



半导体激光器芯片的内部参数,如线宽增强因子、载流子寿命、光子寿命等对半导体激光器的动态特性影响很大,不同的激光器产生混沌所需要的外部条件也不相同。一般情况下,模拟速率方程中均采用激光器的典型内部参数 [18-20] ,模拟结果也仅代表了典型结果,不能为混合集成混沌半导体激光器的制作提供准确的制作参数。因此,应该首先提取出半导体激光器芯片内部参数的真实值,再理论模拟混合集成混沌半导体激光器的动态特性,指导混合集成混沌半导体激光器的实际制作。
图2-8所示为基于光反馈的短腔混合集成混沌半导体激光器示意图,半导体激光器芯片采用DFB激光器芯片,透反镜对光部分透射、部分反射。半导体激光器芯片发射的部分激光经过透反镜的反射作用回到芯片内部,对其进行扰动以产生混沌激光,另一部分激光经过透反镜的透射作用耦合进入光纤中,产生的混沌激光最终由尾纤输出。
图2-8 基于光反馈的短腔混合集成混沌半导体激光器示意图
在制作前,需要通过理论模拟确定透反镜的强度反射率以及外反馈腔长的最佳值,才能确保所制作的混合集成混沌半导体激光器可以输出稳定的混沌激光。
结合半导体激光器的速率方程,可以推导出所设计的基于外光反馈短腔混合集成混沌半导体激光器的速率方程,即著名的L-K方程 [21-22] 。方程反映了半导体激光器的光子密度 S ( t )、激光器有源腔内载流子密度 N ( t )和相位 φ ( t )随时间的动态变化:
式(2-4)表示反馈强度,其中 R 2 =0.3表示混沌半导体激光器芯片出光面的强度反射率, R 3 表示透反镜所镀膜的强度反射率,是可变参量。式(2-1)和式(2-3)中的 τ in =7.1×10 -12 s,表示光在混沌半导体激光器芯片有源区的往返时间;式(2-1)和式(2-3)中的 θ ( t )= ωτ t + φ ( t )- φ ( t - τ t )表示反馈光相位,其中 ω 是静态激光器角频率, φ ( t )表示电场相位, τ t =(2 n ext L )/ c 是外腔反馈延迟时间, c =3.0×10 8 m/s表示光在真空中的速度, L 表示外反馈腔长, n ext 表示外腔折射率。式(2-2)中 V act =4.8×10 -18 m 3 为混沌半导体激光器芯片的有源区体积, q =1.602×10 -19 C表示电子电荷, I ( t )为偏置电流。
从上述式子可以看出,混合集成混沌半导体激光器的速率方程中包含许多半导体激光器的内部参数,见表2-1,需要将其提取出来。
表2-1混沌半导体激光器芯片的内部参数
值得注意的是,半导体激光器芯片的内部参数与弛豫振荡频率、阻尼系数和阈值电流有很大的关系,半导体激光器芯片的内部参数满足以下公式推导 [23-26] 。
当偏置电流等于阈值电流时,由速率方程式(2-1)和式(2-2)表示半导体激光器处于稳态,d N ( t )/d t 和d S ( t )/d t 都等于零,并且电场幅度 E ( t )也近似为零,则式(2-2)可以近似等于
当偏置电流等于阈值电流时,自发辐射很小可以忽略
又因为在阈值电流时, ε S ( t )非常小可以忽略,式(2-7)可以化简得
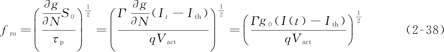
从上述关系式可以看出,半导体激光器的内部参数是相互关联的,由已知的几个参数就可以通过线性关系式计算出其他的内部参数值。而半导体激光器的内部参数又满足下式:
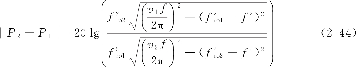
式中 f r 、 v o 、 f c 分别表示半导体激光器在阈值电流下的弛豫振荡频率、阻尼系数和啁啾频率。根据上述关系式,可以通过实验测得芯片稳态下的 P-I 特性曲线和频率响应曲线,间接通过线性方程解出半导体激光器芯片的内部参数值。
