



费希尔的研究证实了随机设计是建立实验或观察研究的最佳方式,并为解读研究结果提供了一个基本框架——最大似然。在接下来的100年里,他的统计方法影响了临床试验、心理学问卷、社会学调查和商业分析,甚至为社交媒体巨头分析我们的在线互动情况奠定了基础。费希尔在剑桥大学和洛桑实验站的研究,正是我们现在大量收集生活各个方面的数据的原因。
在很多情况下,我们可以利用研究结果更好地了解自己,这一点从生活方式的选择可能有助于人们延年益寿就可见一斑。
但是,数字在发现健康生活方式方面取得的成功,并不意味着我们需要遵循我们听到的每项科学研究的建议。我们需要学会观察数字并询问它们到底能告诉我们什么。
从我们上一次聚会开始,阿伊莎和安东尼一直在打磨他们的统计技能,贝琪在学习如何成为一名更有建设性的怀疑论者,查理则在报纸和网络上阅读了大量文章,搜寻关于幸福感的科学研究。
查理发现网上有一份《全球幸福指数报告》。自2005年以来,该报告的作者每年都会分析盖洛普全球调查取得的民调结果。这项调查在160个国家进行,覆盖全球99%的人口。调查员会在每个国家随机采访一些人,请他们回答100多个问题,内容涉及收入、健康和家庭,包括以下这些关于幸福感的问题:
综合考虑,你如何评价自己这段时间的总体生活满意度?如果满分为10分,0分表示不满意,10分表示满意,你会打多少分?
调查对象给出的分数可以作为衡量其幸福感的标准。在继续阅读之前,请你先在脑海中回答这个问题。如果满分为10分,你对生活的满意度可以打几分?
不同国家的居民会给出不同的答案。我在前文中给出了2022年英国人的平均分。这一年,英国的幸福指数为6.94,在全球排名第17位。排名第一的国家是芬兰,得分为7.82。总的来说,斯堪的纳维亚半岛和其他北欧国家排名最高。美国排名第16位(比英国高0.03)。中国的得分是5.59,排在第72位,在所有被调查国家中大致处于中游。处于中游的国家还包括黑山、厄瓜多尔、越南和俄罗斯。再往下,可以看到许多非洲国家(例如,乌干达和埃塞俄比亚分别排在第117位和第131位)和中东国家(例如,伊朗排在第110位,也门排在第137位)。2022年世界上最不幸福的国家是阿富汗,幸福指数仅为2.40。
为便于了解国与国之间的差异,安东尼将这些国家的平均预期寿命与它们的幸福指数进行了对比,如图1-2a所示。图中的每个圆点分别代表一个国家。横轴表示该国的预期寿命,纵轴表示其生活满意度的得分,总分为10分。一般来说,一个国家的预期寿命越长,其幸福指数就越高。
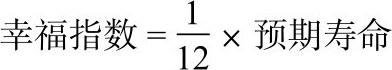
我们可以经过这些点画一条直线,以量化的方式表示幸福指数随预期寿命增加而增加的关系。例如,假设某个国家的居民预期寿命每增加12岁,幸福指数就会增加1个点。在这种情况下,可以得到如下幸福指数公式:
例如,如果这个国家的预期寿命是60岁,上述公式预测的幸福指数就是60/12=5。如果预期寿命是78岁,幸福指数就是78/12=6.5。
我们可以把这个方程表示成一条经过各个点的直线,如图1-2b所示。如果你把手指放在横轴示数60这个位置(出生时的预期寿命)上,向上移动至实线处,然后读出它的纵坐标,你就会看到幸福指数是5。同样,如果从78岁这个预期寿命开始,你就会发现幸福指数为6.5。上述方程中的1/12是这条直线的斜率:我们沿着横轴移动12年,纵轴表示的幸福指数就会增加1。
这条直线(它预测幸福指数是预期寿命的1/12)是描述幸福指数和预期寿命之间关系的众多线中的一条。问题是,这条直线是不是“最佳”的那条线?1/12的斜率看起来大致正确,但这是费希尔要求的最大似然线吗?记住,在众多错误答案中,只有一个正确答案。
为了找到正确答案,我们首先需要测量直线和所有点之间的距离。图1-2b表示的是我们根据上面这条直线得出的测量结果,根据这条直线的预测,幸福指数是预期寿命的1/12。贝宁、也门、克罗地亚、美国、英国和芬兰等国家与实线之间的虚线,表示这些国家的预测结果(实线)与实际情况(代表各个国家的圆点)之间的差距。
如图1-2c所示,平均而言,最接近所有圆点的直线可以由下面这个方程给出:
幸福指数=0.123×期望寿命-2.425
这条直线的斜率比图1-2b中的那条直线略陡,截距为-2.425(在第一个方程中截距为0)。
