



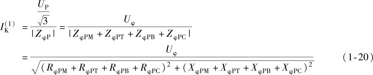
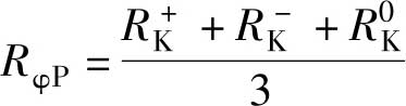
无限大容量配电网是一个相对的概念,它是指电力系统的容量相对用户电网容量要大得多。如果电力系统容量大于用户电网容量50倍,或者短路点距离电源比较远使得系统阻抗大约为短路总阻抗的5%~10%,在这两种状态下系统母线上的电压基本不变。
我们设系统阻抗为 Z ,短路总阻抗为 Z K ,并且 Z =(5%~10%) Z K ,系统电压为 U P 。于是当配电网发生短路时,用户电网电压或者短路点电压 U 的表达式为
我们看到短路前后电压 U 基本不变,我们把具有这种特性的电网称为具有无限大容量的配电网。无限大容量配电网通常是指中、高压配电网,电压 U 特指电力变压器中、高压侧的母线电压。
低压配电电源一般是10/0.4kV的电力变压器,相对中、高压配电网低压配电网的电源和线路阻抗要大得多,因此低压配电网不属于无限大容量配电网。
尽管如此,由于短路时间十分短暂,我们在考虑低压配电系统时仍然能按短路前后系统电压基本不变来计算短路电流,只有当发生深层短路时变压器低压侧的电压才显著跌落。即便发生了深层短路,变压器中压侧的电压仍然保持基本不变。
所谓深层短路是指发生短路后短路电路的保护装置未动作,使得短路电路出现了稳态的短路电流,10/0.4kV的电力变压器低压侧电压将会大幅跌落,低压配电网电源侧母线电压将跌至额定电压的50%以下,而低压配电网末端的电压则将跌至额定电压的15%以下。
无限大容量配电网的三相短路如图1-2所示。
供电系统发生短路故障前,电路中流过的是正常的负荷电流,这时系统处于正常运行的稳定状态。当发生短路故障后,系统进入了短路过程中。从图1-2中我们看到,系统中存在电感元件,电感元件的特性就是不允许流经电感的电流产生突变,必须经过一段时间后才能由正常运行的稳定状态转入深沉短路的稳定状态。我们称此过渡过程为短路电流的暂态过程,把深沉短路过程称为短路电流的稳态过程。
图1-2 无限大容量系统的三相短路
我们来看图1-3。
图1-3 短路电流分析
图1-3中:
i p / I p ——短路电流交流分量瞬时值/短路电流交流分量有效值;
i g / I g ——短路电流直流分量瞬时值/短路电流直流分量有效值;
i sh / I sh ——短路电流全电流瞬时值/短路电流全电流有效值;
i pk / I pk ——冲击短路电流峰值的瞬时值/冲击短路电流峰值的有效值;
I S ——短路电流在第一个半周期内的有效值;
i k / I k ——持续短路电流瞬时值/持续短路电流有效值;
u ——配电网电压;
i ——配电网中正常的工作电流;
ϕ——u 与 i 之间的相位差。
图1-3中正常状态下 U 与 I 的波形在时间零点的左侧,这时线路中流过的电流是负荷电流 I ,也即正常运行稳态过程。
当配电网在时刻零发生了短路,系统由正常运行过程转入短路暂态过程。由于短路前后电压 U 基本不变,电压 U 在短路电路的线路阻抗和短路阻抗上产生了短路电流。从图1-3中我们看到短路全电流 i sh 分为短路电流的交流分量 i p 和短路电流的直流分量 i g 。
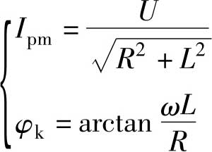
短路电流交流分量 i p 符合欧姆定律,它在任意瞬间的值均取决于电压 U 与短路阻抗之比。短路电流交流分量 i p 的表达式如下:
式中 i p / I p ——短路电流交流分量(周期分量)的瞬时值/有效值;
φ k ——短路电流交流分量的阻抗角。
短路前的工作电流 I 在 t =0时刻突然变大成为短路电流交流分量的初始值。根据磁链守恒定律和楞次定律,在 t =0时刻,电感的反向电动势将产生一个与交流分量 i p (0+)大小相等方向相反的直流电流 i g , i g 是一个逐渐衰减的直流电流,其衰减时间与短路线路的阻抗有关,所以 i g 又被称为短路电流的直流分量,有时又称为短路电流的非周期分量。
短路全电流 i sh 的表达式如下:
式中 α ——当 t =0时,电压的初相角;
φ
k
——电流与电压的相位角,
;
τ
——时间常数,
;
ω ——电源角频率。
由式(1-2)可知,短路全电流 i sh 包括了两部分,一部分是短路电流交流分量 i p ,另一部分是短路电流直流分量 i g 。短路电流交流分量 i p 在电路参数为已知时它的幅值不变,短路电流直流分量 i g 则依照指数规律衰减。因此,短路电流交流分量 i p 的初始值越大,则短路全电流 i sh 的最大值也就越大。
我们来分析短路全电流 i sh 最大值 i sh.max 。
1)如果短路前电路处于空载状态,即工作电流 I =0;
2)短路回路为纯感性回路,则感抗必电阻大得多,也即tan φ k =∑ X /∑ R 趋于无穷大,则 φ k =90°;
3)短路瞬间电压恰好过零,则初相角 α =0。
将这些初始条件代入式(1-2),得到
如果交流电的频率为50Hz,则当短路后半个工频周期 t =0.01s时,短路全电流 i sh 取最大值 i sh.max 。 i sh.max 又被称为冲击短路电流峰值 i pk 。
注意到在 t =0时刻,电感产生的反向电动势使得短路电流的直流分量和交流分量方向相反,于是有
式中 K sh ——短路冲击系数。
当短路线路中只有电感 L 而电阻 R 为零的条件下,时间常数 τ =∑ L /∑ R =∞。代入式(1-4),得到
由此可推出 K sh =2。注意此时的功率因数cos φ k =0。
若短路线路中只有电阻而∑ X =0,则因为e -0.01/0 =0,代入式(1-4)可得 K sh =1。注意此时的功率因数cos φ =1。
在实际的线路中∑ L 与∑ R 是同时存在的,所以必然有
从式(1-2)到式(1-5)中可知:当电压的初相角 α =0、π和2π且电流与电压的相位差 φ k =π/2时,短路电流最大,且其功率因数为cos φ k =0,此时的电路的性质为纯电感电路。
若断路器在纯电感电路下分断短路电流时恰好电压取最大值而电流正好过零,则断路器的灭弧过程最为困难。对于纯电阻电路,因为电压和电流同时过零,因此断路器的灭弧过程相对容易。
有关功率因数、电压与电流的相位差 φ k 、阻抗比、冲击系数 K sh 和峰值系数 n 之间的关系,见表1-11。
表1-11 功率因数、电压与电流的相位差 φ k 、阻抗比、冲击系数、峰值系数之间的关系
(续)
从表1-11中,我们会发现功率因数从1减小到0时,冲击系数 K sh 从1.0增大到2.0,而峰值系数 n 则从1.414增大到2.828。
在短路的稳态过程,短路电流直流分量已经衰减完毕,所以有
i sh = i p = i k
也即在短路稳态过程中,短路全电流
I
sh
(有效值)等于短路电流交流分量
I
p
(有效值),也等于持续短路电流
I
k
(有效值)。因此中、高压电网中发生三相短路时,三相短路冲击电流
的计算式是
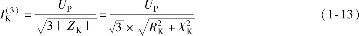
电力系统中把1kV以下的电网称为低压电网,低压电网短路电流的计算方法特点如下:
第一个特点 : 电力变压器中压侧电网为无限大容量系统 , 故短路前后电压基本不变 。
由于低压电网的电力变压器都是降压变压器,其容量远小于中压侧电力系统的容量。又因为电力变压器低压侧绕组阻抗与线路阻抗之和远大于中压侧系统阻抗,因此电力变压器中侧为无限大容量系统。当低压电网发生短路时,中压侧母线电压在短路前后基本不变。
第二个特点 : 低压电网短路电流计算中不能忽略电阻 。
计算中、高压电网的短路电流时,一般仅仅计算短路回路中的电抗而忽略短路回路电阻。计算低压电网的短路电流时,则要计算短路回路中所有电抗和电阻,例如变压器阻抗、母线槽阻抗、主母线阻抗,以及各开关的触头接触电阻等。
第三个特点 : 低压电网短路电流计算采用有名单位制法及欧姆法 。
低压配电网的电压只有一级,因此低压配电网的短路电流采用欧姆法来计算。欧姆法以计算中阻抗均采用有名单位“欧姆”而得名。欧姆法计算低压配电网短路电流见表1-12。
表1-12 计算低压配电网三相短路电流的欧姆法
当发生三相短路时,短路后的三相电流虽然增大了,但三相电流的相位差仍然为120°,电压幅值之间也维持正常的关系,只是幅值极大地增加了,时间也有些迟延。对于相间短路、单相短路和单相接地故障,我们发现很难用常规方法来分析,这时要用非对称法来分析。
我们来看图1-4。
图1-4 正序分量、负序分量和零序分量
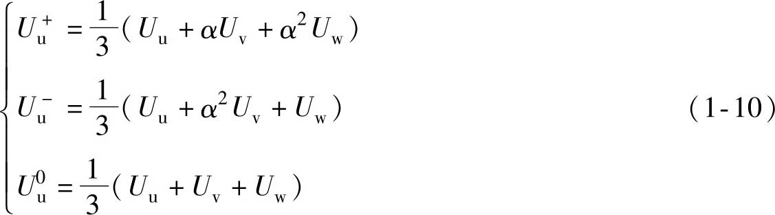
从图1-4中最上面的三个图中,我们看到正序分量系统它各个分量按顺时针安排,三相相位差为120°;负序分量系统它的各个分量按逆时针安排,三相相位差也是120°;零序分量系统它的各个分量同向。
再看中间的图:我们将正序、负序和零序的三个同名相量首尾相接,最后形成了 U u 、 U v 和 U w 三个分量。
再看最下面的一张图:我们将这三个分量 U u 、 U v 和 U w 叠加在一起形成新的相量图。我们看到,这新的相量图属于非对称系统。
现在我们反过来想:对于一个非对称的系统,是否可以通过分解它的正序、负序和零序相量后形成三个对称系统,然后用常规的分析方法来研究它的性质及相互关系?答案是肯定的,我们只需将图1-4从下到上来展开即可。这就是正序、负序和零序的分析方法。
令 α =e 120° =∠120°,于是 α 2 =∠120°×∠120°=∠240°=∠-120°=e -120° = -α 。注意这里的相量写法,既可以写成指数式,也可以写成幅角式。