由于半导体激光器在偏置电流等于阈值电流时满足式(2-6)和式(2-8),则可以推出以下关系式:
将稳态时光子方程(2-1)代入载流子方程(2-2)中,化简、移项可得
将载流子方程(2-2)移项可以得到和载流子密度相关的方程式
将式(2-15)取代式(2-14),并和式(2-13)联立可以得到
半导体激光器的漏电流 I s 满足
将式(2-17)代入式(2-16),化简可以得到
由于半导体激光器在阈值电流时, β sp 和( β sp ε )/( g 0 τ c )远远小于1,因此式(2-18)可以化简为
式中, F =(2 q λ )/ ηhc ,其中: q 为电子电荷; λ 为半导体激光器工作波长,在本章中为1550 nm; η 为半导体激光器的微分量子效率; h 为普朗克常量, h =6.626×10 -34 J·s; c 为光在真空中传播时的速度, c =3.0×10 8 m/s。
由式(2-19)可以得到,半导体激光器的输出功率 P 可表示为
式(2-20)即半导体激光器稳态时的 P-I 曲线满足的线性方程。从 P-I 曲线中,可以得到半导体激光器的阈值电流、微分量子效率和漏电流,而阈值电流和漏电流又分别满足式(2-13)和式(2-17)。
图2-9为半导体激光器测量 P-I 特性曲线的实验装置图,a部分为自由移动平台,用来固定并移动芯片;b部分为芯片的图像,通过探针加载偏置电流。图2-9的右半部分分别为低噪声直流源和光功率计,分别用来给芯片提供直流电流和记录芯片的输出功率。
图2-9 测量 P-I 特性曲线的实验装置
通过改变偏置电流,我们测试了两个芯片的 P-I 特性曲线,实验测试结果如图2-10所示。
从图2-10中可以得出该半导体激光器芯片1的阈值电流为11.3 mA,芯片2的阈值电流为11.4 mA,对比图2-10(a)和(b),可以看出半导体激光器芯片2在偏置电流大于阈值电流后, P-I 曲线的斜率比半导体激光器芯片1的更大,这代表半导体激光器芯片2的外微分增益效率比半导体激光器芯片1的大。
图2-10 两个半导体激光器芯片
P-I
特性曲线实验测试结果
(a)半导体激光器芯片1;(b)半导体激光器芯片2
将实验测试数据按照式(2-20)用最小二乘法拟合,拟合结果如图2-11所示。
图2-11 两个半导体激光器芯片
P-I
特性曲线的拟合结果
(a)半导体激光器芯片1;(b)半导体激光器芯片2
图2-11(a)是半导体激光器芯片1的拟合结果,图2-11(b)是半导体激光器芯片2的拟合结果。图中蓝色曲线是实验测试曲线,红色曲线为拟合曲线,拟合曲线和实验曲线吻合得较好,拟合得到的参数见表2-2。
表2-2半导体激光器芯片的 P-I 特性曲线拟合结果
强度调制响应是反映半导体激光器在光波通信系统中调制速度快慢最重要的特性之一,小信号调制频率响应的原理是在半导体激光器的偏置电流大于阈值电流时,同时给半导体激光器加直流偏置电流和连续正弦波调制电流信号,半导体激光器的输出功率信号将随着连续正弦波调制电流信号的频率和功率的变化而变化,当半导体激光器直流偏置电流改变时,半导体激光器的输出功率会有不同的频率响应特性。图2-12是半导体激光器小信号电流调制原理图。常用的测试半导体激光器频率响应曲线的仪器为微波矢量网络分析仪和光波元件分析仪,这里采用的是微波矢量网络分析仪,以下统称为矢量网络分析仪。
图2-12 半导体激光器小信号电流调制原理图
由速率方程(2-1)和方程(2-2)得到,偏置电流很小时,稳态解可表示为式(2-7)和式(2-21)。当给半导体激光器加入小信号调制,半导体激光器工作在大于阈值电流时,激光器的自发辐射信号可以被忽略,此时半导体激光器的光子密度可以由式(2-22)表示,具体如下:
设半导体激光器的偏置电流为 I 0 ( I 0 > I th ),半导体激光器的光子密度为 S 0 ,载流子密度为 N 0 。Δ I ( t )表示小信号调制电流,则半导体激光器的总注入电流由式(2-23)表示,总的光子密度由式(2-24)表示,总的载流子密度由式(2-25)表示,具体如下:
根据线性速率方程,半导体激光器光增益的泰勒级数展开可以表示如下:
则将式(2-23)~式(2-26)代入式(2-1)和式(2-2)中,化简、移项可以得到如下关系式:
另有
则由式(2-27)、式(2-29)和式(2-30)联立可得式(2-31),由式(2-28)和式(2-29)联立可得式(2-32),具体如下:
半导体激光器的偏置电流、光子密度和载流子密度都是由幅度(实部)和频率(虚部)共同组成的,则它们分别表示为式(2-33)、式(2-34)和式(2-35),式中 Ω 表示角频率:
和式(2-31)、式(2-32)联立可以得到下式:
又因为
式(2-38)中 f ro 表示半导体激光器的弛豫振荡频率,式(2-39)中 v 表示半导体激光器的阻尼系数。将上式联立可以得到半导体激光器的输出和输入电流的关系式
化简虚部j,则半导体激光器在小信号调制下的传递函数为式(2-42),其中 P 1 为小信号输出与输入比值,是因变量:
因为 Ω =2π f ,其中 f 表示正弦调制信号的调制频率,是自变量,则当功率为对数域时,半导体激光器的输出功率和输入信号的关系式可以表示为
用矢量网络分析仪测试半导体激光器芯片的频率响应曲线是一种比较传统的方法,但由于芯片和仪器之间的连接需要用到芯片夹具,会引入寄生参数,使测试结果存在误差,因此在使用矢量网络分析仪之前要先校准。
图2-13为半导体激光器芯片的频率响应实验测试装置。图中的光纤和掺铒光纤放大器在测光纤中混沌半导体激光器芯片的频率响应曲线时会用到,实验过程中矢量网络分析仪提供的交流信号功率为-20 dBm,具体实验操作如下。
低噪声驱动直流电流源(ILX Lightwave,LDX3412)和矢量网络分析仪(ROHDE&SCHW ARZ,ZVA24,带宽10 MHz~24 GHz)分别给半导体激光器芯片提供直流电流和交流信号。直流电流和交流信号通过矢量网络分析仪同时给半导体激光器芯片提供驱动电流。电流源和矢量网络分析仪通过高频探头(Cascade Microtech,ACP40-GS-200,频率覆盖范围为从直流到40 GHz)与半导体激光器芯片相连。当给半导体激光器芯片提供直流和交流驱动时,芯片发出连续光信号,光信号由光电探测器(Finisar,XPDV2120RA,50 GHz带宽)转换成电信号,电信号由矢量网络分析仪测得,测得的结果即半导体激光器的频率响应曲线。分别测试了半导体激光器芯片1和半导体激光器芯片2的频率响应曲线,如图2-14所示。
图2-13 测量频率响应的实验装置图
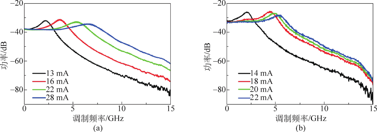
图2-14 半导体激光器芯片不同偏置电流下的频率响应曲线
(a)半导体激光器芯片1;(b)半导体激光器芯片2
图2-14(a)是偏置电流分别为13 mA、16 mA、22 mA、28 mA时半导体激光器芯片1的频率响应曲线,曲线上的峰值是由于调制频率值接近半导体激光器芯片的弛豫振荡频率造成的。从图中可以看到,随着偏置电流的增大,芯片1的弛豫振荡频率也在增大。图2-14(b)是偏置电流分别为14 mA、18 mA、20 mA、22 mA时半导体激光器芯片2的频率响应曲线。对比芯片1和芯片2的频率响应曲线,3 dB带宽较窄(3 dB带宽是指激光器的频率响应度相对于激光器低频响应度变化达到3 dB的频率点),半导体激光器芯片1的高频率响应曲线更平坦、更光滑,意味着半导体激光器芯片1的高频响应性能更好。
