



均匀媒质内的静电场、恒定电场与磁场的分析都可归结为求解相应的电位函数 φ ,磁位函数 φ m 和磁矢位函数 A 的拉普拉斯方程或泊松方程。将求满足给定边界条件的位函数的拉普拉斯方程或泊松方程的解的问题称为场的边值问题,它有唯一的解答。
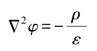
电位函数 φ 满足泊松方程:
在电荷体密度 ρ =0的区域, φ 满足拉普拉斯方程:
Δ 2 φ =0
磁位函数 φ m 满足拉普拉斯方程:
Δ 2 φ m =0
磁矢位函数 A 满足泊松方程:
Δ 2 A = -μ J
在电流密度 J =0的区域, A 满足拉普拉斯方程:
Δ 2 A =0
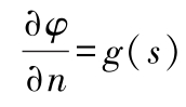
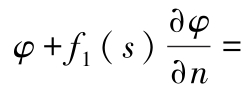
(1)场域边界上的边界条件,分别称为第一、二、三类边界条件:1)给定边界上的位函数值
φ
=
f
(
s
);2)给定位函数在边界上的法向导数值
;3)前两者的线性组合
f
2
(
s
)。
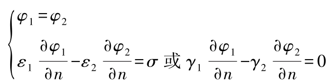
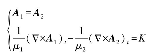
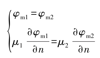
(2)两种不同媒质的分界面上的衔接条件
1)电位函数 φ 的衔接条件
2)磁位函数 φ m 的衔接条件
3)磁矢位函数 A 的衔接条件
(1)直接积分的方法 当场源与场域的形状比较简单,位函数仅是一个坐标的函数,所求解的泊松方程和拉普拉斯方程为二阶的常微分方程,可采用直接积分的方法求解。
(2)分离变量法 当位函数是两个或三个坐标的函数,但场域的边界与所选择的坐标系中坐标面相吻合时,常采用分离变量法:先将待求的位函数如 φ ( x , y , z )分离成两个或三个各自仅含一个坐标的函数的乘积,组成 φ ( x , y , z )= X ( x ) Y ( y ) Z ( z ),把它代入场方程,借助“分离常数”可得每一变量的常微分方程,并分别求得其通解,然后组合成偏微分方程的通解,再由边界条件决定分离常数与积分常数,得到位函数的解。
(3)复位函数法 能用来处理场域边界的几何形状比较复杂的问题,如椭圆,多角形截面的电极、偏芯电缆、电机气隙及波导等电磁场问题。它是利用复变函数中解析函数的实部与虚部在复平面 Z 的某一区域 D 内都满足拉普拉斯方程的特性,当所求解的二维拉普拉斯场域边界与某一解析函数的图形一致时,则此解析函数的实部或虚部就是所求位函数的解。
(4)保角变换法 是利用解析函数 W = f ( Z )的保角变换特性,将 Z 平面上的边界形状较复杂的场域 D ,以对应的几何方式变换到边界形状较为简单的 W 平面,求解后再反变换到 Z 平面,获得原问题的解。
(5)镜像法 是边值问题中的一种间接求解法,其理论依据是场的唯一性定理。镜像法的基本原理是在求解的场域之外用虚设的镜像电荷或镜像电流等效替代边界上复杂分布的感应电荷、极化电荷或磁化电流等,只要求解区在等效前后满足同一边值问题,则其解答是唯一的。应用镜像法的关键是找到镜像电荷或电流的位置与大小。注意点是解答适用的区域。
