



脉冲雷达发射机的主要技术参数是根据雷达整机的要求,结合现代雷达发射机的发展水平来确定的明确指标,这些指标基本上决定了发射机的基本类型及相应的组成部分。下面就一些主要技术参数加以说明,而其他电性能指标及结构、冷却等相关指标将在相关章节中给出说明。
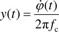
雷达发射机的工作频率是根据雷达所执行的任务来确定的,选择频率既要考虑大气层中各种气候条件对电波的影响(吸收、散射、衰减等因素),又要考虑测试精度、分辨率、雷达平台及环境等要求,还要考虑现有及未来可能研制出符合要求的微波功率管的水平。
一般来讲,地面对空搜索、远程警戒雷达需选用较低的工作频率,精密跟踪测量雷达需选用较高的工作频率,而大多数机载雷达受体积、质量等限制,工作频率大都选在X波段。工作频率不同,发射机类型就可能不同,早期远程警戒雷达发射机大都用真空三极管、四极管,工作频率为VHF、UHF波段;后来的磁控管、大功率速调管、行波管及正交场放大管常工作在UHF波段、L波段、S波段、C波段和X波段等波段。
20世纪60年代,微波功率晶体管技术飞速发展,固态放大器设计应用技术日趋成熟,全固态发射机也应运而生,由此开始,工作频率在S波段以下的发射机大量选用全固态发射机。
雷达发射机的瞬时带宽可定义为:发射机工作时,在不进行任何调整时的工作频率可变化的范围,其输出功率值的变化应小于1dB。此指标是针对主振放大式发射机而言的,发射机的瞬时带宽应大于所放大的信号本身频率变化的范围(即信号带宽)。
瞬时带宽的要求决定了被选用放大管的类型,一般来说窄带发射机可选用三极管、四极管、速调管和硅双极微波晶体管等器件;宽带发射机可选用行波管、前向波管、行波速调管、多注速调管及砷化镓场效应晶体管等器件。
对一些特殊用途的雷达,如成像雷达、目标特性识别雷达,其信号带宽很宽,其发射机需用超宽带发射机。
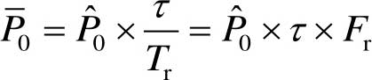
    发射机的输出功率是指发射机末级放大器(或振荡器)送至馈线系统的射频功率。对于连续波雷达,发射机输出功率是连续波功率。对于脉冲雷达发射机,其输出功率以峰值功率
     和平均功率
    和平均功率
     来表示。这里应指出,峰值功率
    来表示。这里应指出,峰值功率
     是指脉冲持续期间射频振荡的平均功率(单位时间内能量),不是射频正弦振荡的最大瞬时功率;平均功率是指脉冲重复周期内输出功率的平均值。若发射脉冲是理想矩形等周期脉冲串,脉冲宽度为
    
     τ
    
    ,脉冲重复周期为
    
     T
    
    
     r
    
    ,则有
    是指脉冲持续期间射频振荡的平均功率(单位时间内能量),不是射频正弦振荡的最大瞬时功率;平均功率是指脉冲重复周期内输出功率的平均值。若发射脉冲是理想矩形等周期脉冲串,脉冲宽度为
    
     τ
    
    ,脉冲重复周期为
    
     T
    
    
     r
    
    ,则有
   
 
   (1.1)
式(1.1)中, F r 为脉冲重复频率, τ / T r = τ F r = D 称为雷达工作比或占空比。
发射机输出功率决定了雷达的威力和抗干扰能力。对采用反射式工作方式的雷达,发射机的输出功率与雷达作用距离的关系为4次方根的关系,由此可见,采用提高发射机输出功率来增加雷达作用距离的方法,既增加成本,又收效甚微。
目前常用和正在研制的雷达,多数为脉冲雷达,脉冲波形既有简单等周期矩形脉冲串,也有复杂编码脉冲串。理想矩形脉冲的参数主要有脉冲幅度和脉冲宽度,而实际的发射信号一般都不是理想矩形脉冲,而是具有上升沿、下降沿的脉冲,且脉冲顶部有波动和倾斜,如图1.1所示。
    图1.1中,脉冲宽度
    