为消除实验中电子元器件造成的频率响应不平坦问题,在提取参数的过程中我们采用了扣除法。扣除法就是用半导体激光器芯片较大偏置电流下的频率响应曲线,减去较小偏置电流下的频率响应曲线,相减的过程中可以消除系统中不随偏置电流的改变而改变的系统误差。在之前的推导中已经得出,频率响应的传递函数满足式(2-43),进一步可以推导出相减后的传递函数为
相减后的频率响应曲线拟合结果如图2-15所示,其中蓝色曲线表示测试结果,红色曲线为拟合结果。图2-15(a)描述的是半导体激光器芯片1使用扣除法后的拟合结果,图中的三条曲线分别为偏置电流在16 mA、22 mA、28 mA减去偏置电流13 mA时的频率响应曲线;图2-15(b)描述的是半导体激光器芯片2使用扣除法后的拟合结果,图中的三条曲线分别为偏置电流在18 mA、20 mA、22 mA减去偏置电流14 mA时的频率响应曲线。从图中可以看出使用扣除法后,消除了系统误差,曲线的测试结果和拟合结果吻合较好,这可以保证所提取的芯片的内部参数是准确的。
图2-15 半导体激光器芯片频率响应曲线的拟合结果
(a)半导体激光器芯片1较大偏置电流下频率响应曲线减去13 mA的频率响应曲线的拟合结果;(b)半导体激光器芯片2较大偏置电流下频率响应曲线减去14 mA的频率响应曲线的拟合结果
值得注意的是,根据式(2-44)拟合得到的半导体激光器芯片的弛豫振荡频率 f ro 是近似值,弛豫振荡频率的准确值 f r 满足下式:
通过拟合,得到半导体激光器芯片1的参数见表2-3,半导体激光器芯片2的参数见表2-4。
表2-3半导体激光器芯片1频率响应曲线拟合结果
表2-4半导体激光器芯片2频率响应曲线拟合结果
半导体激光器芯片弛豫振荡频率的平方
和阻尼系数
v
是线性关系,通过记录半导体激光器芯片不同偏置电流下的弛豫振荡频率
f
r
和对应的阻尼系数
v
,可以得到一条曲线,对曲线进行线性拟合可以得到斜率
K
,这个
K
值就是
K
因子
[24]
,从式(2-11)可以看出
K
和半导体激光器芯片的内部参数光子寿命有关,根据上述实验结果,拟合
K
结果如图2-16所示。图中两个半导体激光器芯片的实验结果基本为一条直线,与拟合直线基本吻合,半导体激光器芯片1的
K
=0.3 ns,半导体激光器芯片2的
K
=0.5 ns。
图2-16 半导体激光器阻尼系数和弛豫振荡平方关系图
(a)半导体激光器芯片1的
K
因子等于0.3 ns的拟合结果;(b)半导体激光器芯片2的
K
因子等于0.5 ns的拟合结果
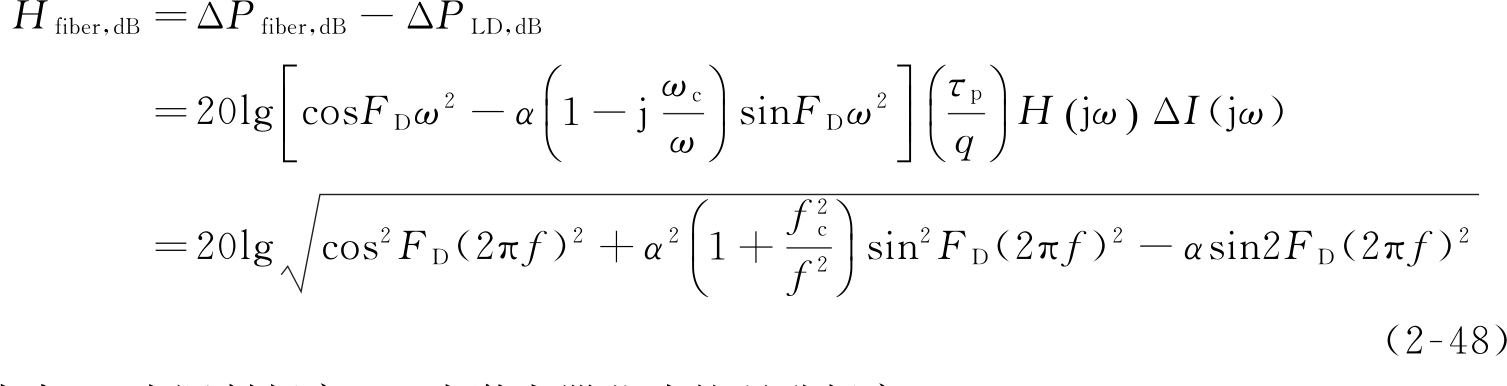
由DFB激光器产生的光波信号并不是严格单色的,这个输出信号的频谱存在一个中心频率,并且具有一定的线宽。当用注入电流调制半导体激光器时,其输出光波信号的中心频率随输出功率的变化而变化,称为频率啁啾。由于频率啁啾特性的存在,当DFB激光器被调制时,光波的线宽变得更宽。当通过色散光纤传输啁啾信号时,光波携带的信号会失真,使得通过光纤的输出功率受到影响,并且芯片的啁啾频率和激光器的内部参数存在线性关系,因此需要通过小信号强度调制响应情况研究光纤系统中的半导体激光器特性。
输入光纤的直接强度调制信号特性为
式中的 H (j ω )等于式(2-41)中的传递函数,则输出的光纤调制响应为
则由式(2-46)和式(2-47)可知,光纤中调制响应的传递函数为
式中, f 为调制频率, f c 为激光器芯片的啁啾频率,