从这里我们看到,将某相量乘以 α 后相当于逆时针旋转了120°,所以定义 α 为旋转因子。我们将旋转因子应用在图1-4中,得到
将这个结果代入图1-4中间三个式子后,得到
注意这个方程组的系数行列式:
根据克莱姆法则,我们知道如果方程组的系数行列式不等于零,则方程组必有唯一解。于是有
我们由此求出了U相或者L1相的三个电压分量。同理,也可以求出V相或者L2相的三个电压分量,以及W相或者L3相的三个电压分量。
U
u
、
U
v
、
U
w
被称为三相不对称系统的电压,
被称为三相不对称系统的正序分量,
被称为三相不对称系统的负序分量,
被称为三相不对称系统的零序分量。
注意到此方法中会不断地使用迭加原理。迭加原理是电路分析所有方法中唯一与电路尺寸无关、与频率无关的分析方法。这一点非常重要。例如,我们要对电视天线来应用基尔霍夫电压定律(KVL)和基尔霍夫电流定律(KCL),但是它的电路尺寸接近于1/4波长,所以是大尺寸电路。大尺寸电路中各部分的电压代数和不等于零,节点的电流代数和也不等于零,KCL和KVL失效,但是迭加原理依然成立。
明白了正序、负序和零序的意义,我们就可以计算低压系统的相间短路和单相短路了,注意到这两种短路都属于非对称系统。
电力系统中诸元件在正序电压和电流、负序电压和电流,还有零序电压和电流的作用下呈现出某种确定的阻抗特性,这种阻抗特性被称为序阻抗。我们来看看变压器及线路的序阻抗关系:
1)变压器。
对于三角形联结变压器,零序电流呈环流流通,然而出线端并无零序电流;对于无中性线之星形联结变压器,其各相绕组及引出线上亦无零序电流;仅对有中性线之星形联结变压器,零序电流方能流经其绕组及引出线,且中性线之零序电流三倍于绕组之零序电流。
2)线路。
线路的零序电抗比正序及负序电抗要大,且正序、负序及零序电阻也不尽相同。由于此三种电阻之间的差异很小,故予以忽略。
对于三相四线制的系统,其中性线的零序电流是相线零序电流3倍,故用单相等效电路计算中性线零序阻抗时需取3倍值。
且看正序等效定则的表达式:
式中 ( n )——短路类型;
——与某类型短路电流对应的正序分量值;
——电源相电压的正序分量,
=
U
φ
,即电源相电压正序分量等于相电压;
——故障回路总正序阻抗,其值等于三相短路阻抗;
Z α( n ) ——与短路类型有关的附加阻抗。
与各种类型短路对应的 Z α( n ) 和 m ( n ) 见表1-13。
表1-13 与各种类型短路对应的 Z α ( n ) 和 m ( n )
表1-13中, Z -和 Z 0 为负序阻抗和零序阻抗,忽略发电机后有 Z -= Z + 。
当发生非对称短路时,短路点正序电流的值与此点上各相串联附加阻抗 Z α( n ) 后的三相短路电流之值相等,也即正序等效定则。
求出
后,短路点的短路电流值为
式中
——某型短路电流值;
m ( n ) ——与短路类型有关的系数,见表1-13;
——与短路电流正序分量。
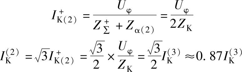
【 例1-2 】相间短路电流与三相短路电流之比
解 :
由式(1-11)和式(1-12)可知
故相间短路电流与三相短路电流之比是0.87。
在低压配电网中,短路有可能发生在三根相线之间,或者两根相线之间,也有可能发生在相线与中性线之间。这三种情况的短路电流是不一样的。另外,短路既可能发生在低压成套开关设备的进线回路之前,也与可能发生在低压成套开关设备进线回路之后,以及馈电回路或者馈电线路中。
发生在低压进线回路或者主母线上的短路过程,我们把它称为电源侧的短路;发生在馈电线路或者下级配电设备中的短路过程,我们把它称为线路侧的短路。综合起来共有6种短路状态,见表1-14。
表1-14 低压电网的短路状态
在表1-14中,
Z
为线路阻抗,
Z
N
为中性线N的线路阻抗;
和
为单相短路、两相之间和三相之间的短路瞬态电流。
当发生三相短路时,各相电压的瞬时值不相等,彼此相差120°的电角度,因此各相短路电流的周期分量和非周期分量的初始值也不相等。如果三相短路时的A相短路电流 I ka 正好取最大值,则B相的短路电流 I kb =0.5 I ka ,但方向与 I ka 相反;C相的短路电流 I kc =0.5 I ka ,方向也与 I ka 相反。显然B相和C相的短路电流都小于A相的短路电流。
冲击短路电流峰值只能发生在一相内。其余两相中由于短路电流的周期分量较小,冲击短路电流峰值也较小。在任何瞬间,三相短路电路中的短路电流非周期分量的总和为零。
从表1-14中看出,在电源侧发生的最大短路电流出现在变压器低压侧接线端直接三相短路,以及单相对中性线N短路。
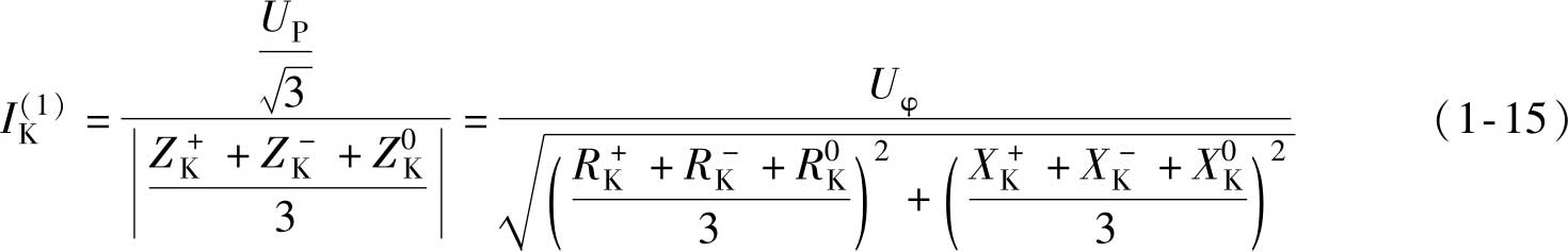
式(1-13)、式(1-14)和式(1-15)中:
Z ——短路线路的正序、负序和零序阻抗,单位均为mΩ;
R ——短路线路的正序、负序和零序电阻,单位均为mΩ;
X ——短路线路的正序、负序和零序电抗,它们的单位均为mΩ;
U φ ——系统标称相电压;
——单相、相间和三相短路电流,单位为kA。
在式(1-13)、式(1-14)和式(1-15)中,正序、负序和零序阻抗包括四个部分:中压侧的系统阻抗、变压器的阻抗、低压母线阻抗和低压电缆阻抗。
以TN-C接地系统为考察对象。由于低压系统中不但有相线,也有PEN线,计算相线阻抗和PEN线阻抗的规律性是:
1)在低压线路中,正序、负序的三相电流是平衡的,它们不可能流过PEN线,因此正序和负序阻抗中只有相阻抗;
2)零序的三相电流,它们的相位相同,因此有三倍的零序电流流过PEN线,故零序阻抗不但有相线零序阻抗,还有三倍的PEN线零序阻抗;
3)线路中正序和负序阻抗相等。
由此可知,当低压配电网线路中发生单相短路时,其线路部分的阻抗计算为
式中
——分别为线路中的正序、负序和零序电阻。
令
于是得到
同理,我们可以得到电抗部分的计算式:
式中
——分别为线路中的正序、负序和零序电抗。
最后,我们得到线路中的相线与保护线的合成阻抗为
Z φP = R φP +j X φP
Z φP 简称为相保阻抗。
1)中压部分:中压部分不可能有中性线和PE线,因此相保阻抗就是相计算阻抗:
2)变压器部分:变压器相保阻抗只有相阻抗:
3)母线部分和电缆部分:母线的相线和PEN线合并阻抗:
电缆的相线和PEN线合并阻抗:
4)用相保阻抗来计算单相短路电流:
我们看到,这里是将四种相保阻抗给合并了,其中
U
φ
是系统标称相电压,取为0.23kV,而
就是单相短路电流,单位为kA。
从以上分析中我们看出,低压配电网三相短路电流的计算十分繁复。我们要问:是否存在简化计算方法呢?答案是肯定的。
对于一级低压配电设备,我们考虑它所承受的短路电流时,应当按短路电流的最大值来考虑。为此,计算短路电流时可忽略连接变压器与低压成套开关设备进线回路之间母线槽阻抗或者电力电缆阻抗,认为变压器低压侧绕组直接与进线回路相接。低压配电网中最大短路电流发生在低压成套开关设备的主母线上,所以计算低压配电网短路电流时只需要考虑变压器短路参数即可。
电力变压器短路参数中最重要的是短路电流周期分量 I P 、冲击短路电流峰值 I PK 和持续短路电流 I k 等。为了计算方便,GB/T 7251.1—2013标准中给出了峰值系数表。在峰值系数表中, n 是冲击短路电流峰值 I PK 与短路电流稳态值 I k 的比值,只要知道了变压器的持续短路电流 I k ,就可以利用峰值系数 n 计算出冲击短路电流峰值 I PK ,见表1-15。
表1-15 试验电流、cos φ 、时间常数 τ 和峰值系数 n 之间的关系
低压成套开关设备的峰值耐受电流与短时耐受电流之间的关系见GB/T 7251.1—2023。
标准摘录:GB/T 7251.1—2023《低压成套开关设备和控制设备 第1部分:总则》。
为确定电动应力,峰值电流应用短路电流的有效值乘以系数 n 获得。系数 n 的值和相应的功率因数在表7中给出。
表7 系数 n 的标准值
注:表中的值适合于大多数用途。在某些特殊的场合,例如在变压器或发电机附近,功率因数可能更低。因此,最大的预期峰值电流就可能变为极限值以代替短路电流的有效值。
GB/T 7251.1—2023的表7所列出的数据也可以从GB/T 14048.1—2023的表16中查到。表中的试验电流可以理解为就是变压器的持续短路电流 I k 。
现在我们来看如何从变压器参数得到对应的各项短路电流参数。
如果知道了电力变压器的容量 S n ,则可以根据 S n 的值得到变压器的额定电流 I n :
式中 S n ——变压器的容量;
U P ——变压器低压侧线电压。
知道变压器的额定电流 I n 后,可以计算出变压器的短路电流 I k :
式中 I n ——变压器的额定电流;
U k %——变压器的阻抗电压。
变压器阻抗电压 U k %是电力变压器的一项重要参数,它是变压器额定电流 I n 与变压器短路电流 I k 的比值。
知道了变压器的短路电流 I k 后,可以通过查表得出峰值系数 n ,然后再计算出冲击短路电流峰值 i pk :
式中 i pk ——冲击短路电流峰值的有效值;
n ——峰值系数。
表1-16中列出常见的变压器容量与短路电流对应关系。
表1-16 变压器容量与短路电流的关系(变压器低压侧线电压为交流400V)
变压器实际铭牌值与此表中的计算值略有偏差,但在允许范围之内。
从以上分析中我们看到,这种方法极大地简化了低压配电网短路电流的计算。
【 例1-3 】用非对称分析方法计算低压配电网短路电流实例,如图1-5所示。
图1-5 用于短路计算的范例图
解 :
