求出。
还需指出,我们所考虑的电力网络一般是连通的,网络的各部分之间存在着电的或磁的联系。单独在节点 k 注入电流,总会在任一节点 i 出现电压,因此,阻抗矩阵没有零元素,是一个满矩阵。
目前常用的求取阻抗矩阵的方法主要有两种:一种是以上述物理概念为基础的支路追加法;另一种是从节点导纳矩阵求取逆阵。
支路追加法是根据系统的接线图,从某一个与地相连的支路开始,逐步增加支路,扩大阻抗矩阵的阶次,最后形成整个系统的节点阻抗矩阵。现以图3-9a所示的网络为例,按每次增加一条支路,图3-9b~h表示了一种可能的支路追加顺序,即按照如下顺序依次求出相应的节点阻抗矩阵:形成一阶阻抗矩阵(见图3-9b),阻抗矩阵增为二阶的(见图3-9c),修改二阶矩阵(见图3-9d),阻抗矩阵扩大为三阶的(见图3-9e),阻抗矩阵扩大到四阶(见图3-9f),修改四阶矩阵(见图3-9g),再一次修改四阶矩阵(见图3-9h)。这样便得到了整个网络的节点阻抗矩阵。在支路追加过程中,阻抗矩阵元素的计算和修正始终是以自阻抗和互阻抗的定义作为依据的。
图3-9 支路追加法
在实际计算中,第一条支路必须是接地支路,以后每次追加的支路必须至少有一个端点与已出现的节点相接。只要遵循这样的条件,支路追加的顺序可以是任意的。但是每一条支路的追加必属于下述两种情况之一:一种是新增支路引出一个新节点,这种情况称为追加树支;另一种是在已有的两个节点间增加新支路,这种情况称为追加连支。追加树支时节点数增加一个,阻抗矩阵便相应地扩大一阶,如图3-9c、e和f所示的情况。追加连支时网络的节点数不变,阻抗矩阵阶次不变,图3-9d、g和h所示即属于此种情况。
假定用支路追加法已经形成有 p 个节点的部分网络,以及相应的 p 阶节点阻抗矩阵。下面分别按不同的情况,推导支路追加过程中阻抗矩阵元素的计算公式。
1.追加树支
从已有的节点 i 接上一条阻抗为 z iq 的支路,引出新节点 q (见图3-10)。这时网络的节点阻抗矩阵将扩大一阶,由原来的 p 阶变为 p +1= q 阶。设新的阻抗矩阵为
现在讨论阻抗矩阵中各元素的计算。在网络原有部分的任一节点
m
单独注入电流
,而其余节点的电流均等于零时,由于支路
z
iq
并无电流通过,故该支路的接入不会改变网络原有部分的电流和电压分布状况。这就是说,阻抗矩阵中对应于网络原有部分的全部元素(即矩阵中虚线左上方部分)将保持原有数值不变。
图3-10 追加树支
矩阵中新增加的第
q
行和第
q
列元素可以这样求得。网络中任一节点
m
单独注入电流
时,因支路
z
iq
中没有电流,节点
q
和节点
i
的电压应相等,即
或
,故有
另一方面,当节点 q 单独注入电流时,从网络原有部分看来,都与从节点 i 注入一样,所以有
Z mq = Z ni ( m =1,2,…, p )
这时节点 q 的电压为
由此可得
综上所述,当增加一条树支时,阻抗矩阵的原有部分保持不变,新增的一行(列)各非对角线元素分别与引出该树支的原有节点的对应行(列)各元素相同。而新增的对角线元素则等于该树支的阻抗与引出该树支的原有节点的自阻抗之和。
如果节点
i
是参考点(接地点),则称新增支路为接地树支。由于恒有
=0,根据自阻抗和互阻抗的定义,不难得到
2.追加连支
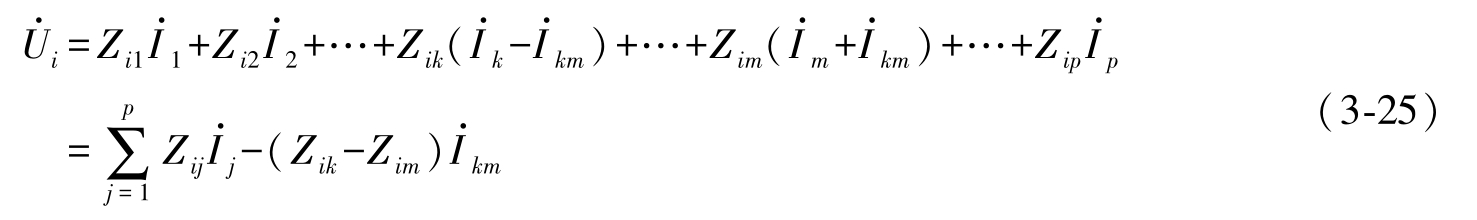
在已有的节点 k 和节点 m 之间追加一条阻抗为 z km 的连支(见图3-11)。由于不增加新节点,故阻抗矩阵的阶次不变。如果原有各节点的注入电流保持不变,连支 z km 的接入将改变网络中的电压分布状况。因此,对原有矩阵的各元素都要作相应的修改。为了推导矩阵元素的修改公式,我们从计算接入连支后的网络电压分布入手。
图3-11 追加连支
如果保持各节点注入电流不变,连支
z
km
的接入对网络原有部分的影响就在于,把节点
k
和节点
m
的注入电流分别从
和
改变为
和
。这时网络中任一节点
i
的电压可以利用原有的阻抗矩阵元素写为
现在要设法用节点注入电流来表示
,从而消去上式中的
,便可求得新的阻抗矩阵元素的计算公式。式(3-25)对任何节点都成立,将它用于节点
k
和节点
m
,便得
而阻抗为 z km 的连支电压方程为
将
和
的表达式代入上式,便可解出
将
的表达式代入式(3-25),经过整理便得
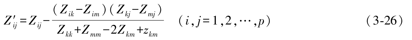