在边值问题的分析计算中,根据位场解答的唯一性定理可以采用类比法,即不论位函数的物理意义是否相同,只要它们具有相似的场方程和相似的边值条件,则它们的解答在形式上必完全相似。因而在理论计算和实验研究时可以把某一位场的分析计算及实验结果根据对应关系推广到相同边值问题的其他位场中去。对于由拉普拉斯方程所描述的静电场、恒定电场和磁场,其基本关系式和物理量之间的类比关系见表2.3-1和表2.3-2。
表2.3-1 导体内(无源部分)恒定电场与 ρ =0区域静电场间的比拟
表2.3-2 ρ =0区域静电场与 J =0区域恒定磁场间的类比
相对于观察者静止且量值不随时间变化的电荷所产生的电场称为静电场。在工程上绝大多数电气设备上的电压变化缓慢,设备尺寸远小于相应电磁波的波长。因此,设备上任一瞬间的电场可以按静电场来分析。
电气工程中的电场分布常常是相当复杂的。为了检查电介质中的最大电场强度是否超过临界场强,也为了选择电极形状和绝缘结构,工程上常需要算出电介质中的最大电场强度。高压静电场的计算方法,可分为分析计算法和数值计算法两大类。
大体分为两大类:1)以微分方程式的形式出现,以离散整个场域为特征,有有限差分法和有限元法;2)以积分方程式的形式出现,以离散边界为特征,有模拟电荷法、表面电荷法和边界元法。另外,还有一种利用统计方法的蒙特卡洛法。
(1)有限差分法 将电场空间划分成适当的网格(常用等步距正交网格),空间节点上的电位为未知数。应用差分原理,用各节点电位的差商来近似替代该点的偏导数,并利用电极上电位为已知的边界条件,把求解电场的偏微分方程转化为一组相应的差分方程组。解方程,就得到空间各点的电位,由电位梯度可求得电场强度。
(2)有限元法 根据变分法中的欧拉理论,求解静电场拉普拉斯方程的定解问题与求解静电场能量为最小的极值问题等效。将电场空间划分成有限个单元(二维场为小面积,三维场为小体积),假设单元内的电位可用简单关系式给出,从而可将静电场的能量表示成有限个节点电位的函数。使电场能量
W
取得最小值的条件是
W
对各节点电位
φ
i
的导数为0,即
,便可建立对电位的方程组。
与差分法相比,有限元法的程序编制及数据输入要繁杂得多,但对电极形状复杂和多种介质的电场处理方便,在提高计算精度方面有较大的灵活性。
(3)模拟电荷法 根据叠加原理和静电场的唯一性定理,将实际上连续分布在电极表面的电荷用置于电极内部的有限个离散的假想电荷(模拟电荷)来替代,这些模拟电荷共同产生的电场与原电场相同。以模拟电荷的电荷量为未知数,在电极表面上适当位置取与模拟电荷数目相等的轮廓点,模拟电荷群在这些轮廓点上产生的电位应等于电极电位,列出方程组。解方程组,求得各个模拟电荷的电荷量。接着,根据所求得的模拟电荷,就可求出空间任一待求点的电位和电场。
模拟电荷法不需要通过电位的梯度求电场,因而能获得较高的电场精度。但设置模拟电荷凭经验,并且对于薄电极的情况不易处理。
(4)表面电荷法 表面电荷法的计算步骤与模拟电荷法类似。将电极表面划分成适当的小块,并设各小块内的电荷密度为一定值。以电荷密度为未知数,在电极表面上取与电荷小块数目相等的轮廓点,利用轮廓点的电位等于电极电位的关系,列出方程组,求出各小块的电荷密度,从而计算场域内任一待求点的电位和电场。
与模拟电荷法相比,表面电荷法程序复杂,计算时间长,但可以处理薄层电极和多层介质的界面问题,可以与模拟电荷法混合使用。
(5)边界元法 边界元法是以边界积分方程式和有限元离散手法为基础的一种方法,分为直接法和间接法两种。采用直接法计算时,对于无空间电荷区域,将某一闭合边界划分成
N
个单元,并假设各单元的电位
φ
和
的分布。于是,边界上的
φ
、
q
值就可用各节点