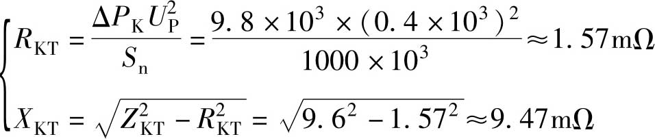
一般性原则:变压器一次侧系统阻抗中电阻按电抗的10%估算,电抗等于系统阻抗的99.5%。若中压电网的容量为200MV·A,则从低压侧看中压,其系统阻抗| Z M |为
所以变压器10kV一次侧的系统阻抗为
由此可以推得变压器10kV一次侧的相保阻抗
变压器的零序阻抗、正序阻抗和负序阻抗均相等,都等于短路阻抗,所以变压器的阻抗为
继续计算时需要知道变压器的铜损,查表得知,1000kV·A电力变压器的铜损Δ P K 约为9.8kW,以此值代入:
故得相保阻抗为
查设计手册,得知该母线每千米长度阻抗如下:正序阻抗:电阻为0.028mΩ,电抗为0.170mΩ;相保阻抗:电阻为0.078mΩ,电抗为0.369mΩ。又知母线槽的长度 L B1 =8m,于是可计算出母线槽的线路阻抗为
母线槽的相保阻抗为
B2段主母线的截面与B1段母线槽相同,只是长度不同, L B2 为12m,故两者计算方法一致,计算得B2段主母线的线路阻抗为
B2段主母线的相保阻抗为
查设计手册,得到电缆每千米单位长度阻抗,正序:电阻0.240mΩ,电抗0.076mΩ;相保:电阻0.977mΩ,电抗0.161mΩ。因为电缆的长度 L WL 是100m,所以可计算出其线路阻抗为
电缆的相保阻抗为
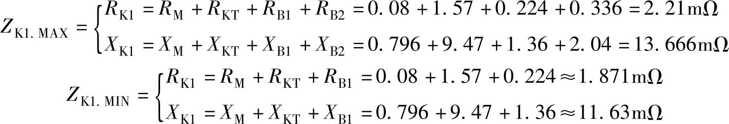
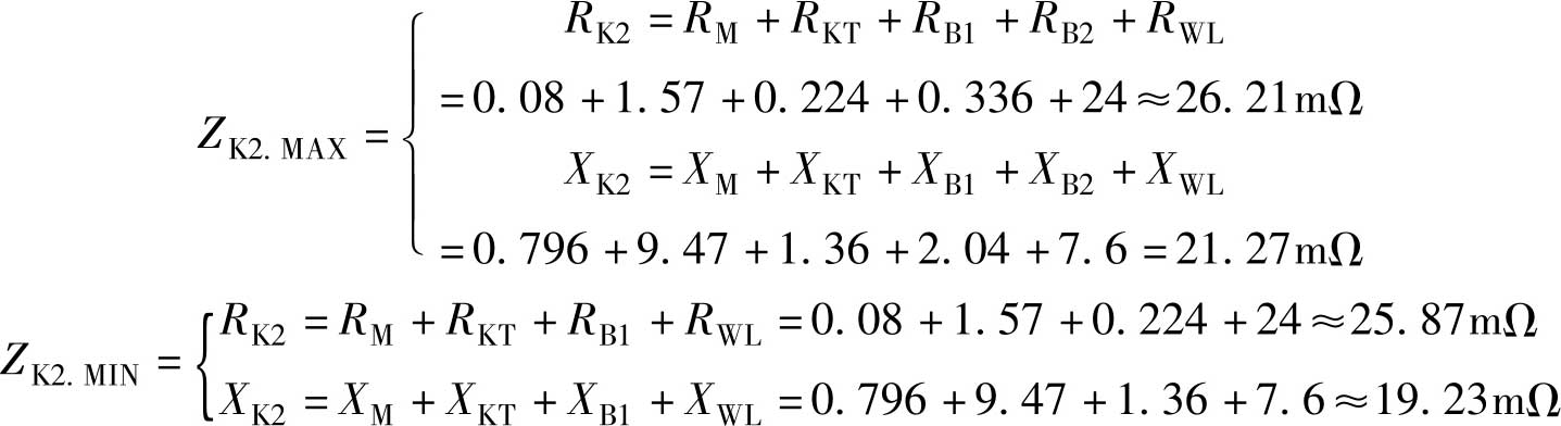
在计算K1点的回路总阻抗时,我们会遇见一个问题,就是B2母线段的长度问题。
我们知道,在低压成套开关设备中,各个馈电回路在主母线上所处的位置不尽相同,对于具体的馈电回路K1来说,它的短路回路总阻抗也应根据所处位置主母线的实际长度来取值。为了计算方便,我们将K1点短路回路总阻抗按主母线总长度取最大值和零值来分别计算。
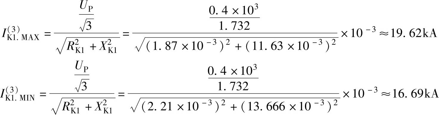
K1点的短路回路总阻抗为
K1点的三相短路电流的最大值
和最小值
分别为
K1点的相保阻抗为
K1点的单相短路电流的最大值
和最小值
分别为
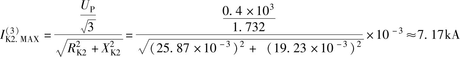
与计算K1点短路电流时类似,K2点的短路电流也有最大值和最小值。
K2点的短路回路总阻抗为
K2点的三相短路电流的最大值
和最小值
分别为
K2点的相保阻抗为
K2点的单相短路电流的最大值
和最小值
分别为
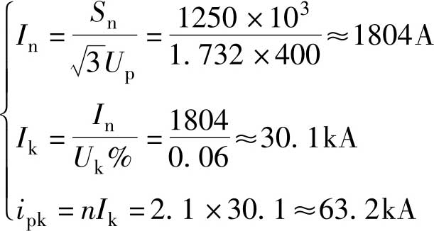
9.计算短路电流的实例之二 (本书推荐的方法)
【 例1-4 】用简便方法计算低压配电网短路电流。见图1-5。
解 :我们对图1-5的K1点利用简化方法再次进行短路电流计算:
首先计算变压器低压侧的额定电流 I n :
再计算短路电流 I k :
对于低压开关柜来说,馈电回路的分断能力可取0.75~1.0倍的主进线分断能力,我们不妨就按0.75倍来计算,于是K1点的三相短路电流:
I K1 =0.75 I k =0.75×24.05≈18.04kA
这里的计算得到的结果18.04kA比用非对称法计算获得的结果17.45kA要略大一些,偏差百分位数是
为什么会有偏差呢,其原因就是方法二忽略了母线槽的阻抗和变压器的阻抗。方法二将变压器的短路电流直接加载到低压成套开关设备中,所以方法二得到的短路电流比方法一略大,但方法二要比方法一简便得多。
本书在随后的各章节中都利用简化方法计算短路电流。
在许多工厂、楼宇、船舶和石油钻井平台、移动基站、机场等项目中,平时由市电电源通过变压器向负荷提供电能,当市电电源故障时则转由发电机向负荷提供电能。
不管是市电供电(变压器供电)或者发电机供电,低压电网中发生了短路都属于很严重的事故,但是变压器产生的短路电流与发电机产生的短路电流有着显著不同。由发电机供电的低压配电网短路故障电流属于有限容量配电网的短路电流。以下对发电机产生的短路电流给予简要分析。
当发电机的外部线路在接近定子端口处发生短路时,发电机会产生接近纯感性的短路电流 i k ,同时在定子回路中产生磁通 Φ k ,其方向与正常时励磁磁通 Φ cx 正好相反,由此形成去磁作用,见图1-6。
图1-6 当外部电网发生短路时发电机内部的磁通关系
根据楞次定律(磁链守恒定律),我们知道穿过绕组的磁通不能突变,于是发电机转子的励磁绕组和阻尼绕组中都出现感应电流 i fk 和 i dk ,产生了与 Φ cx 方向相同的磁通 Φ fk 和 Φ dk ,且有 Φ k = Φ fk + Φ dk ,使得发电机气隙中的总磁通不变。
虽然短路瞬间发电机的电动势不变,但 i fk 和 i dk 迅速衰减,短路电流 i k 的去磁作用显著增加,使得发电机总磁通减少,进而使发电机的感应电势和短路电流周期分量 i p 逐渐减小。经过3~5s的时间后,发电机进入短路后的稳定状态。
发电机都装有自动调节励磁装置,它能实现电压自动调节。当发电机外部出现短路时,发电机的端电压急剧下降,自动调节励磁装置产生动作,使得励磁电流加大,发电机端电压回升。由于自动调节励磁装置反应时间的滞后作用,以及发电机励磁绕组的电感效应,励磁电流需要经过一段时间后才能起作用。于是,发电机短路电流周期分量 i p 先衰减后上升,最终进入稳定状态,其变化曲线如图1-7所示。
发电机的短路过程会经历三个不同的阶段。
在次瞬态阶段,短路电流会达到发电机额定电流的6~12倍,时间是数十毫秒。在这阶段,短路电流的直流分量 i g 从最大逐渐衰减到零。短路电流交流分量 i p 与直流分量 i g 共同叠加产生了冲击短路电流峰值 i pk 。
在瞬态阶段,短路电流会迅速地降低到最低值 i pmt , i pmt 约为 I n 的1.5~2倍,时间是20~500ms。
在稳态阶段可分为两种不同的情况。
图1-7 发电机短路电流的曲线
情况1:
短路过程中发电机的励磁不增加,发电机定子线圈产生的磁场也不增加,不会出现过励磁现象。此时短路电流值由发电机同步电抗 X d 决定,由于短路时 X d 不大于两倍典型值,因此短路电流通常维持在0.5 I n 左右。
情况2:
发电机处于最大励磁状态或者复合励磁状态,励磁冲击电压会使得短路电流持续存在10s左右,同时短路电流值维持在2~4 I n 。
对于发电机来说,瞬态阶段和稳态阶段的短路电流分析是发电机短路电流估算的关键。
式中 I k ——发电机短路电流;
I n ——发电机额定电流;
X d ——发电机瞬态短路阻抗或稳态短路阻抗,表达为额定电压的百分位数;
i pk ——发电机产生的冲击短路电流峰值。
【 例1-5 】计算容量为2000kV·A发电机的短路参数
解 :对于2000kV·A的发电机,其额定电流为
若发电机的短路阻抗 X d =30%,于是发电机的短路电流 I k 为
例1-5中短路电流 I k 与发电机额定电流 I n 之比就是 X d 的倒数,也即1/ X d ≈3.3。
从例1-5中我们看到,发电机的短路电流 I k 不超过发电机额定电流 I n 的4倍,即
式(1-25)为我们计算发电机短路电流提供了方便。
发电机并列时要根据发电机进线柜在低压成套开关设备中的位置来判断主母线上流过的短路电流,所以主母线上的短路电流为
式中 I k ——发电机短路电流;
I s ——低压成套开关设备主母线上的短路电流;
N ——并列的发电机台数。
对于馈电回路的断路器,其短路分断能力 I cu 一律按发电机短路电流之和来考虑。即
式中 I cu ——馈电断路器的额定极限短路分断能力;
N ——并列发电机的数量;
I k ——发电机的短路电流。
比较式(1-22)和式(1-24),我们发现发电机短路电流计算方法和变压器短路电流计算方法很类似:对于发电机,将额定电流 I n 除以短路阻抗 X d 即得短路电流 I k ;对于变压器,将额定电流 I n 除以阻抗电压 U k %即得短路电流 I k 。无论是 X d 还是 U k %,它们都是用百分位数来表达的。
我们来看发电机的冲击短路电流峰值 i pk 与变压器冲击短路电流峰值 i pk 相比较:
注意:发电机在次瞬态阶段会产生最大3倍 I k 的冲击短路电流峰值 i pk ,而变压器在短路暂态过程产生最大为2.2倍 I k 的冲击短路电流峰值 i pk 。可见,同等容量下发电机产生的冲击短路电流峰值大于变压器产生的冲击短路电流峰值。
我们在选用变压器低压侧进线断路器时,总是让断路器的极限分断能力 I cu 大于或等于 I k ,忽略了 i pk ,为什么呢?因为断路器的短路接通能力 I cm 等于2.2 I cu ,所以断路器能够承受短路后10ms时冲击短路电流峰值 i pk 产生的短路电动力冲击。
对于发电机,我们必须让断路器的 I cu 大于或等于3倍的 I k ,此断路器才能够承受短路后20毫秒时冲击电流峰值 i pk 产生的电动力冲击。
电动机是供电系统中最主要也是最常用的负荷。当低压配电网发生短路时,低压配电母线的电压大幅跌落,而电动机由于转动惯量的原因,电动机的转速不能立即降到零,电动机接线盒上的电动势大于母线上的残压,于是电动机就向低压配电网的短路点反馈电流。
如果电动机的功率较大,则电动机向短路点反馈的冲击电流不能忽略。电动机馈送的冲击电流衰减很快,它能让电动机得以迅速制动停机,同时冲击电流的频率也随之迅速降低。
异步电动机产生的短路冲击电流可按下式计算:
式中 i p.m ——电动机短路冲击电流;
E ″——电动机次暂态电动势标幺值;
X ″——电动机次暂态电抗标幺值;
K sh ——电动机反馈电流冲击系数,高压电动机取1.4~1.6,低压电动机取1.0;