     τ
    
    为脉冲上升沿幅度的0.5
    
     A
    
    处至脉冲下降沿幅度0.5
    
     A
    
    处之间的脉冲持续时间;脉冲前沿
    
     τ
    
    
     r
    
    为脉冲上升沿幅度0.1
    
     A
    
    处至0.9
    
     A
    
    处之间的持续时间;脉冲后沿
    
     τ
    
    
     f
    
    为脉冲下降沿幅度0.9
    
     A
    
    处至0.1
    
     A
    
    处之间的持续时间;顶部波动为脉冲顶部振铃波形的幅度Δ
    
     u
    
    与脉冲幅度
    
     A
    
    之比,即
     ,通常以百分数或dB数值表示;脉冲顶降即顶部倾斜,它为脉冲顶部倾斜幅度Δ
    
     A
    
    与脉冲幅度
    
     A
    
    之比。
    ,通常以百分数或dB数值表示;脉冲顶降即顶部倾斜,它为脉冲顶部倾斜幅度Δ
    
     A
    
    与脉冲幅度
    
     A
    
    之比。
   
 
    图1.1 矩形脉冲波形
上述发射信号检波波形的相关参数是表示发射信号质量的基本参数。
发射信号的稳定性是指射频信号的振幅、频率(或相位)、脉冲重复频率和脉冲宽度的稳定性,任一参数的不稳定都会影响高性能雷达主要性能指标的实现。现代高性能雷达都对发射信号的稳定性提出了严格要求。
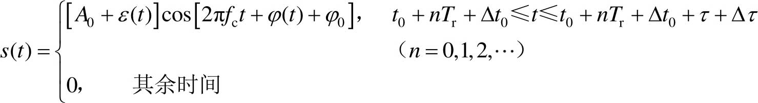
发射信号可用下式表述,即
 
   (1.2)
式(1.2)中, A 0 为等幅高频信号振幅, ε ( t ) 为叠加于 A 0 之上的幅度变化, f c 为高频载波频率, φ 0 为信号初始相位,Δ t 0 为脉冲信号起始时间的不稳定量,Δ τ 为脉冲信号宽度的不稳定量。
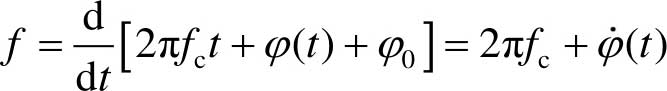
那么信号瞬时频率 f 可表示为
 
   (1.3)
    式(1.3)中,
    
     φ
    
    (
    
     t
    
    ) 为相位不稳定量,
     为频率不稳定量。
    为频率不稳定量。
   
    这些不稳定量一般都很小,即
     、|
    
     φ
    
    (
    
     t
    
    )|、
    、|
    
     φ
    
    (
    
     t
    
    )|、
     、
    、
     和
    和
     都远小于1。
    都远小于1。
   
上述不稳定量均可分为确定的不稳定量和随机的不稳定量。确定的不稳定量来自电源的纹波、脉冲调制波形的顶部波动和周围环境有规律的机械振动等因素,通常是时间的周期性函数。随机的不稳定量是任意的,如发射管的噪声,调制脉冲幅度的随机变化等都可能是原因之一,对于这些随机变化必须用统计的方法进行分析。信号的稳定度可以在时间域上来度量,也可以在频率域内用傅里叶分析法来度量。
对于信号确定的不稳定量,分析方法比较简单,因不稳定量为周期性变化,所以可用傅里叶级数展开,取其起决定性影响的基波分量的幅值作为信号稳定度的时域度量。有时,为了简便起见,可直接取信号不稳定量的幅值和频率作为稳定度的时域度量。
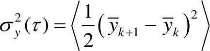
对于信号随机的不稳定量,要取不稳定量 x ( t )的方差来度量。方差定义为
 
   (1.4)
式(1.4)中,〈〉表示对集合取统计平均值,这里假设 x ( t )的数学期望为0。此定义在实际中难以应用,因为它要求有连续数据和无限数据长度的测试,为此需运用采样方差来度量,其定义为
 
   (1.5)
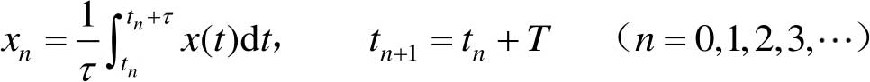
式(1.5)中, x n 是在时间 τ 内对 x ( t ) 进行采样测试得到的值,即
 