i
的值
φ
i
、
q
i
(作为未知变量)表示出来。以
N
个常数单元为例,可对
N
个节点建立
N
个方程。虽然变量
φ
i
、
q
i
共有2
N
个,但对于每个节点,
φ
i
和
q
i
中总有一个是以边界条件给出的已知数,所以一共只有
N
个未知数,可以求出边界上全部节点的
φ
i
、
q
i
。从而可用边界积分算出区域内任一点的电位。
与表面电荷法相比,边界元法可取任意曲面为边界,而前者只能取电极表面和介质分界面为边界。
(6)蒙特卡洛法 运用概率理论来求解静电场的一种方法。基于描述质点作随机游动时增益期望的方程与泊松方程的差分格式有相同的数学描写,并适合已知的边界条件。根据解答的唯一性,用统计试验方法求出质点作随机游动时增益的期望,即为所求静电场电位的数值解。
蒙特卡洛法适用于只需计算个别点的电场的情况,对于需要计算整个电场分布的问题,则不如前面几种方法。
从原理上区分,电场测量方法大体可分为两大类:1)测定相近两点的电位差从而求得电位梯度;2)检测与电场有关的物理量,直接指示出电场值或电场分布。前类测量中常用静电探针;后类测量又可分为电气方法和光学方法两种。
电气方法中的检测量有感应电荷、电场力、离子电流等;基于介质的电光效应,光学方法利用光折射率随电场线性变化(波克斯效应)或随电场二次方变化(克尔效应)的介质-偏振片系统,做得能使透光强度随电场作线性或非线性变化的传感器,测定介质中的电场分布。
工程上,分析解决高压电场问题的主要目的,是在特定的电压和绝缘条件下,如何使最高电场强度不超过规定值。
(1)边缘效应与尖端效应 导体表面的电场强度,与其表面电荷密度成正比。在电极的边缘或尖端,因其曲率半径最小,表面电荷密度最大,电场强度最高,容易发生局部放电。这种现象称为边缘效应与尖端效应。所以,不论电极处于高电位还是接地,必须改善电极形状,避免曲率半径过小或出现尖端。
(2)均匀电场与不均匀电场 电场强度的大小和方向在各处都相同的电场称为均匀电场,如平板电容器极板中间部分的电场,其他情况统称不均匀电场。按不均匀程度的差别,常分为稍不均匀电场和极不均匀电场。前者如球间隙不大于球半径的球隙电场;后者如棒-板间隙的电场。棒对棒间隙的电场是对称的不均匀场,但比棒-板间隙的电场要均匀些。间隙距离相同时,电场愈不均匀,击穿电压愈低。而电气设备中的电场多为不均匀电场,为了提高绝缘结构的电气强度,必须设法减少其不均匀度。
在大气压下,在强电场作用下使气体击穿。若电源的功率不太大,则产生火花放电,放电时伴有爆裂声。由于气体击穿后,电流猛增,电源功率不够,电压下降,放电暂时熄灭,待电压恢复后再行放电,因此,火花放电具有间歇性。
火花放电是最常见的一种放电。雷电也是一种火花放电。若其他条件不变,则火花放电的击穿电压取决于电极间距离。高电压技术中常采用测量两个球形电极间产生火花时的距离来测定高电压。
火花放电过程是由电子崩发展到流注等几个阶段所组成的。
(1)电子崩 在外施电压下,气体中的带电粒子沿电场方向加速,当与气体原子相碰撞时,可能使其电离而产生新的电子和正离子。电子的质量小,比起正离子容易积累动能,碰撞电离能力强。因此,碰撞电离可以看成主要是由电子引起的。新形成的电子和原有电子一起又沿电场加速,碰撞电离产生更多的电子和正离子。在高场强下,带电粒子如高山雪崩那样急剧增多的现象称为电子崩。
电子沿电场方向行经单位距离时若发生 α 次碰撞电离,则当沿电场行经距离 s 时,电子总数将为e αs 。