I n ——电动机额定电流;
N ——低压配电网同一段故障母线中相同容量的最大电动机数量。
对于低压电动机,常常用电动机全起动冲击电流(尖峰电流)来代替电动机短路冲击电流。也即用下式近似计算:
式中 i p.m ——电动机短路冲击电流;
K st.max ——电动机起动冲击电流系数,取值为10~16.8;
I n ——电动机额定电流;
N ——低压配电网同一段故障母线中相同容量的最大电动机数量。
于是当低压配电网发生短路时,短路点的总冲击短路电流为
式中 i ∑P ——短路点总冲击短路电流;
i pk ——冲击短路电流峰值;
i p.m ——电动机短路冲击电流。
【 例1-6 】某低压配电网的降压电力变压器容量为2000kV·A,其阻抗电压为6%,冲击短路电流峰值 i pk 为101kA。负载中有2台75kW电动机,电动机的额定电流为135A。则低压成套开关设备主母线发生短路时,短路点的总冲击短路电流为
i ∑P = i pk + i p.m =101+16.8×135×2×10 -3 =101+4.536≈106kA
我们看到,电动机产生的短路冲击电流并不大。由此可知,在计算电动机对短路点产生的短路冲击电流时,仅需要对本段母线中最大功率的电动机进行计算即可,不必考虑其他小功率的电动机,更不能将所有电动机的短路冲击电流求和计入总冲击短路电流中。
当电流流过低压成套开关设备内部的母线系统或者载流导体时,电流会对母线系统和载流导体产生电动力作用,低压开关柜的结构件也将承受电动作用力。
首先要明确电流电动力的作用方向。我们来看图1-8。
先来判断磁力线方向:在图1-8a中,我们看到图中两支导线的电流方向是一致的。我们先用右手握住上导线,大拇指指向电流方向,其余四指指向磁力线方向,由此我们判断出:上导线在下导线周围产生的磁力线方向是流入纸面。图中用“╳”作标记;同理,我们用右手握住下导线,大拇指指向电流方向,于是下导线在上导线周围产生的磁力线方向是流出纸面的,图中用“●”作标记。
再来看作用力方向:在图1-8a中,我们用左手的四指指向上导线的电流方向,手心迎着下导线的磁力线方向(流出纸面),于是左手大拇指的方向指向下导线,这个方向就是电动力 F 的方向;用同样的方法我们发现作用在下导线上的电动力 F 指向上导线。也就是说,当上、下两根导线中的电流方向一致时,两导线之间会产生相吸的电动力。
用同样的方法,我们对图1-8b进行研究,我们发现当上、下导线中的电流方向相反时,两导线之间会产生相斥的电动力。
图1-8 两根平行导线之间的电动力
结论是:当两支导线中的电流方向一致时,导线之间的作用力是相吸;反之,当两支导线中的电流方向相反时,导线之间的作用力是相斥。
计算矩形母线间短路电动力的方法源于毕奥-萨伐尔定律。见式(1-32)。
设两支铜排中流过的电流分别是 I 1 和 I 2 ,于是铜排之间的作用力是
式中 F ——矩形铜排之间的电动力(N);
K c ——矩形铜排截面系数;
I 1 ——第一支矩形铜排中流过的电流(A);
I 2 ——第二支矩形铜排中流过的电流(A);
L ——矩形铜排长度(m或mm,与 a 的单位统一);
a ——矩形铜排中心距(m或mm,与 L 的单位统一)。
式(1-32)中的截面系数 K c 很关键,它反映了导体或者铜排截面对电动力的影响。我们来仔细研究一下矩形铜排截面系数 K c 的问题,我们来看图1-9。
图1-9 铜排的截面系数 K c 计算用图
图1-9中的右下方绘出了两支铜排。设铜排中心距是 a ,宽度是 b ,高度是 h 。其中 b/h 和( a-b ) / ( h + b )这两个参数与铜排间短路电动力密切相关。图1-9表达的是不同 b/h 值下矩形铜排截面系统 K c 与( a-b ) / ( h + b )的关系。
设低压成套开关设备主母线的铜排规格为:宽×厚=100×10,于是对于不同的铜排中心距,我们依据图1-9中的数据得到如下一系列 K c 值:
我们知道低压成套开关设备带电体之间的电气间隙不得小于25mm,所以异相铜排之间的距离最小值也为25mm。查上表后得到 K c =0.1。将 K c =0.1代入式(1-32),得到
式(1-33)中,电流 I 、 I 1 和 I 2 的单位是kA,电动力 F 的单位是N。式(1-33)的上式对应于两支铜排中电流不相等的情况,式(1-33)的下式则对应于电流相等的情况。
虽然式(1-33)是用100mm×10mm的铜排截面推导出来的,但它适用于铜排宽度为60mm、80mm、100mm和120mm,厚度为6mm、8mm和10mm等各种情况。式(1-33)是通用表达式。
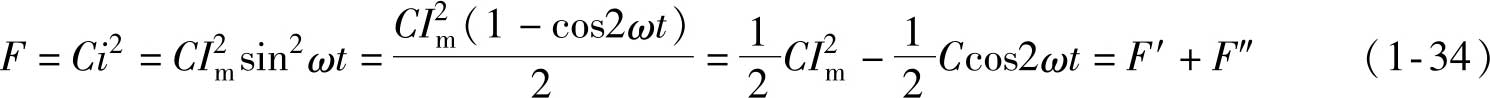
我们再来分析短路电动力波形曲线。设电流 i 流过矩形铜排,由式1-33我们知道电动力 F 与电流 i 的二次方成正比,于是流过矩形铜排的电流产生的电动力 F 表达式为
式中 C ——电动力系数,对于矩形母线,由式(1-33)可知 C =0.2 L/a ;
i ——流过矩形铜排的电流, i = I m sin ωt 。
F ——电动力;
F ′——电动力恒定分量;
F ″——电动力交变分量。
电流 i 与电动力 F 的波形曲线如图1-10所示。
式(1-34)告诉我们,导体所受短路电动力由恒定分量 F ′和交变分量 F ″构成。 F ′反映的是交流电动力的平均值, F ″反映的是交变量,它以两倍于电流频率而变化。我们在图1-10中看到 F 的方向不变(始终在时间轴的上方)但存在大小变化, F 的最大值为恒定分量的两倍,最小值为零。
短路全电流 i sh 的波形和短路电动力 F 的波形如图1-11所示。
图1-10 电流 i 的波形曲线与电动力 F 的波形曲线
图1-11 短路全电流 i sh 的波形曲线和短路电动力 F 的波形曲线
图1-11中,我们看到短路全电流 i sh ,它随着直流分量 i g 的衰减而接近时间轴,最后只剩下交流分量 i p 。在这个过程中,短路全电流 i sh 最后演变为稳态短路电流 i k 。注意到 i sh 在第一个半波中出现了最大值 i sh.max ,也即冲击短路电流峰值 i pk 。
我们看图1-11中短路电动力 F 的波形,它的频率为短路电流 i sh 的两倍。短路电动力 F 随时间变化的曲线分为上下两列半波,其中上列半波具有逐渐减小的峰值,而下列半波具有逐渐增大的峰值。当短路电流 i sh 演变为稳态短路电流 i k 后,电动力 F 的上、下两列半波的峰值也趋于相等。
注意:由于单相系统的两导线(母线)电流大小相等方向相反(参见图1-8的下图),故两导线(母线)间的电动力表现为斥力。
图1-12所示为三相直列导体以及电动力正方向。
图1-12 三相直列导体及电动力正方向
设流过三相直列导线的三相电流 i a 、 i b 和 i c 为
这里的 I m 是交流电流最大值, I 是交流电流有效值, ωt 为交流电角频率。
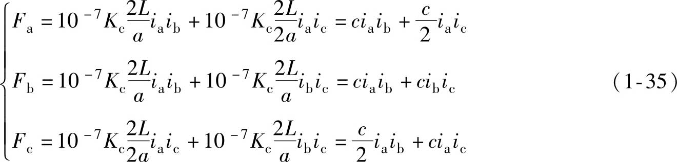
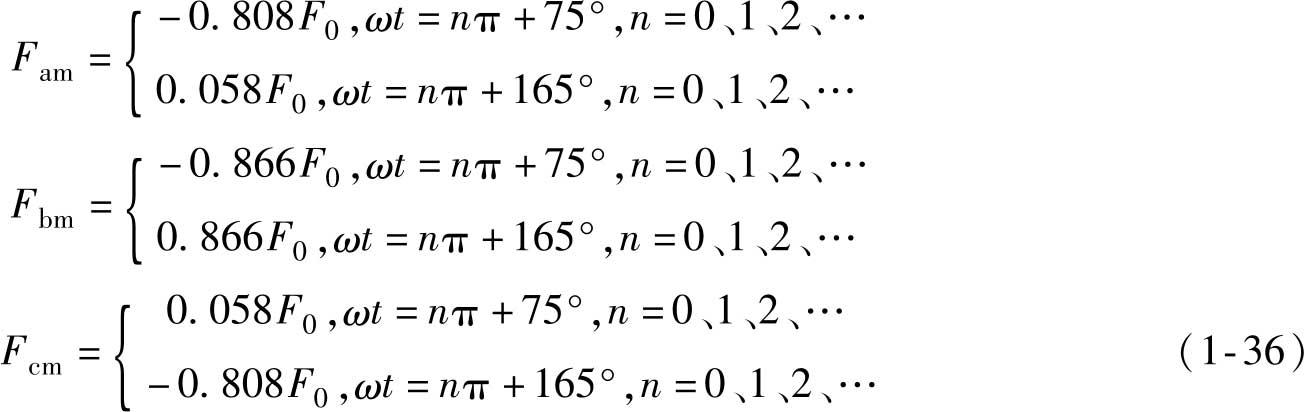
我们注意到图1-12中作用在A相导体上的电动力是B相和C相导体单独电动力的叠加,而B相导体和C相导体所受到的电动力也是其他两相导体单独电动力的叠加,各导体受力见式(1-35)
式中 F a 、 F b 和 F c ——三相导体或者母线所受到的电动力(N);
i a 、 i b 和 i c ——流过三相导体的三相电流(A);
L ——导体或母线长度;
a ——导体或者母线中心距;
K c ——导体或者母线的截面系数;
c ——系数, c =2×10 -7 K c L / a 。
我们把交流电流的表达式代入式(1-35),取
F
0
=
=2
cI
2
,令d
F
/d
ωt
=0以求得最大电动力,得到
式中 F am 、 F bm 和 F cm ——交流电流在三相直列导体间产生的最大电动力;
F
0
——与系统结构有关的基础电动力,
F
0
=
=2
cI
2
。
三相短路属于电路的暂态现象。三相短路电流中既有交流分量也有直流分量,合并后的暂态电流为
上式中的 ψ 和 φ 是交流电压相角及电压相对电流的相角, R 是系统电阻, L 是系统电感量,供配电网中一般取 R / L =22.311/s; I 是电流有效值。我们由此推得最大短路电动力为
式中 F am 、 F bm 和 F cm ——三相短路电动力最大值(N);
F
0
——与系统结构有关的基础电动力,
;
i pk ——冲击短路电流峰值, i pk = nI k ;
I p ——冲击短路电流峰值的有效值。
表1-17是计算低压开关柜内母线短路电动力的计算式汇总。
表1-17 计算低压开关柜内母线短路电动力的方法
【 例1-7 】设图1-13的某低压开关柜中主母线采用80mm×10mm铜排,铜排厚度方向向下竖直安装,三相铜排中心距是60mm。又知主母线总长度为3.8m,电力变压器的容量是1600kV·A,低压侧系统线电压是400V,阻抗电压是6%。求低压开关柜中间相(B相)主母线所受到的短路电动力。
图1-13 某低压开关柜三相主母线
解 :
我们从表1-16中查得,1600kV·A电力变压器低压侧额定电流 I n =2309A,短路电流 I k =38.5kA,冲击短路电流峰值 i pk =80.81kA。
第一步,求截面系数 K c :
在这里, b =10mm, h =80mm, a =60mm。于是有
查图1-8得到, K c ≈0.81。
第二步,计算 F 0 :
由表1-16,得知
第三步,计算B相母线所受短路电动力:
由式(1-37)和表1-16可知:
F
b
=2.80
F
0
=2.80×67000=187000N≈19143kgf
故知:B相母线所受最大短路电动力为187000N,折合19143kgf,相当于19.1吨力。由此可见,当低压开关柜内母线系统发生短路时电动力很大,对开关柜结构件产生强烈的冲击。
当发生三相对称短路时,由于各相短路电流的相位不同,各相短路电流交替地改变大小和方向,三相母线之间的电动力要由电流瞬时值的大小和方向来决定,且中间相主母线承受的短路电动力比侧边相主母线承受的短路电动力要大。
注意:
由式(1-37)可知,位于主母线中间的铜排比位于外侧的铜排所承受的短路电动力要大2.80/2.65≈1.06倍。
对于四极母线系统(主母线为三相相线和N线),在相同的电流值下,单相短路的电动力大于三相短路的电动力。这是因为四极母线系统发生单相短路时,靠近N母线的相铜排与N母线铜排中同时出现大小相等反向相反的冲击短路电流峰值,所以低压开关柜内单相短路时主母线母排承受的短路电动力最大。
理论和型式试验都证明,在低压成套开关设备的四极主母线中,靠近N线铜排的相线铜排与N线铜排之间会出现最大的短路电动力,约为三相短路电动力的2倍。
因此,必须认真仔细地设计低压成套开关设备四极主母线系统的母线夹持件(母线夹)和相关柜体结构。
对于母线夹的材质也要予以关注,除了要确保母线夹的绝缘性能外,更重要的是务必确保母线夹能够承受最大短路电动力的冲击。
低压成套开关设备的动稳定性是指开关设备具有抵御最大瞬时机械作用力的能力。
我们从表1-16中知道,最大短路电动力与冲击短路电流峰值的平方成正比,还与导体长度成正比。相对起低压开关柜中的主母线,低压开关电器的导电部分在长度上则要逊色多了。因此,低压成套开关设备的动稳定性主要是指主母线系统的动稳定性。
在进行低压成套开关设备的型式试验时,让低压开关柜的主母线在0.1s内流过制造厂指定的最大峰值电流。试验后低压开关柜的外形未发生明显变化,柜内导电体仍然满足电气间隙和爬电距离的要求,各个绝缘件特别是主母线的绝缘支撑也即母线夹未出现裂纹,柜内主元件未损坏,则此低压开关柜满足动稳定性要求。
低压开关柜主母线和低压开关电器抵御短路电动力的能力用峰值耐受电流来描述。在GB/T 7251.1—2023中对峰值耐受电流的定义如下:
标准摘录:GB/T 7251.1—2023《低压开关设备和控制设备 第1部分:总则》
额定峰值耐受电流 rated peak withstand current I pk
成套设备制造商宣称的在规定的条件下能够承受的短路电流峰值。
结合前面的图1-3,我们知道冲击短路电流峰值 i pk 出现在短路后0.01s。低压成套开关设备为了能抵御冲击短路电流峰值 i pk 的最大短路电动力冲击,故低压成套开关设备的额定峰值耐受电流 I pk 必须大于 i pk ,并且忍受额定峰值耐受电流 I pk 冲击的时间为0.1s,见任何一款低压成套开关设备有关短路接通能力和分断能力的型式试验报告。
需要特别指出: 低压成套开关设备的动稳定性其符号是 I pk , 这里的 I 是大写 。 变压器产生的冲击短路电流峰值其符号是 i pk , 这里的 i 是小写 。 I pk 与 i pk 不能混淆 。
图1-14所示为ABB公司的MNS3.0低压成套开关设备的主母线照片。
大电流的母线系统往往采用若干支母线构成母线束,例如图1-14中每相有4支60mm×10mm的铜排。当发生短路时,每一支铜排既受到同相母线束中其他铜排给予的吸力,还受到异相铜排给予的斥力,所以每一支铜排受到的短路电动力都是复合力。
从图1-14中我们看到,同相母线束中面多面两支铜排之间的间隔为一倍排厚,即10mm,因此,对于任何一支铜排来说,同相的吸力大于异相的斥力。
图1-14 ABB的MNS3.0侧出线低压成套开关设备后置4000A主母线
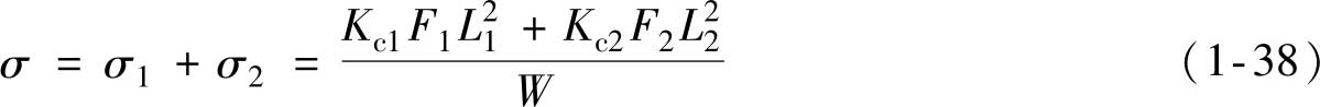
对于主母线来说,应当使母排所受到的应力小于材料的应力值。铜材和铝材的应力值分别为
设邻相铜排之间的电动力应力为 σ 1 ,同相铜排之间的电动力应力为 σ 2 ,则导体中的总应力为 σ 1 + σ 2 。于是两支母线夹之间母线的总应力为
式中 W ——母线抗弯截面系数;
K c1 ——邻相母线之间的截面系数;
K c2 ——同相母线之间的截面系数;
F 1 ——作用于单位长度母线上的邻相母线间的电动力;
F 2 ——作用于单位长度母线上的同相母线间的电动力;
L 1 ——邻相母线之间的距离;
L 2 ——同相母线之间的距离。
在这些参数中,抗弯截面系数 W 反映了母线横截面的形状与尺寸对短路电动力所致弯曲正应力的影响。我们来看一些常见母线截面形式的抗弯截面系数:
短路电动力对母线夹和低压开关柜结构的作用力为
对于母线夹来说,应当选择冲击短路电流峰值产生的短路电动力小于母线夹最小破坏力的60%。即
式中 F ipk ——冲击短路电流峰值对应的最大短路电动力;
F BB.Clip ——母线夹的最小破坏力。
我们看例1-8。
【 例1-8 】设某低压开关柜主母线排列方式如图1-15所示。
图1-15中展现了两种低压开关柜主母线铜排安装方式,其中左图铜排在开关柜后部(单面操作的开关柜)或者中部(双面操作的开关柜)上下排布,属于平躺式安装方式;右图铜排在开关柜柜顶左右排布,属于竖直式安装方式。
设供配电系统电力变压器的容量是1600kV·A,其额定电流是2309A,额定电压是400V(系统线电压)/230V(系统相电压),阻抗电压是6%,短路电流 I k =38.5kA,冲击短路电流峰值 i pk =80.81kA。低压开关柜主母线铜排长度均为4.6m。
1)主母线按垂直方向排列的电动力分析。
图1-15 低压开关柜内按垂直方向和按水平方向排列的主母线布置方式
图1-15左图中各相主母线均采用100mm×10mm的铜排构成铜排组合,我们从左到右看图1-15的左图,会发现这里的三相铜排属于平躺式安装,组合中各铜排的垂直方向中心距是126.5mm。
我们先确定截面系数 K c 。结合图1-9得知铜排中心距 a =126.5mm,铜排宽度 b =100mm,铜排厚度(高度) h =10mm,故有:( a-b )/( h + b )=(126.5-100)/(10+100)≈0.2, b/h =100/10=10,由图1-9推得铜排截面系数 K c =1.15。
首先计算 F 0 :
再来计算A相、B相和C相母线受到的最大短路电动力。
我们看到,铜排受到的电动力都在14000kgf以上,其中B相母线铜排受力约15605kgf。
注意最大电动力的方向,A相铜排和C相铜排的最大受力方向均指向B相铜排,而B相铜排的最大受力方向则是上下摇摆。
2)主母线按水平方向排列的电动力分析。
我们再看图1-15的右图,从铜排下方往上看,我们会发现主母线铜排属于竖直式安装方式。
我们先分析截面系数。结合图1-9得知 a =88mm, b =10mm, h =100mm,则( a-b ) / ( h + b )=(88-10)/(100+10)≈0.7, b/h =100/10=10,由图1-9推得铜排截面系数 K c =0.84。
首先计算 F 0 :
再来计算A相、B相和C相母线受到的最大短路电动力。
我们看到,铜排受到的电动力都在15000kgf上下,其中B相母线铜排受力约16400kgf。
3)对比主母线按垂直方向和按水平方向排列,由于垂直方向排列的母线间距是126.5mm,大于水平方向排列的88mm,若两间距相同,则垂直方向排列的母线受力会更大。
由于低压开关柜所承受的最大短路电动力来源于母线短路过程,故母线的安装方式、母线夹的特性参数以及开关柜的结构件都与开关柜动稳定性密切相关。
我们在例1-8中看到,平躺式安装方式母线间的最大短路电动力小于竖直式安装方式。
对于图1-15的左图,铜排平躺式安装方式的截面系数 K c =0.56, F 0 =26596N。如果我们把图1-15的右图的铜排中心距由88mm改为126.5mm,与图1-14右图一致,则其截面系数 K c ≈0.92,比平躺式安装方式的截面系数 K c =0.56大了1.64倍,此时 F 0 =43693N,亦比平躺式安装方式的 F 0 大了1.64倍。可见,铜排竖直式安装的短路电动力相比铜排平躺式安装更大,其电动力倍率恰好就是截面系数 K c 的倍率。
我们在设计低压开关柜时,如果条件允许,主母线的铜排或者铝排尽量采用平躺式安装,这样可以减小开关柜柜体结构承受的短路电动力,提高低压开关柜的动稳定性。
由于主母线铜排或者铝排是通过母线夹传递给开关柜柜结构的,因此母线夹抵御短路电动力冲击的能力尤显重要。事实上,在做低压开关柜动稳定性型式试验时,试验过后检查开关柜是否满足动稳定性要求中,母线夹的完整性是重要判据之一。
低压开关柜结构的设计非常重要,它是确保低压开关柜动稳定性的主体。由于低压开关柜结构与各品牌有关,我们将在本书第2章来展开讨论。
当发生短路时,短路电流对母线产生的巨大短路电动力是通过母线夹传递给低压开关柜结构件的。因此,母线夹必须要能够承受短路电流电动力峰值的冲击。我们看MNS3.0侧出线低压开关柜中某型母线夹,它的材料是不饱和聚酯模塑料(SMC),其结构如图1-16所示。
从图1-16的左视图中可以看出,母线夹截面的尺寸是2×26mm×40mm=2.08×10 -3 m 2 。我们用图1-13中按水平方向排列的主母线短路电动力强度值来校核此母线夹。注意到图1-13中每相母线为单母排,而图1-16中每相母线为双母排,在校核母线夹最大短路电动力时按单母排来考虑,这样可以得到母线夹受力的最大值。