式中, D 为光纤色散系数, L fibre 为光纤长度,本文所用光纤色散系数为17 ps/km, L fibre 为50 km,通过拟合可以得到该芯片的线宽增强因子 α 和啁啾频率 f c 。
图2-17为光纤中混沌半导体激光器芯片的频率响应的测试和拟合结果图。图中蓝色曲线为测试结果,红色曲线为拟合结果,图2-17(a)表示混沌半导体激光器芯片1的拟合结果,图2-17(b)表示混沌半导体激光器芯片2的拟合结果。为了消除实验系统中的系统误差,这里同样采用了扣除法,根据实验的结果,用混沌半导体激光器芯片1在光纤中偏置电流为16 mA时的响应减去同一偏置电流下芯片的频率响应,最终得到的曲线满足式(2-45),通过拟合结果可以得到芯片1在16 mA下的啁啾频率和线宽增强因子。同样,用混沌半导体激光器芯片2在光纤中偏置电流为17 mA时的响应减去同一偏置电流下芯片的频率响应,最终得到的曲线满足式(2-47),通过拟合结果可以得到芯片2在17 mA下的啁啾频率和线宽增强因子。
图2-17 光纤中混沌半导体激光器芯片的频率响应曲线拟合结果
(a)混沌半导体激光器芯片1;(b)混沌半导体激光器芯片2
通过测试半导体激光器芯片的 P-I 曲线和频率响应曲线,得到两个芯片的直接参数,见表2-5。已提取的参数根据下式计算:
表2-5半导体激光器芯片的拟合结果
续表
得到的半导体激光器芯片的内部参数见表2-6。
表2-6提取半导体激光器芯片内部参数结果
为了验证所提取参数的准确性,将提取的参数代入速率方程中,模拟半导体激光器芯片1和半导体激光器芯片2分别在偏置电流13 mA和14 mA时的频率响应曲线,并和同一偏置电流下的实验结果对比,对比结果如图2-18所示,图中红色曲线为模拟曲线,蓝色曲线为实验测得曲线。
图2-18 半导体激光器芯片13 mA时模拟频率响应曲线(红色曲线)和同一电流下实验数据(蓝色曲线)对比图
(a)芯片1的实验结果;(b)芯片2的实验结果
从图2-18中可以看到,实验结果与仿真结果吻合得较好。接下来将提取的内部参数代入仿真的速率方程中,对所设计混合集成混沌半导体激光器结构进行动态特性研究。
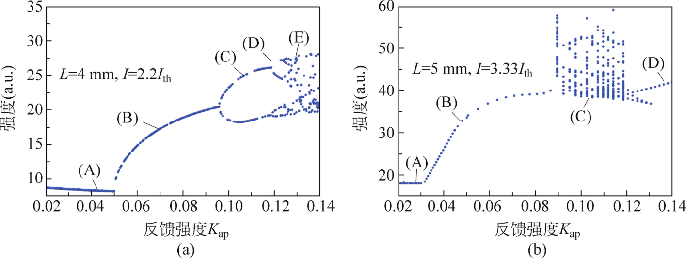
通过研究反馈强度从小到大变化时系统的振荡演变情况,可以得到系统进入混沌的路径,即观察系统的分岔图 [27] ,本节中分岔图是从电场强度的输出中抽取的极大值样本。图2-19(a)是混沌半导体激光器芯片1的分岔图,从图中可以看出随着反馈强度的增加,芯片1经历了稳态(A)、单倍周期振荡(B)、二倍周期振荡(C)、四倍周期振荡(D)、最终进入混沌态(E),从图中可以看出芯片1的混沌路径为倍周期路径;图2-19(b)是混沌半导体激光器芯片2的分岔图,从图中可以看出随着反馈强度的增加,芯片2经历了稳态(A)、单倍周期振荡(B)、混沌态(C)、倍周期振荡(D),从图中可以看出芯片2进入混沌的路径与混沌半导体激光器芯片1的混沌路径不同,不存在二倍周期和四倍周期振荡过程。
图2-19 混沌半导体激光器芯片的分岔图
(a)混沌半导体激光器芯片1的分岔图,其中(A)稳态,(B)单倍周期振荡,(C)二倍周期振荡,(D)四倍周期振荡,(E)混沌态;(b)混沌半导体激光器芯片2的分岔图,其中(A)稳态,(B)单倍周期振荡,(C)混沌态,(D)倍周期振荡
图2-20描述的是混沌半导体激光器芯片1的时域和频域特性曲线,从图中可以看出芯片1的混沌路径为倍周期路径。
图2-20(a)表示反馈强度为0.015时,系统处于稳态。图2-20(a-Ⅰ)是稳态的时序图,从图中可以看到此时激光器的输出为不变的恒定值,此时激光器为阻尼振荡;图2-20(a-Ⅱ)是稳态的光谱图,可以看到光谱只有一个峰值;图2-20(a-Ⅲ)是稳态的频谱图,可以看到此时的频谱能量很低,只在弛豫振荡频率处有一点抬升。