   (1.6)
这里要指出的是,式(1.6)中, τ 是采样时间,不是脉冲宽度; T 为两次采样的时间间隔,不是脉冲重复周期。但在某些特殊情况下, τ 可能等于脉冲宽度, T 可能等于脉冲重复周期。 N 为进行采样测试总的次数。注意要有两个条件成立时,式(1.6)的定义才有意义:①当采样次数 N 增加时,采样方差收敛;②每 N 次测试为一组,要求取无限次测试的统计平均值。实际上第二个条件中取无限次测试的统计平均值是难以实现的,只能进行有限组测试。那么取多大的有限组值才合适呢?即当取有限组值作统计平均值时,其与真值方差之间误差有多大?这就涉及不稳定量的数学模型。对频率稳定度,此问题尤为突出。由于闪烁噪声的影响,当 N → ∞ 时,频率稳定度的采样方差不收敛。为解决此问题,美国IEEE有关小组于20世纪70年代初推荐利用双采样( N =2)无间歇( T = τ )方差作为频率稳定度的时域度量,也称阿仑方差,即
 
   (1.7)
 
   (1.8)
 
   (1.9)
现在阿仑方差概念已被普遍采用,但也存在不完善的问题,因此有人在探求更完善的度量方法。
    对于雷达信号稳定度,人们通常关注的是短期稳定度,可以忽略那些变化缓慢的过程。因此,把阿仑方差从频率稳定度应用到其他参数稳定度的分析也是合适的,在忽略了变化非常缓慢的过程后,
     不收敛的问题也就排除了。在不同场合采用
    不收敛的问题也就排除了。在不同场合采用
     作为时域度量也是可以的。另一个问题是应取多少组测试值进行平均?业已证明,当测试组数
    
     m
    
    很大时,
    
     m
    
    组测试平均所得值与真实方差值的相对误差
    
     δ
    
    服从正态分布,其均值为零,当
    
     m
    
    >10时,均方差近似为
    作为时域度量也是可以的。另一个问题是应取多少组测试值进行平均?业已证明,当测试组数
    
     m
    
    很大时,
    
     m
    
    组测试平均所得值与真实方差值的相对误差
    
     δ
    
    服从正态分布,其均值为零,当
    
     m
    
    >10时,均方差近似为
   
 
   (1.10)
例如,进行1000组的测试, σ ( δ )≈3 % ,也就是说, m 组测试的平均结果和真实方差之间的误差在±3%之内的概率是68%,误差在±10%之间的概率是99.9%。
综上所述,针对雷达信号的随机不稳定性,可以分别采用振幅、频率或相位、脉冲宽度和定时的采样方差来进行度量。
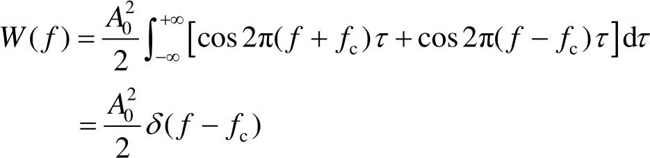
对任一平稳随机过程,可用傅里叶分析法在频率域内用它的功率谱密度(简称谱密度)来表示。根据维纳-辛钦(Wiener-Khinetchine)定理,平稳遍历性随机过程的功率谱密度与其自相关函数成傅里叶变换对关系。对随机过程,自相关函数和谱密度都是偶函数,所以傅里叶变换为余弦形式,随机过程 ξ ( t ) 的自相关函数 R ( τ ) 可定义为
 
   (1.11)
谱密度 W ( f ) 与 R ( τ ) 的关系为
 
   (1.12)
 
   (1.13)
式中, W ( f ) 是单边带功率谱密度,其傅里叶频率范围从0→+∞,而没有考虑负频率分量。有些书上的 W ( f ) 定义为双边功率谱密度,其傅里叶频率变化范围从-∞→+∞。很明显,单边谱密度值比双边谱密度值大一倍。图1.2表示了两者关系。该图所示是一个只有寄生调相而无寄生调幅信号的两种谱密度表示法,其中图1.2(a)是双边谱密度,图1.2(b)是单边谱密度。因为对雷达信号进行谱密度测试时,得到的值是单边谱密度,所以这里定义 W ( f ) 也为单边谱密度。
    当随机过程
    
     ξ
    
    (
    
     t
    
    ) 是确定性的过程时,如
     ,其自相关函数具有周期性形式,即
    ,其自相关函数具有周期性形式,即
   
 
   (1.14)
 
    图1.2 信号功率谱密度的两种表示法
此时式(1.12)是不收敛的,需要引入分配函数概念。
 
   (1.15)
式(1.15)中, δ ( f ) 是冲激函数,此时相应谱密度为
 
   (1.16)
    从式(1.16)中可以看出,谱密度是离散分量。
    
     f
    
    =
    
     f
    
    
     c
    
    这一离散分量,功率为
     。一般情况下,谱密度是连续分布的,在某个频率上其功率无穷小,只有在一定的频带内才有一定的功率。
    。一般情况下,谱密度是连续分布的,在某个频率上其功率无穷小,只有在一定的频带内才有一定的功率。
   