若按图1-13水平方向排列的主母线最大短路电动力是2906.2kgf,约等于2906.2×9.8=28480.8N,则此母线夹水平方向的断裂拉伸应力 σ t :
图1-16 某型母线夹尺寸图
根据母线夹的技术要求,母线夹断裂拉伸应力 σ t 应不小于70MPa。图1-16所示母线夹产品检验报告得知,该母线夹实测的断裂拉伸应力 σ t =104MPa,可知在冲击短路电流峰值达132kA时,该型母线夹满足实际需求。
在实际使用时,我们将某型低压开关柜型式试验确定的短路电动力折算成绝缘材料(主要指母线夹)的断裂拉伸应力 σ t ,则 σ t 不得超过绝缘材料断裂拉伸应力 σ t0 的60%。即:
式中 σ t ——根据低压开关柜最大短路电动力折算的绝缘材料断裂拉伸应力;
σ t0 ——绝缘材料检验报告给出的断裂拉伸应力。
当低压配电网发生短路时,短路电流使得开关柜内的母线、电缆和元器件等等导电部件温度迅速升高。尽管线路保护装置会在很短的时间内切断短路电流,但由于时间短导电部件来不及散热,所以短路电流所致导电部件的发热属于绝热过程,短路电流在开关柜内导电部件上产生的热量全部用来提高导体温度。
短路电流比正常电流大许多倍,所以导电部件的温度会上升到很高的数值。如果温度超过了低压开关设备母线系统和元器件的容忍极限,则开关设备将会受到破坏。为此,把电气设备具有承受短时的短路电流热冲击效应的能力称为开关设备的热稳定性。
我们来看导体在短路前后温度变化情况,如图1-17所示。
图1-17 短路前后导体的温度变化
图1-17中,短路前的温度为 θ L ,这是由正常的负荷电流引起的。在 t 1 时刻发生了短路故障,致使导体温度迅速上升。在 t 2 时刻线路保护装置动作切断短路线路,导体温度到达最高点 θ k 。其后因为线路已经被切断,所以温度按指数曲线下降到 θ 0 ,直到导体与周围环境温度相同为止。
在低压成套开关设备中,各种载流导体都有各自的允许发热条件。表1-18是常用的导电材料短时最高允许温升及热稳定系数。
表1-18 低压开关柜中常用的导电材料短时最高允许温升及热稳定系数表
例如铜母线,它正常运行时的最高温度为70℃,而短路时最高允许温度为320℃。在这里,70℃对应于 θ L ,320℃对应于 θ k ,铜母线的最高允许温升 τ p.s = θ k -θ L =320℃-70℃=250℃。
在实际计算中,我们发现短路全电流 i sh 是一个变量,因此要准确地计算出短路电流流经的导体产生的热量 Q k 很困难。为此,采用恒定的短路稳态电流 I ∞ 来等效计算短路电流所产生的热量。我们来看图1-18。
图1-18中短路电流 I k 的作用时间从0到 t k ,我们用假设 I k 在 t k 时间内产生的热量与短路稳态电流 I ∞ 在时间 t ima 内产生的热量一致。于是有
式中 R ——导体电阻;
t ima ——假想的短路发热时间。
短路发热假想时间 t ima 用式(1-43)来近似。
式中 t op ——短路保护装置执行短路保护的最长延迟时间;
t oc ——断路器的断路时间。
式(1-43)中的 I k 是短路稳态电流,在短路终了时等于 I ∞ ,见图1-18。
图1-18 短路发热假想时间
式(1-43)就是我们计算低压成套开关设备的热稳定性的依据。由于式(1-43)在实际使用时计算量较大,其中含有不确定因素。因此在实际工程中,可以利用图1-19来简化导体发热量 Q k 的计算过程。
图1-19使用步骤如下:
1)先从图中找出导体流过正常负荷电流时的温度 θ L ,也可查阅手册给出的最高使用温度。
2)知道 θ L 后,向右交曲线于 a ,再查得 a 点的横坐标 k L 。
3)将 k L 的值代入式(1-44)中计算求得 k k 。
图1-19 短路所致导体发热量的计算简图
式中 k k ——短路时导体加热系数(A 2 ·s·mm -4 );
k L ——正常负荷时导体加热系数(A 2 ·s·mm -4 );
I k ——短路稳态电流;
S ——导体(铜排)的截面积(mm 2 );
t ima ——短路发热假想时间(s),见式(1-43)。
4)根据 K k 的值找出横坐标中的对应点,用 k k 点的横坐标查找到曲线上的 b 点, b 点的纵坐标即为所求导体(铜排)的短路电流发热量 θ k 值。
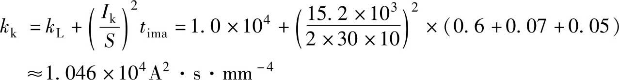
【 例1-9 】设电力变压器容量为630kV·A,阻抗电压为6%,变压器额定电流为909A,短路电流为15.2kA。低压成套开关设备主母线采用2×30mm×10mm的铜排,主母线正常工作温度为50℃。若低压进线断路器的短路保护动作时间为0.6s,分断时间为0.07s。试校核主母线的热稳定性是否满足要求。
解 :
我们查图1-19曲线,当 θ 0 =50℃时, k L =1.0×10 4 A 2 ·s·mm -4 。将 k L 值代入式(1-44),得到
我们将再次查阅图1-19,得到温度值仍然在50℃,远远低于最高短时温度250℃(见表1-18)。由此得出结论:此低压成套开关设备中的2×30mm×10mm主母线完全符合要求。
现在我们把变压器的容量提高到1600kV·A,它的额定电流为2309A,短路电流稳态值为38.5kA。计算表明, k k 值等于1.31×10 4 (A 2 s/mm 2 )。从图1-19中查得短路时的温度在75℃,符合要求。
值得注意的是:虽然2×30mm×10mm主母线的短路温升在变压器容量为1600kV·A仍然是合格的,但并不代表2×30mm×10mm主母线能够应用在对应配套的低压开关柜中。决定低压开关柜主母线截面的最主要参数运行温升和开关柜柜体防护等级IP。
低压成套开关设备的主母线被封闭在开关柜内,若开关柜的防护等级IP值较高,则主母线的载流量及温升都会发生变动。我们来看ABB公司的MNS3.0低压开关柜中2×30mm×10mm主母线载流量的变化:
由表中可见,选择低压成套开关设备主母线截面的关键数据是防护等级IP和环境温度、海拔等,并非短路电流。
低压配电系统按与电力变压器的远近,分为一级、二级和三级配电系统,如图1-20所示。
图1-20 各级低压配电网和短路电流
我们看到图1-20左下侧的三级配电设备照明回路出口处发生短路,短路电流 I k 从变压器低压绕组开始流经母线槽,再流经一级配电设备的主进线断路器、主母线、馈电断路器和馈电电缆,再流经二级配电设备的主进线断路器、配电母线、馈电断路器和馈电电缆,以及三级配电设备的进线断路器、母线和馈电断路器到达短路点。短路电流对流经路径中的导线、元器件产生热冲击作用。
当系统发生短路时,短路电流 I k 产生的热量 Q 等于流经路径中各导电部件和开关设备所发热量的总和,即
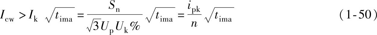
由于低压配电网中各导电部件和开关设备的电阻不尽相同,它们在短路电流 I k 的冲击下所发热量也不尽相同,某些热容量较小的导电部件或者开关设备在短路电流 I k 的热冲击下可能损毁。因此,任何导电部件和开关设备一定会有关于承载短路电流热冲击能力的参数。描述导电部件和开关设备承载短路电流热冲击能力的参数被称为短时耐受电流 I cw 。参见1.3.2节中对GB/T 7251.1—2023中3.8.10.3的摘录。
峰值耐受电流 I pk 与短时耐受电流 I cw 的比值就是峰值系数 n ,见表1-19。
表1-19 系数 n 的标准值
表1-19中的数据摘自GB/T 7251.1—2013《低压成套开关设备和控制设备 第1部分:总则》的表1-7。
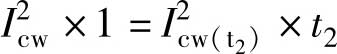
一般地,低压开关电器的短时耐受电流 I cw 时间长度取为1s。若考虑到特殊情况下短路时间有可能会比较长,则短时耐受电流时间长度也可选用3s。若已知1s的短时耐受电流 I cw ,则 t 2 时长的短时耐受电流 I cw(t 2 ) 可采用式(1-46)来计算:
因为
所以有
式中 I cw ——短路时间长度为1s的短时耐受电流;
I cw(t 2 ) ——短路时间长度为 t 2 s的短时耐受电流。
【 例1-10 】若某低压开关电器的 I cw =50kA,则根据式(1-46),有
可见, I cw(3) 相对于 I cw 有了大幅度的跌落,而 I cw(0.6) 相对于 I cw 有了大幅度地增加。
我们把 I 2 t 值称为允通能量,它的单位是“A 2 s”。
设电源向低压配电系统提供的有功电能是
W
,系统电压是
U
,系统电流是
I
,功率因数是cos
φ
,低压配电系统的总电阻是
,于是有
我们从式(1-47)中看出,式子的左边
属于系统参量,而
I
2
t
则属于强度参量,
I
2
t
具有能量的量纲。
低压成套开关设备不但有母线系统,还有大量的低压开关电器。低压开关电器的生产厂家通过型式试验给出产品所能承受的允通能量数据。在选用开关电器时,只需要将短路时低压开关电器实际承受的允通能量与开关电器最大允通能量参数相比较即可。见式(1-48)。
式中 I k ——稳态短路电流;
t ima ——假想短路时间,见式(1-43);
I th ——元器件的最大允通能量电流;
t th ——元器件的最大允通能量时间。
低压配电系统中具有短路保护能力的元器件是断路器和熔断器。当低压配电网出现短路时,从短路出现到保护设备切断线路的时间长度就是 t th 。在这段时间里,断路器或者熔断器允许通过的允通能量被称为“特定允通能量”。在各种故障条件下特定允通能量值是确定保护装置的基础,它是保护装置例如断路器中各部件的设计依据。