图2-20 混沌半导体激光器芯片1的时序(Ⅰ)、光谱(Ⅱ)和频谱(Ⅲ)特性曲线
(a)稳态,
K
ap
=0.015;(b)单倍周期,
K
ap
=0.07;(c)二倍周期,
K
ap
=0.11;(d)混沌态,
K
ap
=0.16以上的所有状态都是在偏置电流为2.2倍阈值电流,外反馈腔长为4 mm时系统的动态特性
图2-20(b)表示反馈强度为0.07时,由于反馈扰动增强,激光器某些阻尼振荡变为非阻尼振荡。新振荡的增加使系统由稳态变为单倍周期振荡的状态。图2-20(b-Ⅰ)是单倍周期的时序图,此时激光器的输出状态为周期等于1/ f po 的振荡波形,并且此时激光器的输出只有一个极大值;而此时图2-20(b-Ⅲ)频谱上的四个峰值频率分别对应激光器的弛豫振荡频率及其高次谐波,高次谐波频率分别为2 f po 、3 f po 和4 f po 。
图2-20(c)表示反馈强度等于0.11时,系统进一步分岔,由单倍周期振荡进入二倍周期振荡状态。从该状态的时序图2-20(c-Ⅰ)中可以看出,此时激光器的时序输出周期为1/ v e ,具有两个不同的极大值,而这两个极大值的周期间隔时间为1/ f po ;从光谱图2-20(c-Ⅱ)和(c-Ⅲ)中也可以看到,在 f po 和2 f po 之间出现了谐波, f po =2 v e ,这表示此时系统为二倍周期振荡状态 [28-29] 。
而当反馈强度继续增大,增大到0.16时,系统出现混沌态,如图2-20(d)所示。图2-20(d-Ⅰ)是此时混沌的时序图,此时激光器的输出没有规律,且有多个极大值点;而此时的光谱图2-20(d-Ⅱ)和(d-Ⅲ)都呈连续态,证明此时系统已进入混沌状态。从图2-20可以发现,随着反馈强度的增大,混沌半导体激光器芯片1的弛豫振荡频率逐渐减小,这说明,此时频谱上的峰值并不完全等于芯片的弛豫振荡频率,而是在弛豫振荡频率附近 [29] 。
图2-21描述的是混沌半导体激光器芯片2的时域和频域特性曲线,此时的偏置电流为3.33倍阈值电流,外反馈腔长为5 mm。
图2-21(a)表示反馈强度为0.02时,系统处于稳态;图2-21(b)描述的是反馈强度为0.06时芯片2的单倍周期振荡的状态;图2-21(c)表示反馈强度等于0.11时,系统由单倍周期振荡进入混沌态,未经历二倍周期振荡。而当反馈强度继续增大,增大到0.15时,系统由混沌态又一次进入单倍周期振荡状态。与芯片1的路径不同,这主要是由于外腔长的增大以及产生混沌时芯片偏置电流的增大,使得外腔谐振频率和芯片弛豫振荡频率的比值减小造成的混沌路径不同。
最大李雅普诺夫指数是判定系统是否处于混沌态最重要的衡量指标之一 [30] 。最大李雅普诺夫指数描述的是空间距离最近的两个振荡轨迹的离散度。如果两个不同的初始点经过不断地迭算后相互分离,则此时系统的最大李雅普诺夫指数为正数,表明此时系统处于混沌态;如果两个不同的初始点经过不断地迭算后相互会聚,则此时系统的最大李雅普诺夫指数为负数或零附近的数,表明此时系统处于稳态或倍周期振荡状态。
图2-22描述的是混沌半导体激光器芯片1在反馈腔长为4 mm,偏置电流为2.2倍阈值时,系统最大李雅普诺夫指数随反馈强度的变化图。从图中可以看出,当反馈强度小于0.04时,系统的最大李雅普诺夫指数远小于零,此时系统的振荡为阻尼振荡,系统处于稳态;随着反馈强度从0.04增大到0.12,系统的最大李雅普诺夫指数在零附近,此时系统中某些振荡从阻尼振荡变为非阻尼振荡,系统从稳态进入倍周期;当反馈强度从0.12继续增大时,系统中出现了新的非阻尼振荡,此时的最大李雅普诺夫指数远大于零,这表明此时系统出现了混沌态。
图2-21
混
沌半导体激
光
器
芯
片2的