于是有
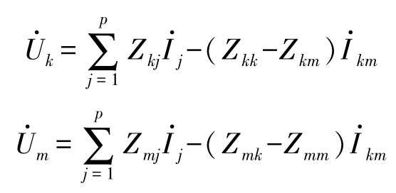
这就是追加连支后阻抗矩阵元素的计算公式,其中 z ij ( i , j =1,2,…, p )为连支接入前的原有值。
如果连支所接的节点中,有一个是零电位点,例如 m 为接地点,则称这连支为接地连支,设其阻抗为 z k 0 ,上述计算公式将变为
这里顺便讨论一种情况。如果在节点 k 、 m 之间接入阻抗为零的连支,这就相当于把节点 k 、 m 合并为一个节点。根据式(3-26),第 k 列和第 m 列的元素将分别为
可以证明,
,同样地,也有
。
上述关系说明,如将 k 、 m 两节点短接,经过修改后,第 k 行(列)和第 m 行(列)的对应元素完全相同。只要将原来这两个节点的注入电流合并到其中的一个节点,另一个节点即可取消并删去阻抗矩阵中对应的行和列,使矩阵降低一阶。
3.追加变压器支路
电力网络中包含许多变压器。在追加变压器支路时,也可以区分为追加树支和追加连支两种情况。变压器一般用一个等效阻抗同一个理想变压器相串联的支路来表示。
假定在已有 p 个节点的网络中的节点 k 接一变压器树支,并引出新节点 q (见图3-12a)。这时阻抗矩阵将扩大一阶。因为新接支路没有电流,它的接入不会改变网络原有部分的电压分布状况,因此,阻抗矩阵原有部分的元素将保持不变。
图3-12 追加变压器树支a)和连支b)
新增一行(列)的元素可以这样求得。当网络中任一节点
i
单独注入电流
,而所有其他节点的注入电流都为零时,都有
,或
,因而
另一方面,当节点
q
单独注入电流
时,从网络原有部分看来,相当于从节点
k
注入电流
,故有
这时,节点 q 的电压将为
由此可得
在网络的已有节点 k 、 m 之间追加变压器连支时,阻抗矩阵的阶次不变,但要修改它的全部元素。矩阵元素计算公式的推导可以分两步进行(见图3-12b)。第一步是从节点 k 追加变压器树支,引出新节点 q ,将阻抗矩阵扩大一阶,并按照式(3-28)~式(3-30)计算新增加第 q 行和第 q 列的元素。第二步在节点 q 和节点 m 之间追加阻抗为零的连支,应用式(3-26)修改第一步所得矩阵中除第 q 行和第 q 列以外的全部元素,并将第 q 行和第 q 列舍去。按照上述步骤可以推导出追加变压器连支后阻抗矩阵的元素计算公式为
节点导纳矩阵同节点阻抗矩阵互为逆矩阵。导纳矩阵很容易形成,因此,在电力系统计算中常采用对导纳矩阵求逆的方法来得到阻抗矩阵。矩阵求逆有各种不同的算法,这里只介绍解线性方程组的求逆法。
记单位矩阵为1,将 YZ =1展开为
将阻抗矩阵和单位矩阵都按列进行分块,并记
是由阻抗矩阵的第 j 列元素组成的列向量, e j 是第 j 个元素为1,其余所有元素为零的单位列向量。这样,就可将方程组(3-32)分解为 n 组方程组,其形式为
方程组(3-33)具有明确的物理意义:若把 e j 当作节点注入电流的列向量, Z j 就是节点电压的列向量,当只有节点 j 注入单位电流,其余节点的电流都等于零时,网络各节点的电压在数值上就与阻抗矩阵的第 j 列的对应元素相等。
对节点导纳矩阵进行LDU分解,可将方程组(3-33)写成
LDU Z j = e j
这个方程可以分解为三个方程组:
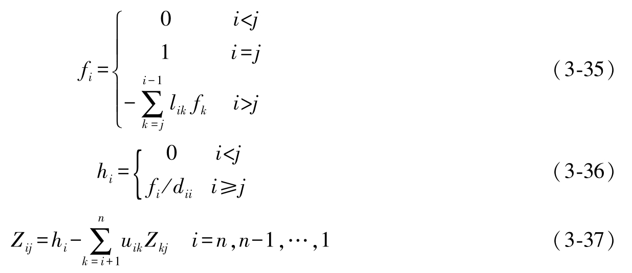
与附录B中的方程组(B-27)对比,单位列向量 e j 相当于常数向量 B ,阻抗矩阵的第 j 列 Z j 相当于待求向量 X 。利用附录B中的式(B-22)、式(B-29)和式(B-14),计及 e j 的特点,可得节点阻抗矩阵第 j 列元素的计算公式为
必须注意,由于节点导纳矩阵的元素是复数,三角分解所得的因子矩阵的元素也是复数,因此在应用上述公式时,都要作复数运算。又因为导纳矩阵是对称矩阵,它的因子矩阵 L 和 U 互为转置矩阵,故只需保留其中的一个。只保留 L 矩阵时,式(3-37)中的 u ik 应换成 l ki ;只保留 U 矩阵时,式(3-35)中的 l ki 应换成 u ki 。
应用式(3-35)~式(3-37),对列标 j 依次取 n , n -1,…,1,就可以求得阻抗矩阵的全部元素。在实际计算中也可以根据需要只计算某一列或几列的元素。这种求取节点阻抗矩阵元素的方法,灵活方便,演算迅速,很有实用价值。