    综上所述,可以把
    
     s
    
    (
    
     t
    
    ) 看作一个平稳遍历性随机过程,它有谱密度
    
     S
    
    (
    
     f
    
    ) 存在。若
    
     s
    
    (
    
     t
    
    ) 为没有任何寄生调制的稳定信号,比如是一个理想矩形射频脉冲串周期信号,则它的谱密度为纯离散谱结构,仅在(
    
     f
    
    
     c
    
    ±
    
     n
    
    
     f
    
    
     r
    
    )(
    
     f
    
    
     r
    
    为脉冲重复频率,
    
     n
    
    =0,1,2,⋯)的各个傅里叶频率上存在分量。它们相对载频
    
     f
    
    
     c
    
    的幅度分布为
     的函数,理想矩形射频脉冲串幅度谱如图1.3所示。
    的函数,理想矩形射频脉冲串幅度谱如图1.3所示。
   
假如 s ( t ) 有寄生调制信号,则其谱密度就不是理想谱了。也就是说,载频主谱线周围会产生寄生输出,有时在远离主谱线的地方也会产生寄生输出。对确定性的寄生调制,反映在谱密度上为线状谱,也叫离散型寄生谱。对随机性的不稳定,则反映为分布状谱,也叫分布型寄生谱。图1.4所示为一个连续波雷达信号在载频附近处的功率谱密度分布。
 
    图1.3 理想矩形射频脉冲串幅度谱
 
    图1.4 一个连续波雷达信号在载频附近处的功率谱密度分布
由图1.4可见,发射信号的谱密度在傅里叶频率轴上的分布是不对称的。发射机中表示信号稳定度不能类似于接收机中定义噪声系数那样单纯地只用一个数来表示,而必须表示出其分布,指出信号在偏离载频 f m 处的谱密度分布,并进一步指明谱密度的分布是上边带,还是下边带。因为一般情况下,信号寄生调制既有调幅,又有调相(调频),因而其谱密度分布在载频两侧不对称(见图1.4)。同时,联系到雷达信号的射频频谱测试问题,以这种方式表示信号稳定度的方法还是不完善的,因为它没有指明这些附加寄生分量是由哪种不稳定性产生的,信号的振幅、频率(相位)或脉冲重复频率不稳定等都会引起射频频谱中寄生边带的产生,为了提高发射机的稳定度,找出不稳定的原因很重要。
对射频信号的某项不稳定情况来说,它们对于信号频谱的影响相当于把某项不稳定量的基带频谱移动到载频的两侧,形成载频两侧寄生的对称分布的频谱。例如,前面图1.2所示的是仅有寄生调相的信号,它的一对离散性边频为周期性寄生调相所造成,而分布的上、下边带为随机性寄生调相产生的,且每个单项不稳定产生的频谱分布是对称的,因此在度量信号稳定度时只要取一个边带的值就可以了。也就是说,对确定性的不稳定,信号的频域稳定度可用该离散谱的一个边带的功率与载频功率之比来表示(以分贝计)。对于随机性的不稳定则以该分布性谱的每单位频带上的单边带功率与载频功率之比来度量,即以dB/Hz计。此值与偏离载频( f m ) 的大小有关,可用 δ ( f m ) 来表示,通常把该值称作信号的频谱纯度;而在表述频率合成器输出信号质量时称为单边带相位噪声。可以把这个概念应用到其他表示信号不稳定度的度量方法中去。
早期的一般频谱分析仪,它的动态范围和分辨率不能满足精确测试单位频带相位噪声的要求,随着技术的进步,一些高质量的频谱分析仪可以较精确地测试单位频带相位噪声值,这些仪表的分辨率带宽和视频带宽可达10Hz、3Hz或1Hz。如果仪表带宽达不到1Hz,如为Δ B (Hz),那么所测得的分贝数与 δ ( f m ) 的关系可近似为
 
   (1.17)
现代雷达对信号的频谱纯度提出了严格要求,如对脉冲多普勒雷达的典型要求须优于-80dB。为了满足信号频谱纯度要求,对发射机必须进行有针对性的精心设计。
发射机全机效率一般定义为发射机输出高频功率与交流供电(市电)或发电机的输入功率(应包括冷却用电)之比。连续波雷达发射机效率较高,脉冲雷达发射机效率较低,尤其是高峰值功率、低工作比的脉冲发射机;速调管、行波管发射机效率相对较低;磁控管、前向波放大管发射机效率相对较高;分布式全固态发射机效率比较高。