时
序(Ⅰ)、光谱(Ⅱ)和频谱(Ⅲ)特
性
曲线
(a)稳态,
K
ap
=0.02;(b)单倍周期,
K
ap
=0.06;(c)混沌态,
K
ap
=0.11;(d)单倍周期,
K
ap
=0.15以上的所有状态都是在偏置电流为3.33倍阈值电流,外反馈腔长为5 mm时系统的动态特性
图2-22 反馈腔长为4 mm,偏置电流为2.2 I th ,芯片1的最大李雅普诺夫指数随反馈强度的变化曲线
为了通过理论研究得到该芯片产生混沌的具体制作参数,为后期混合集成混沌半导体激光器的制作提供理论指导,我们研究了混沌半导体激光器芯片1在偏置电流为15~41 mA,反馈强度从0增加到0.2时不同的外腔长条件下的动态特性,并通过最大李雅普诺夫指数的动力学特性图对系统的状态进行了表征,如图2-23所示。
图2-23为混沌半导体激光器芯片1的动态特性图,图2-23(a)~(f)分别表示处于不同的外腔长条件下。图中不同的颜色代表系统不同的状态特性,红色和黄色表示最大李雅普诺夫指数的数值大于零,此时系统为混沌态;绿色表示最大李雅普诺夫指数的数值在零附近,此时系统为倍周期振荡状态;蓝色表示最大李雅普诺夫指数的数值远小于零,此时系统处于稳态。
从图2-23(a)、(b)可以看到,当反馈腔长等于2 mm和3 mm时,系统的最大李雅普诺夫指数远小于零,图中用蓝色表示,这代表此时系统的振荡为阻尼振荡,系统中不同的振荡轨迹将会聚在一起,此时系统为稳态。
图2-23(c)描述的是外反馈腔长为4 mm时系统的动态特性。从图中可以看出,当反馈强度小于0.12时,系统的最大李雅普诺夫指数为负数。当反馈强度小于0.04时,系统的最大李雅普诺夫指数远小于零,此时系统为稳态,用蓝色表示。当反馈强度在0.04~0.12时,系统中出现了非阻尼振荡,系统的最大李雅普诺夫指数在零附近,这表明此时系统已由稳态进入倍周期振荡状态,用绿色表示。当反馈强度继续增加,在0.12~0.20时,偏置电流在22~41 mA时,系统的最大李雅普诺夫指数出现了大于零的值,表明此时系统容易产生混沌激光,用红色和黄色表示。并且可以看到,系统在22~25 mA,反馈强度大于0.12时,系统产生混沌区间较大。当偏置电流大于25 mA,反馈强度在0.14~0.16时,图中红色最深,表明系统的最大李雅普诺夫指数值较大,此时系统容易产生维度较高的混沌激光。
图2-23 混沌半导体激光器芯片1的动态特性图
(a)
L
=2 mm;(b)
L
=3 mm;(c)
L
=4 mm;(d)
L
=5 mm;(e)
L
=6 mm;(f)
L
=4 cm
当反馈腔长增加到5 mm时,系统的混沌态消失,稳态和倍周期振荡状态增加,如图2-23(d)所示。当反馈强度小于0.04,或电流小于20 mA时,系统处于稳态,由蓝色表示;反馈强度大于0.04,偏置电流大于20 mA时,系统处于倍周期振荡状态,用绿色表示。
当外腔长增加到6 mm时,稳态增加,倍周期振荡状态减少,如图2-23(e)所示。图中只有当反馈强度大于0.15并且偏置电流大于30 mA时,系统存在倍周期振荡状态。
同时,我们也对长腔情况下芯片1的动态特性进行了研究,如图2-23(f)所示。此时反馈腔长为4 cm,外反馈频率为 f ext =3.7 GHz。当芯片的偏置电流在15 mA时,芯片1的弛豫振荡频率为 f r =3.7 GHz。当偏置电流大于15 mA时, f ext / f r 小于1,此时系统由短腔机制进入长腔机制,可以看出长腔机制更容易产生混沌激光。当反馈强度大于0.05时,系统容易产生高维混沌信号。但是,本节所设计的混合集成混沌半导体激光器需封装到商用蝶形壳体中,当反馈腔长大于1 cm时,该激光器难以实现最终封装。