(2)从流注到火花放电 在大气压下,由于空气密度大,电子崩产生后形成的空间电荷不易扩散,使原电场发生畸变,崩内电场削弱,电子和正离子的复合增强;而复合过程中发生的短波光引起周围气体产生光电离,此处新形成的电子又处于局部加强了的电场作用下,更易碰撞电离而出现许多新的电子崩(二次崩)。二次崩与初崩的汇合,组成了充满正负带电粒子的混合通道,此即流注。形成流注的条件是e αs ≥10 8 。流注通道的直径虽仅零点几毫米,但导电性能良好,其发展速度比电子运动速度(10 7 cm/s)要大1~2个数量级,这即流注理论。
在均匀电场中,一旦出现流注,即形成贯穿整个间隙的火花放电。在不均匀电场中,流注先局限在场强较大的电极附近,当电压再高,才会有贯穿整个间隙的火花放电。
当间隙距离相当长时,间隙内弱电场区较宽,流注通道伸展到一定距离后就停滞下来,在火花放电形成前先出现先导放电。间隙中如出现先导放电,则平均火花放电场强度显著降低,使长间隙的平均放电电压远低于短间隙的。
(3)放电迟延 气体间隙形成火花放电,不仅需要足够的场强,还需一定的电压作用时间(放电迟延时间):1)统计时延 指从电压上升至放电电压的瞬间起,到出现能产生碰撞电离的有效电子所经的时间;2)放电形成时延 指有效电子出现到形成间隙火花放电的时间。均匀电场中,放电迟延较小;在极不均匀电场中放电形成时间较长,且分散性也大。
因此,当电极布置及距离一定时,均匀电场中的冲击、工频、直流电压下的火花放电电压相近、分散性也小,而不均匀场中的冲击放电电压比工频、直流的高得多。
(4)极性效应 在棒-板等不均匀电场中,气隙放电表现出明显的极性效应。这是因为棒极附近的电场强度很高,而远离棒极的区域,电场强度要低得多,因此局部放电首先发生在棒极附近。电子崩产生后迅速形成空间电荷,由于正离子运动慢,正空间电荷出现在棒极附近。根据棒极性不同,空间电荷对放电的影响是不同的。
无论是直流或冲击电压下,当棒极为正时,间隙的火花放电电压较低。同样,工频电压下的火花放电发生在当棒极为正半周时,峰值接近于正极性时的直流放电电压值。
(5)压力效应 空气间隙的火花放电电压与气体压力有关。当气压下降后,电子在两次碰撞间所经的平均自由行程增大,从电场获得的动能增多;碰撞电离能力增强,火花放电电压降低。因而在高海拔地区,每升高1km,放电电压约降低10%。
在真空度高于10 -2 Pa时,放电电压很高,且与真空度关系不大;但若真空度<10 -2 Pa,则放电电压急剧下降。这是因为高真空间隙中,电子平均自由行程比间隙大得多,很难直接由气体电离引起火花放电,但真空间隙在一定电压下仍会发生放电现象,放电电压受很多因素的影响,分散性很大。
高气压下,电子的平均自由行程短,碰撞电离困难,因而间隙的火花放电电压高。在均匀或稍不均匀电场中,当气压在1MPa以下时,压缩空气的放电电压几乎随气压线性增大。
在气体压强较低(约133Pa)的条件下,当两极间的电压增加到一定数值时,气体被击穿,出现图2.3-1的特性。图中 CF 段称为辉光放电。图中 DE 段称为正常辉光放电,这时随着电流的增加,分子的碰撞电离也加剧,气体的电导随电流正比增加,从而使 U = I/G 约为常数。当电流继续增加时,电导不再增加,图中 EF 段称为异常辉光放电。当电流到达 F 点时,电压又突然下降,辉光放电过渡到弧光放电。
图2.3-1 辉光放电的特性曲线
辉光放电时,气体中有特殊的亮区和暗区。极间电压集中在阴极附近极窄区域内。而且电压不随电流变化,有稳压特性。辉光放电用于日光灯、霓虹灯等。其稳压特性可用做氖稳压管。近年来气体辉光放电技术广泛应用于晶体及非晶体半导体薄膜技术以及各种化学真空淀积(CVD)技术中。