关于低压开关电器的允通能量和短时耐受电流等内容的描述见第3章“低压成套开关设备中常用的主回路元器件”,此处从略。
我们已经知道低压成套开关设备的动稳定性就是主母线的动稳定性,所以在选用低压成套开关设备时,应当使低压开关柜的动稳定性参数满足低压配电网的短路条件,即
式中 I pk ——低压成套开关设备主母线的额定峰值耐受电流(kA);
i pk ——电力变压器的冲击短路电流峰值(kA)。
从动稳定性的范例来看,低压开关柜的水平母线后置方案要优于水平母线顶置方案。至于究竟选用水平母线后置方案还是顶置方案,要看具体情况而定。
图1-21的左图所示为低压开关柜内主母线顶置的方案。主母线顶置方案使得抽屉柜的出线电缆室安排在开关柜后部。主母线顶置方案的抽屉柜其柜宽较小,节约了配电所空间,还降低了造价。
图1-21右图所示为低压开关柜内主母线后置的方案。主母线后置方案能大幅度地提高低压开关柜的动稳定性,提高主母线的峰值耐受电流。主母线后置方案使得馈电柜电缆室可以安排在开关柜前部,还可实现开关柜双面操作,以及开关柜靠墙安装等等。低压开关柜主母线后置方案的缺点是馈电柜的宽度较宽,造价较高。
我们还知道低压成套开关设备的热稳定性就是主母线的热稳定性,所以在选用低压开关柜时,应当使低压开关柜的热稳定性参数满足低压配电网的短路条件。也即
图1-21 开关柜内的主母线位置
式中 I cw ——主母线的短时耐受电流(kA),短路时间长度1s;
S n ——电力变压器容量(kV·A);
U p ——电力变压器低压侧线电压(V);
U k %——电力变压器阻抗电压;
t ima ——短路电流的假想时间,见式(1-41),对于低压开关柜一般取0.75~1s;
i pk ——电力变压器冲击短路电流峰值kA;
n ——峰值系数,见表1-19。
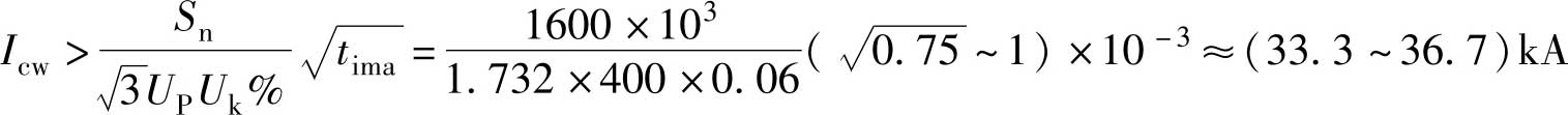
【 例1-11 】已知某低压配电系统的电力变压器为1600kV·A,阻抗电压为6%。试确定在此情况下低压开关柜主母线的短时耐受电流值。
解 :将数据代入式(1-50),得
由此可知,低压开关柜主母线的短时耐受电流必须大于36.7kA,可取 I cw =40kA。
以下几种情况下,低压成套开关设备无需校验动稳定性或者热稳定性:
1)用熔断器保护的低压成套开关设备主回路及母线系统,其热稳定性由熔断器熔体的熔断时间确定,故无需考虑热稳定性;
2)采用限流断路器的低压成套开关设备主回路,无需考虑动稳定性;
3)对于电缆,其内部为软导线,外部的机械强度相对较大,因此无需考虑动稳定性。
低压成套开关设备按配电型式可分为两种方案:点状配电方案和线状配电方案,如图1-22所示。
图1-22 点状和线状配电方案
点状配电方案是指电力系统自一个点以辐射状向外分配电能,以此形成一个点状配电网;线状配电方案是指电力系统通过线状母线传送电能至负载,以此形成一个线状配电网。在低压成套开关设备中,所有配电网络形式都是点状配电方案和线状配电方案的组合。
在图1-22中,可以看出电力变压器、低压进线和某段母线构成点状配电形式,而两段母线、各个馈线回路则构成线状配电形式。
低压成套开关设备单路进线的配电形式见图1-23。其中图1-23a从主母线中部进线,图1-23d从主母线的一端(左侧)进线。
图1-23 单路进线的配电形式
单路进线的配电方案属于点状配电方案,也是最简单的配电方案。单路进线的配电方案仅能对负荷提供最低水平的供电可靠性,因为一旦供电中断后没有冗余电源提供第二路电能支持。
因为负载在主母线上是平均分配的,所以当进线安排在主母线的中间时,我们从图1-23b看到,主母线实际载流量只有变压器额定电流的一半,这对于降低主母线的温升是有利的。
当进线安排在主母线的端点时,主母线的实际载流量等于变压器的额定电流。在图1-23e中,我们看到主母线左侧的电流最大,接近于变压器额定电流;主母线电流从左至右逐步递减。从整体来说,从主母线某端进线的方案与从主母线中间进线的方案相比,前者的主母线温升要高于后者。
从图1-23的图c和图f可以看出,当发生短路时,两种进线方案的短路电流是相同的,主母线承受的最大电流都是冲击短路电流峰值 i pk ,因此按两种进线方案配套的低压成套开关设备,其动稳定性要求是相同的,也即低压配电系统对低压开关柜主母线峰值耐受电流的要求是一致的。
双路进线的配电方案如图1-24所示。
图1-24 双路进线的配电方案
双路进线的配电方案中,有2套电力变压器与2套进线回路。
图1-24a是双路进线供电方案之1,其中有两套电力变压器可单独供电或者并列供电。若电力变压器单独供电则两进线开关之间需要配备机械或电气合闸互锁。当某路供电中断时,系统能立即切换到另一路供电,因而提高了供电的可靠性。
图1-24b是双路进线供电方案之2,其中采用了自动切换开关ATSE实现电源之间的自动切换。
图1-24c是双路进线供电方案之3,其中采用母线联络开关(以后简称为母联开关)将母线分段运行。在此方案中,2套电力变压器可各自为本段母线系统的负荷供电;当某电力变压器发生供电故障时,可通过闭合母联开关使得故障段母线获得能量供应。如果单侧电力变压器容量供应不充裕则需要抛掉若干不重要的三级负荷。
图1-24d是双路进线供电方案之4,其中采用ATSE实现市电与发电机之间的供电切换。
现在我们对图1-24中的各种方案仔细分析,探讨主母线上的负荷排布方式与运行电流和短路电流之间的关系,如图1-25所示。
我们先看图1-25a:图中的变压器位于低压开关柜主母线的两端,因为系统中未见母联开关,所以这两台变压器属于并列运行。又由于主母线上的负载是平均分布的,因此主母线上的运行电流就等于变压器的额定电流 I n 。
再看主母线上的短路电流。当主母线发生短路时,两台变压器从两侧向短路点注入短路电流,因此,主母线上各处的短路电流最大值均为1倍 i pk 。当馈电回路的出口处发生短路时,我们发现流过馈电单元的短路电流为2倍 i pk (2 i pk )。
我们再看图1-25b:图中的变压器位于低压开关柜主母线的中间,主母线的运行电流等于变压器的额定电流 I n ,而主母线上的最大短路电流等于2倍 i pk ,流过馈电回路的最大短路电流也等于2倍 i pk 。
再看图1-25c:图中两台变压器靠近主母线的1/4处和3/4处。图中主母线的运行电流为 I n 的1/2,在两台变压器中间的主母线上最大短路电流为 i pk ,在变压器外侧的主母线上最大短路电流为2倍 i pk 。图中所有馈电回路出口处的短路电流均等于2倍 i pk 。
我们由此可以得出如下结论:
1)如果低压成套开关设备的主母线上由两台以上的变压器供电,且主母线未分段,则称此主母线为未受限主母线。向未受限主母线供电的变压器可以并列运行。
2)设低压成套开关设备有 N 台变压器并列供电,则未受限主母线上的最大短路电流为
式中 I BK.MAX ——未受限主母线上的冲击短路电流峰值;
N ——未受限主母线上并列供电的变压器台数;
i pk ——变压器冲击短路电流峰值。
3)母联开关的用途是将未受限主母线变成受限主母线,切断短路电流叠加的途径;提高供电的可靠性。
图1-25 双路进线配电方案的运行电流和短路电流分析
4)未受限主母线上各主回路断路器的分断能力:
式中 I cu ——断路器极限短路分断能力;
N ——向未受限主母线供电的变压器台数;
I k ——变压器稳态短路电流。
【 例1-12 】已知3台并列运行的电力变压器容量为1250kV·A,阻抗电压为6%。此3台变压器构成的低压配电系统的短路电流分析如图1-26所示。
图1-26 三进线两母联系统的短路电流分析
试确定在此情况下低压成套开关设备各段主母线的最大短路电流,并确定进线断路器、母联断路器、馈电断路器的极限短路分断能力 I CU 的值。
解 :计算变压器参数:
1)各段主母线的运行电流:
2)各段主母线最大瞬时短路电流:
从这里我们可以看出,当主母线独立运行时,主母线上的最大瞬时短路电流等于1倍 i pk ,而当主母线并列运行时,主母线上的最大瞬时短路电流可达3倍 i pk ,等效于低压成套开关设备的动稳定性也增加了3倍。
3)变压器并列运行时各断路器的极限短路分断能力 I cu :
注1:在变压器并列运行条件下,当短路点在变压器低压侧,流过进线断路器的短路电流为2倍 I k ;当短路点在母线上或者馈电回路出口处,流过进线断路器的短路电流为1倍 I k 。
注2:关于低压成套开关设备主回路元器件的论述见第4章相关内容。
例1-12说明当变压器并列运行时,低压成套开关设备中馈电回路断路器的分断能力要大于进线和母联回路断路器的分断能力。我们来看图1-27。
图1-27 低压开关柜平面布置图
图1-27所示为两进线单母联的低压开关柜的平面布置图,其系统图参见图1-24c。图1-27的上图中母联柜位于柜列的最右侧,而下图中母联柜位于柜列的中部。对于下图来说,母联柜右侧柜体中形成供电电源单向连通的主母线区域。
若两台变压器分别独立运行,在任何时刻两进线断路器和母联断路器只能有两台同时合闸,则系统中各部分的短路电流最大为1倍的 I k 。
若两台变压器并列运行,于是两进线和母联断路器均闭合。由前面的论述可知,当短路发生在母联柜和母线槽的左侧时,主母线上的短路电流峰值只有1倍 i pk ,进线和母联断路器的极限短路分断能力 I cu 取大于1倍 I k 即可,而馈电断路器的 I cu 则需要大于两倍的 I k ;当短路发生在母联柜和母线槽的右侧即单向电源供电的主母线区域中,此主母线区域上的短路电流峰值有2倍 i pk ,馈电断路器的 I cu 也需要大于2倍的 I k 。
在设计变压器并列运行的低压成套开关设备时,尽量不要让低压开关柜内形成单向电源供电的主母线区域。若柜内不得已形成了单向供电区域,则开关柜的动稳定性需要加倍。
