



对于动态模型来说,通常情况下,描述控制输入和权值之间关系的动态模型参数可以采用最小二乘法或者子空间辨识方法获得。具体建模算法将在第3章进行详细说明,在这里假设离散动态模型为
(2.12)
式中,
;
G
和
H
分别为系数矩阵和输入矩阵。同时,考虑到PDF满足在整个区间积分为1的自然约束,即
(2.13)
此时,式(2.11)可表示为
(2.14)
式中:
进一步地,随机分布系统模型可表述为
(2.15)
由式(2.15)所示的动态模型可以看出,在 n 个权值中只有 n −1个权值独立,故模型阶次为 n −1,同时,模型中的各种关系均为线性,方便控制器的设计。因此,上述模型是目前最为成熟的线性B样条模型 [ 5-7] 之一。
由于式(2.15)所示的线性B样条模型结构简单,在进行控制器设计时可以采用线性系统的设计方法。然而,在权值的训练过程中,时常会得到一些不能满足PDF非负性约束的权值向量,因此,为了满足输出PDF非负性的约束条件,提出如下平方根B样条模型 [ 8-10] :
(2.16)
式中,各个参数的含义与式(2.15)的相同。可以看出,与式(2.15)所示的线性B样条模型不同的是,该模型逼近的不是输出PDF本身,而是输出PDF的平方根,因此,动态部分仍保持式(2.15)所示的 n −1阶模型结构不变,输出变成非线性形式,同时,通过逼近输出PDF的平方根,输出PDF恒能保证非负。
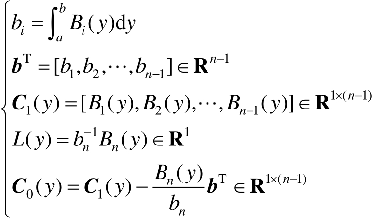
此外,利用式(2.13)所示的输出PDF满足的自然约束条件,对式(2.16)所示第二式在区间[ a , b ]上积分得到的第 n 个权值为
(2.17)
式中,
;
;
。由式(2.17)不难看出,在线性B样条模型中,式(2.15)权值之间的线性关系在此转变为式(2.16)中第二式所示的非线性关系。
由于需要输出PDF满足在整个积分区间的值为1的自然约束条件,式(2.15)和式(2.16)所示的两种动态随机分布模型仅考虑到前 n −1个权值的动态控制。而实际过程中,通常期望权值之间相互独立。因此,在随机分布系统建模过程中,就需要提前考虑输出PDF的自然约束条件,为了使模型满足式(2.13)所示的自然约束条件,提出了有理B样条模型。
在式(2.15)和式(2.16)所示的线性B样条模型和平方根B样条模型中,由于需要考虑式(2.13)所示的输出PDF的自然约束,即权值之间存在约束。采用 n 个基函数神经网络对输出PDF进行逼近,实际上只有 n −1个权值之间相互独立,这将增加模型结构的复杂性,从而使控制器设计难度进一步增加。因此,提出如下有理B样条模型 [ 11,12] :
(2.18)
式中,各个参数的含义与式(2.15)的相同。显然,式(2.18)所示模型中的输出PDF的逼近表达式满足PDF在其定义域上积分为1的条件。
可以看出,式(2.18)所示模型和式(2.15)所示模型在本质上一致,即二者均逼近输出PDF本身,故也具有简单、直观等特点,只是对于同样的基函数来说,权值彼此之间相互独立。从这个意义上看,基于该模型的控制器设计的约束将大大减少。然而,式(2.18)所示模型同式(2.15)所示模型一样,通常存在由于权值可能为负使输出PDF为负的情况,也就是说,这两种模型的鲁棒性较差。总的来说,式(2.15)和式(2.18)所示模型虽然简单直观,但是鲁棒性较差。式(2.16)所示的平方根B样条模型有较好的鲁棒性,但是由于非线性约束的存在,控制器设计较为复杂。
由于式(2.15)和式(2.18)所示的线性B样条模型和有理B样条模型的权值都需要满足输出PDF非负的约束及式(2.17)所示模型中的非线性约束,上述三种模型中不是所有的权值都相互独立,也都无法直接用所有的权值来建立模型和构造相应的控制算法。为此,在式(2.18)所示模型的基础上,提出如下一种有理平方根B样条模型 [ 13,14] :
(2.19)
式中:
可以看出,式(2.19)中的权值的意义与式(2.18)模型中的权值的意义相同,在这两种情形中,当逼近输出PDF或输出PDF的平方根时,它们只是一个中间变量,并且权值不唯一,这不同于式(2.15)和式(2.16)所示的模型中的权值。对于式(2.18)和式(2.19)所示的模型来说,它们真正的权值分别为
和
。式(2.19)所示的模型综合了平方根B样条模型和有理B样条模型的优点,可以看出,其权值的可行域几乎是整个区域。由于权值之间相互独立,这实际上表明了对于任何一个逼近,不存在所有权值均为零的情形,换句话说,该模型在实际过程中没有任何约束。
上述四种模型奠定了SDC理论研究的基础,可以看出,线性B样条模型的权值之间的关系最简单,为线性关系;若将其降阶便可得到有理B样条模型;若将逼近看作输出PDF的平方根,则可得到平方根B样条模型,这种方式的逼近提升了模型的鲁棒性。有理平方根B样条模型不仅阶次相对降低,保持了平方根B样条模型的鲁棒性,并且权值之间不存在任何约束。四种模型之间的关系详见文献[15]。对于随机分布控制系统来说,可以根据不同情境选择合适的模型结构,进一步开展相应的控制方法的研究。