在极不均匀电场的空气间隙中,随外施电压升高,曲率半径较小的电极表面附近的场强将首先达到引起空气电离的值,并在满足形成流注的条件后,形成自激导电并发光,称为电晕放电。电晕放电时,气体的电离和发光只在带电体表面周围形成电晕层,在电晕层外不发生电离。当电压增大时,有可能过渡到火花放电。
导线表面附近发生电晕放电时,伴随有较大的噪声及无线电干扰。电晕和无线电干扰的电平,主要取决于导线表面场强的大小。对于非高海拔地区的输电线路,一般以场强28kV/cm(峰值)为控制值。导线表面状态对电晕放电也有很大影响,往往使用一段时间后,表面突出点会减少,干扰明显下降。电晕放电往往是高压输电线线路损失的主要原因。
电晕放电也可以利用。例如避雷针是利用电晕放电,使导体上的电荷逐渐漏失。
指固体(或液体)介质与气体同处于电场中时,常发生的沿介质分界面的气体放电。当沿面放电到达另一电极时为闪络。因受固体介质表面状态、形状等因素的影响,闪络电压总是低于(最多等于)相同电极结构、相同距离的纯气体间隙的火花放电电压。图2.3-2所示的绝缘结构是各式绝缘结构中闪络电压最低的。
图2.3-2 几种绝缘结构的沿面电场分布
a)均匀电场
b)、c)不均匀电场、电力线与分界面平行
d)不均匀电场、电力线与分界面斜交
沿面放电与固体介质表面的电场分布有很大关系。
(1)均匀电场 电力线与分界面平行,见图2.3-2a。由于固体介质表面电阻的不均匀,使闪络电压降低。
(2)不均匀电场 1)电力线与分界面平行,见图2.3-2b、c,放电过程包括电晕、刷形放电、闪络几个阶段,闪络电压接近于相同电极布置的空气间隙的火花放电电压;2)电力线与分界面垂直,见图2.3-2d,其特点是具有很大的垂直于介质表面的电场法线分量,例如套管式电缆终端的近法兰处、电机线棒出槽处、平板电容器极板边缘处等,这种结构的闪络电压比电力线与界面平行时低得多,放电阶段明显,往往经电晕、刷形放电而形成滑闪放电最终导致闪络。滑闪放电对有机绝缘的损伤特别明显,必须采用防止的措施。
防止表面滑闪放电的方法有:1)减小绝缘结构的表面比电容值,如加大具有空腔的套管在法兰处的直径,在电缆终端处增绕绝缘使直径加大等;2)电力线不斜入介质,如法兰紧靠裙边,使此处电力线只经过单一介质(瓷体),而不经过空气后再斜入固体介质;3)在场强最集中处涂半导体漆,如高压电机绝缘线棒出槽口处,涂后可改善电场的分布;4)在电极附近加均压环,如电容式套管中的均压极板,可改善沿面电压分布。
通常产生弧光放电的方法是使两极接触后随即分开,由于短路产生的焦耳热,使阴极表面温度升得很高,产生热电子发射;此外,正离子撞击阴极产生二次电子发射;阴极表面附近极窄区域内形成的强电场产生场致发射。这些因素使得放电电流很大,产生几千摄氏度甚至上万摄氏度的高温。伴随弧光放电有强烈的光辉。
弧光放电用于闪光灯、光谱电源、冶炼、焊接及高熔点金属切割等。但是,大电流电路开关断开会产生弧光,必须采取灭弧措施。
(1)击穿过程 工程用液体介质总含有少量气体和杂质,使其击穿场强远低于纯净的液体介质。例如变压器油(以下简称油)中若含气泡,在外施交变电压下,气泡中分配到的场强比油中场强高,而气泡的击穿场强却低得多,这导致气泡先电离,温度升高、体积膨胀,形成的带电粒子又促使旁边的油分解。这样逐步扩大了的气泡容易在电极间排成“小桥”,导致击穿。
