



有一质量为 m 的物体,沿 x 轴做一维运动,力 F 作用在物体上,如图4-1所示。
图4-1 作用于质量为 m 的物体上的力
x ( t )是物体在 t 时刻的位置, v =d x /d t 是速度, a =d 2 x /d t 2 是加速度,由牛顿定律有
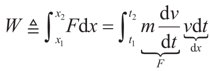
由功的定义有,作用于物体上的力使物体从 x 1 运动到 x 2 时,作用于物体上的功 W 为
在上式中,假设力是位置 x 的函数。
然后改变积分中的变量,使其成为时间
t
的函数。设
t
1
时,物体在
x
1
位置,则
x
1
≜
x
(
t
1
)。相应地,
t
1
时刻的速度为
。同样,
t
2
时,物体在
x
2
位置,有
x
2
≜
x
(
t
2
),
。
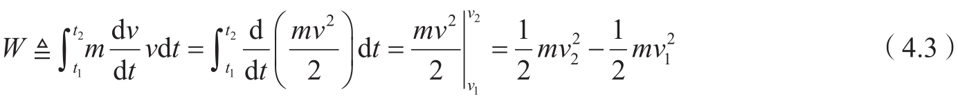
改写功的计算式如下
则
为物体的动能,我们已经证明了对
m
做的功就是其动能的变化,则