图1-2 全球136个国家居民出生时的预期寿命与幸福指数之间的关系。详情参见《2019年全球幸福指数报告》。(a)每个国家分别用一个灰色圆点表示,其中某些国家用黑色突出显示。(b)在幸福指数和预期寿命之间存在一种斜率为1/12、截距为0(图中未显示)的潜在直线关系,如正文所述。与实线相连的虚线表示该国模型与实际情况之间的差距。(c)幸福指数与预期寿命之间的最大可能直线关系的斜率为0.112,截距为-2.41。(d)一旦模型拟合数据,就可以比较不同国家的模型与实际情况的契合程度
我说过,第二条直线(图1-2c中的直线)比第一条直线(图1-2b中的直线)更接近那些圆点,但我怎么知道费希尔是否会满意呢?为了回答这个问题,我们将直线与所有点之间距离的平方相加。例如,美国的幸福指数为6.88,预期寿命为68.3岁。第一个方程(图1-2b)的预测结果是:
这意味着预测结果和现实情况之间差距的平方是(6.88-5.69) 2 =1.416。第二个方程(图1-2c)的预测结果是:
美国的幸福指数=0.123×68.3-2.425=5.98
这意味着预测结果和现实情况之间差距的平方是(6.88-5.98) 2 =0.810 0,小于第一个方程的值1.416。这说明至少对美国来说,第二个方程比第一个更接近现实情况。
我们针对每个国家和每条直线重复上述计算,然后对所有国家的值求和。在统计学中,这种方法叫作计算距离平方和。我们认为最佳拟合线是距离平方和最小的那条线。图1-2b中直线的距离平方和为82.84,而图1-2c中直线的距离平方和较小,为71.76,所以第二条线比第一条线更接近现实情况。在为本书创建的网页上,我逐步完成了计算这些距离平方和的过程(更多细节可参阅注释)。我还证明了第二个方程不仅优于第一个方程,就距离平方和而言,它也是最接近各国数据的那条线。平均而言,没有其他任何一条线比这条线更接近各个国家的数据点。但这并不意味着对所有国家来说它都是最好的。例如,图1-2b中的那条线与克罗地亚的数据距离更近,但从平均值来看,还是图1-2c中的那条线更接近各国的数据。
安东尼和阿伊莎正坐在电脑前,欣赏着他们拟合幸福指数的那条线,这时贝琪走了进来。
安东尼想起在讨论腌黄瓜问题时贝琪请大家搁置争议,于是对阿伊莎小声说道:“我们再来一次吧。在她提出疑问前,我们先把我们的发现告诉她。”
贝琪还没来得及张口,阿伊莎就说寿命更长、身体更健康的人也更幸福,所以幸福的秘诀是长寿。经过数据点的那条直线就是这种关系的证明。
但这一次贝琪也有备而来。她阅读了《全球幸福指数报告》,那些数据就来自该报告。她告诉他们,她发现预期寿命并不是与幸福指数相关的唯一指标。在研究跨国数据时,她发现幸福指数与国内生产总值(GDP,衡量经济财富的指标)、与就“你对自己选择生活方式的自由度是否感到满意”这个问题给出肯定回答的人的比例、与该国居民的人均慈善捐款额、与居民对该国腐败问题的看法等指标之间也存在这种直线关系。贝琪告诉安东尼和阿伊莎,预测幸福感的最好指标只有一个,那就是人们是否觉得自己得到了周围人的支持。这个指标甚至比预期寿命还要好。在被问到“如果你遇到麻烦,你有可以随时求助的亲朋好友吗?”这个问题时,如果居民更有可能给出肯定的回答,那么这些国家的生活满意度会更高,也就是说他们生活得更加幸福。
贝琪说,幸福指数和预期寿命之间的关系极其复杂,涉及很多相互关联的因素,如果用直线模型表示就过于简化了。
她说:“根据这些数据,我们根本不可能知道一个人是否感到幸福,也就无法对个人幸福感这个问题发表任何看法。”
这一次,贝琪是对的。
为《全球幸福指数报告》整理数据的约翰·赫利韦尔及其同事,强调了社会基础在提升幸福感方面的重要性。当我们有选择时,当我们周围的人慷慨、友善时,当我们没有受到贫穷的困扰时,当我们有可能长寿时,我们的幸福感就会油然而生。但是,我们在解释这些结果时必须小心谨慎。仅凭跨国比较数据,我们无法知道哪些因素会直接影响幸福感,而哪些因素只是碰巧与之有关。我们不知道更好的医疗保健或社会支持是否会增加幸福感,也不知道居民人生观更积极的国家是否会建立更好的医疗保健和社会支持。我们知道的是,如果一个国家更稳定、更繁荣、社会支持力度更大,那么居民往往会认为自己更幸福。
与我们之前看到的大规模的健康研究不同,我们不能依靠全国性的问卷调查结果来谋求我们的个人幸福。赫利韦尔及其同事研究的大多数因素都不受你的控制。芬兰人说他们很幸福,但这并不意味着你搬到芬兰就一定会更幸福。仅仅知道自己会长寿也不能保证你一定会对生活感到满意。经济发展、医疗保健服务、社会保障、民主及言论自由之间存在着复杂的关系,这是我们在数据中看到相关性的根本原因。简单地说,在进行国家之间的比较时,我们无法区分出因果关系。