电力设备中的油又常含有纤维,尤其是那些含潮的纤维很容易在电极间排成杂质小桥,使电场畸变、局部场强增高,促使油分解出气体,最后在气体通道中先击穿。
(2)油中沿面放电 油中沿固体介质表面的闪络与气体中沿面闪络很相似。当电力线与分界面平行时,油中沿面闪络电压随极间距离而增大,在固体介质吸潮后降低。试验指出,工频下的闪络电压与纯油间隙时的击穿电压相近;当电力线与分界面斜交时,与气体中相似,在很低交变电压下就出现滑闪放电,闪络电压很低。
(3)油-屏障绝缘 工程用油不可避免地会含有杂质。为减小杂质的影响,提高油间隙的击穿电压,在油隙中常采用油-屏障绝缘,如覆盖层、绝缘层、屏障等。在图2.3-3b中,在不均匀电场中曲率半径小的电极上,覆盖零点几毫米以下的电缆纸、塑料薄膜或涂以绝缘漆膜,叫覆盖层,它能阻止杂质“小桥”的形成。在图2.3-3c中,当纸和薄膜在曲率半径小的电极上包到几毫米以上时称绝缘层,它不但起着覆盖层的作用,并能承受部分电压。在图2.3-3d中,在油间隙中放置比电极形状稍大、厚度为1~3mm的绝缘筒或板作为极间屏障,用以阻止杂质“小桥”的形成。在断路器和变压器中广泛采用油-屏障或覆盖加屏障,见图2.3-3e。当油隙愈小,油的击穿场强愈高,为此,高压电力变压器中采用多层屏障,见图2.3-3f。
图2.3-3 油-屏障绝缘示意图
a)纯油间隙 b)覆盖 c)绝缘 d)屏障 e)覆盖+屏障 f)多层屏障
1—覆盖层 2—绝缘层 3—屏障
击穿形式主要有电击穿、热击穿及电化学击穿等。
(1)电击穿 在强电场中固体介质的导带中可能因冷发射或热发射而存在少量电子,这些电子一面在外电场作用下被加速获得动能,一面与晶格振动相互作用而激发晶格振动。当电子从电场获得的能量大于损失给晶格振动的能量时,电子的动能就不断增大,在大到一定值后,电子与晶格振动的相互作用将导致电离产生新电子,自由电子迅速增多、电流剧增,发生电击穿。电击穿在很短暂电压下就可能发生,击穿电压高。
(2)热击穿 在交变电场中,固体介质因介质损耗等产生的热量使其温度升高;随着温度的上升,往往介质损耗及发热更大,如散热跟不上,热平衡将被破坏而温度不断增高,最终使最热处的介质局部熔化、烧焦而热击穿。与电击穿相比,热击穿往往在较长时间电压作用下发生,击穿电压较低,且与环境温度、散热条件等有关。
(3)电化学击穿 是由局部放电引起的电、热和化学等因素的长期综合作用所致。例如高电压复合介质内部不可避免地含有气隙,气体的局部放电不但发热,且放电产生的带电粒子在电场下加速运动撞击介质表面,而且又分解出臭氧等氧化剂,引起介质劣化而导致击穿,对纸、薄膜等有机材料的危害很大。电化学击穿在更长期电压作用下形成,击穿电压远低于电击穿电压。
(4)电树枝化 电树枝化是固体介质在电场作用下的一种老化形式,在高电压聚合物介质中常见到这种气化了的俨如树枝状的放电痕迹。电树枝引发于介质内部电场最集中处的电子发射,当吸收足够的注入电子的能量后,聚合物产生间隙,其中发生局部放电而导致介质分解气体所形成的树枝通道,树枝化使击穿电压下降。
(5)电痕化 如电气设备暴露在高湿度和污秽环境下,固体介质表面能解离的污物在电场作用下由于漏电或局部放电而逐步在表面积累形成的导电通道。
(6)组合介质击穿 例如高压绝缘结构中常用的油纸组合介质,因纸纤维在油中起屏障作用,而纸中空隙又被油所填充,使其绝缘强度、特别是短时绝缘强度很高,可达1MV/mm以上。若用高质量塑料薄膜代替纸与油组合,可比油纸组合介质的绝缘强度更高;此外,不同介质的组合还可满足不同的要求。