根据数值模拟结果,不难得出结论,混沌半导体激光器芯片1产生混沌信号的最优制作参数为:反馈腔长为4 mm,反馈强度在0.12~0.2,偏置电流大于22 mA。并且从模拟结果可以看出,长腔比短腔机制更容易产生高维混沌激光,对于短腔机制,系统状态对外部参数变化非常敏感。
图2-24描述了混沌半导体激光器芯片2在反馈腔长为5 mm,偏置电流为3.33倍阈值时,系统最大李雅普诺夫指数随反馈强度的变化图。从图中可以看出,芯片2和芯片1产生混沌激光的区间范围完全不同。当反馈强度小于0.03时,系统的最大李雅普诺夫指数远小于零,系统中的振荡为阻尼振荡,此时系统为稳态;当反馈强度为0.03~0.08和0.12~0.20时,系统中出现非阻尼振荡,系统的最大李雅普诺夫指数在零附近,此时系统处于倍周期振荡状态;只有当反馈强度在0.08~0.12时,系统的最大李雅普诺夫指数远大于零,此时系统动力学状态为混沌态。
图2-24 反馈腔长 L 为5 mm,偏置电流为3.33 I th ,芯片2的最大李雅普诺夫指数随反馈强度的变化曲线
混沌半导体激光器芯片2的动态特性如图2-25所示。从图2-25(a)和(b)中可以看到,当反馈腔长等于2 mm和3 mm时,系统的最大李雅普诺夫指数远小于零,图中用蓝色表示,这代表此时系统处于稳态,该结果和芯片1的动力学特性一致。
图2-25(c)描述的是外反馈腔长为4 mm时系统的动态特性,从图中可以看出,当反馈强度在0~0.03和0.16~0.20时,系统处于稳态;当反馈强度在0.03~0.16时,系统处于倍周期振荡状态,系统不存在混沌态,这与芯片1在外腔长为4 mm时的动力学特性完全不同。
随着反馈腔长增加到5 mm,系统出现了新的非阻尼振荡。从图2-25(d)可以看到,当反馈强度小于0.03时,系统中振荡为阻尼振荡,系统仍然为稳态;随着反馈强度的增加,当反馈强度为0.03~0.07时,系统进入倍周期振荡状态;进一步增强反馈,当反馈强度为0.07~0.12,偏置电流为22~39 mA时,最大李雅普诺夫指数大于零,系统出现新的非阻尼振荡,系统出现了混沌态;进一步增强反馈,系统再一次进入倍周期振荡状态。从图中可以看出,外长腔为5 mm,反馈强度为0.07~0.12时,芯片2容易产生混沌激光,这和芯片1也不相同。
当外腔长增加到6 mm时,稳态增加,倍周期振荡状态减少,如图2-25(e)所示。图中只有当反馈强度大于0.15并且偏置电流大于32 mA时,系统存在倍周期振荡状态。这一状态和芯片1的动态特性几乎一致。
长腔情况下,芯片2的动态特性如图2-25(f)所示,此时反馈腔长为4 cm,外反馈频率为 f ext =3.7 GHz。从图中可以看出,当反馈强度大于0.04时,系统容易产生高维混沌信号。
根据数值模拟结果显示,混沌半导体激光器芯片2产生混沌信号的最优制作参数为:反馈腔长为5 mm,反馈强度在0.07~0.12,偏置电流大于22 mA。
从以上研究中可以得知,短腔光反馈结构的混沌维度较低,且不同的芯片由于内部参数的不同,产生的混沌激光的外部条件也不同;根据计算系统的最大李雅普诺夫指数,可以确定两个芯片产生混沌的最优制作参数,混沌半导体激光器芯片1的最优制作参数是外反馈腔长为4 mm,反馈强度为0.12~0.20;混沌半导体激光器芯片2的最优制作参数是外反馈腔长为5 mm,反馈强度为0.07~0.12,这对于制作出该混合集成混沌半导体激光器具有重要的指导意义,同时,也要考虑系统仿真和器件实际制作的差异性,并将二者有机结合起来。
图2-25 混沌半导体激光器芯片2的动态特性图
(a)
L
=2 mm;(b)
L
=3 mm;(c)
L
=4 mm;(d)
L
=5 mm;(e)
L
=6 mm;(f)
L
=4 cm