图1-28所示为重点区域供配电方案的典型范例。
图中Ⅰ段母线和Ⅱ段母线由两台电力变压器组成双路进线供电方案。图1-28中最重要的负荷都在紧急母线上。系统通过ATSE实现市电与发电机供电切换,于是在任何情况下紧急母线中的负荷能获得可靠的电能供应。
图1-28 重点区域供配电方案
环形供配电方案能够实现最完善的供电可靠性,如图1-29所示。
图1-29 环形供配电方案
从图1-29中可以看出,4套单路进线的系统两两相联结成环形供配电网络。当本段的进线出现供电中断后,本段母线总能从两侧中的某侧系统中获取电能。
对于环形供配电方案需要注意的是:
1)若电力变压器的容量有限,则在投切母线联络开关之前要切除部分负荷;
2)各个系统中的进线开关和馈电开关之间以及进线开关和母联开关之间必须要设置比较严密的保护匹配施,必要时要配套方向和区域保护;
3)所有为电力变压器供电的中压系统必须来自同一电网。
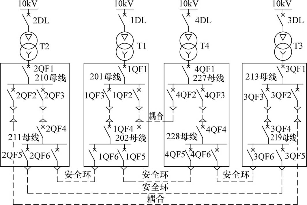
我们来看一个环形供配电的实例。此实例是我国某大型水利工程永久船闸的低压配电系统,如图1-30所示。
图1-30中的负载都在211母线、202母线、228母线和219母线上。正常状态下各变压器独立运行,电能自上而下地经过3台断路器传送到各段负载母线上。例如T1变压器的电能经过1QF1、1QF3和1QF4三台断路器送到202母线上。
图1-30 环形供配电方案的应用——某大型水利工程的船闸项目
当T1变压器失压后,T4变压器的电能可经过4QF2和1QF2传送到耦合母线201上,再经过1QF3和1QF4输送到202母线上。
图1-30中安全环的用途是某段工作母线向位于左侧或右侧的相邻工作母线供电,其目的是防止耦合母线上的断路器发生故障。
图1-30中除了进线断路器外,其他断路器中的运行电流均可能由于供电关系的改变而反向,因此这些断路器均要配备方向保护以实现上下级选择性,还要配备区域保护以实现系统安全。
采用不间断电源UPS构建的供配电方案如图1-31所示。
图1-31 UPS供配电方案
UPS电源在其内部安装了电池组,有时电池组也可能外置。当外部供电电源正常工作时,外部电源整流电路对UPS内部的电池组实施充电操作,同时又通过逆变电路对负载输出正常工作电压;当外部供电电源停止供电时,则外部负载完全靠电池供电,电池供电时间视电池的容量从20min到数小时或更长的时间。当UPS本身发生故障时,UPS内部的旁路通道执行旁路操作。
在图1-31中,一般负荷由市电和发电机构建的双路进线配电系统经过ATSE开关投切供电,而重要负荷则由UPS供电。通过这样处理后,重要负荷所获取的电能在任何时刻均不会出现中断。
低压配电网的电能来自于电力变压器。表1-20中列出电力变压器与低压电网相关的使用参数。
表1-20 电力变压器与低压电网相关的使用参数
随着技术的进步和人民生活的改善,在配电网中出现大量的非线性电气设备,例如变频调速设备、温度控制设备和空调设备、UPS、新型照明灯具和电气车辆等。这些新型设备除了要消耗大量的电力以外,还给配电网带来了谐波污染。
当低压电网中存在谐波时, n 次谐波电压 HRU n 含有率和 n 次谐波电流 HRI n 含有率的定义如下:
n 次谐波电压和电流总谐波畸变率的定义如下:
式中 U n ——n 次谐波电压有效值;
I n ——n 次谐波电流有效值;
U 1 ——基波电压有效值;
I 1 ——基波电流有效值;
HRU n ——n 次谐波电压含有率;
HRI n ——n 次谐波电流含有率;
THD U ——n 次谐波电压畸变率;
THD I ——n 次谐波电流畸变率。
在三相电路中,各相电压、电流依次相差基波的2π/3。三相电压可表示为
1)当 n =3 k ( k =1,2,3,…)时,即 n =3,6,9…,此时三相电压的谐波大小和相位均相同,此谐波被称为零序谐波;
2)当 n =3 k +1时,即 n =4,7,10…,此时B相电压比A相电压滞后2π/3,C相电压比A相电压超前2π/3,这些次数的谐波被称为正序谐波。注意:对称三相电路的基波本身也是正序的。
3)当 n =3 k -1时,即 n =2,5,8…,此时B相电压比A相电压超前2π/3,C相电压比A相电压滞后2π/3,这些次数的谐波被称为负序谐波。
若三相电路是对称的,则对于各相电压来说,无论是IT系统还是TN系统
,相电压中都包含零序谐波,而线电压中都不含有零序谐波;对于各相电流来说,在IT系统下因为没有零序电流通道,因而电流中没有零序电流,而在TN系统下,则零序电流将从中性线中流过。
若三相电路是不对称的,则零序、正序和负序可同时出现在线路中,但线电压中不包括零序分量,而TN系统的中性线将流过零序谐波电流分量。
电压谐波总量 U H 计算公式如下:
电流谐波总量 I H 计算公式如下:
我们来看国家标准对配电网中谐波的规定:
国家标准GB/T 14549—1993《电能质量 公用电网谐波》标准中规定:0.4kV的电网的电压总谐波畸变率为5.0%,奇次谐波电压含有率为4.0%,偶次谐波电压含有率为2.0%。
低压电网中电压波形畸变率 THD U 的允许值
低压电网中电流波形畸变率 THD I 的允许值
低压电网中谐波次数及谐波电流允许值
公用电网中的谐波会产生如下危害:
1)谐波使公用电网中的元件产生了附加的谐波损耗,降低了发电、输电和用电设备的效率,大量的3次谐波流过中性线时会使线路过热甚至发生火灾。
2)谐波影响各种电气设备的正常工作。谐波对电动机除了产生附加损耗外,还会产生机械振动、噪声和过电压,使变压器局部过热。谐波使电容器、电缆等过热、绝缘老化,造成损坏。
谐波对电网的危害包括如下若干方面:
1)谐波使公用电网中的元件产生了附加的谐波损耗,降低了发电、输电和用电设备的效率,大量的3次谐波流过中性线时会使线路过热甚至发生火灾。
2)谐波影响各种电气设备的正常工作。谐波对电动机除了产生附加损耗外,还会产生机械振动、噪声和过电压,使变压器局部过热。谐波使电容器、电缆等过热、绝缘老化,造成损坏。
3)谐波会使电网中局部发生并联或串联谐振,从而使谐波放大,加重电网损坏程度。
4)谐波会使继电保护和自动装置误动,并造成仪表计量不准确。
5)谐波会对通信系统产生干扰,降低通信质量,甚至导致信息丢失,使通信系统无法工作。
图1-32所示为不同行业中会产生谐波的电力设备和装置占总电力设备的百分比。
图1-32 产生谐波的电力设备和装置
我们来看看各种电力设备产生谐波的情况。
1)轻载时的电力变压器。
电力变压器产生的3的倍数次谐波只在三角形联结的回路中流通,星形联结回路中没有3的倍数次谐波;流入低压电网只有6 k ±1次谐波。电力变压器平时谐波量不大,只有在轻载、刚开始投运或负载剧烈变化时才会产生大量的谐波。
2)电弧炉的谐波量很大,一般为2~5次谐波。
3)荧光灯的3次谐波含量最高,荧光灯在TN-C接地方式下中性线会流过很大的3次谐波。
4)电力电子装置,例如整流装置、变频装置等产生大量的谐波。
从以上分析可见,楼宇是产生谐波的重灾区,同时以电力机车为主的铁路(包括地铁)也是产生大量谐波的重要源头。
一般电网中电压的基波频率是50Hz或者60Hz,而电压的高次谐波是指频率为基波的奇数倍的电压。
如果将应用于50/60Hz电网频率的低压电器使用在其他额定频率时,必须考虑到电网频率和电流高次谐波对低压电器产生的影响。这些影响主要包括:
1)谐波会使电网中局部发生并联或串联谐振,从而使谐波放大,加重电网损坏程度;
2)谐波会使继电保护和自动装置误动,并造成仪表计量不准确;
3)谐波会对通信系统产生干扰,降低通信质量,甚至导致信息丢失,使通信系统无法工作;
4)谐波电流流过导体时会产生额外的发热,引起变压器、用电设备、电缆中的附加温升;
5)趋肤效应(集肤效应)引起的发热作用。
对于开关电器,谐波将会造成如下影响:
1)降低低压开关电器的通断能力;
2)降低低压开关电器的触头寿命;
3)改变断路器脱扣器的动作特性;
4)改变断路器电磁操作机构和电动机操作机构的工作特性。
以下分别论述。
交流电的频率越高时电流越趋向于导线的表面,这种现象被称呼为趋肤效应(Skin Effect)。随着频率的增加,导线的有效截面将因此而减少,线路中的发热趋向于严重。
当导线流过交变电流时,根据楞次定律会在导线内部产生涡流,与导线中心电流方向相反,由于导线中心较导线表面的磁链大,在导线中心处产生的电动势就比在导线表面附近处产生的电动势大。这样作用的结果,电流在表面流动,中心则无电流,这种由导线本身电流产生之磁场使导线电流在表面流动。
我们来看式(1-58):
式中 δ ——电流穿透深度(cm);
f ——频率(Hz);
σ ——导体电导率;
μ ——导体磁通率。
考虑到低压成套开关设备中的母线都有一定的温度,特别是母线搭接面的温度更高,因此我们就以母线温度是100℃来考虑。在此状态下,式(1-58)可取值如下:
据此,我们可得表1-21。
表1-21 工频和3~7次谐波在铜导线中的穿透深度
由表1-21可知,当低压电网中有谐波存在时,导线的等效截面变小从而引起发热。
【 例1-13 】在50Hz工频下,环境温度为20℃时,导电铜棒的直径最大值是多少?
解 :
由表1-20可知,在20℃时50Hz工频在铜导体内的穿透深度是9.3mm,故导电铜棒的直径 D 不得超过20mm。若导电铜棒的直径超过20mm,则应当采用铜管,且铜管壁厚不建议超过10mm。
同理,对于低压开关柜中的铜排,其厚度不能超过20mm,一般以10mm为最佳。
频率较高的交流电还会产生电磁感应现象,使得磁滞损耗随着频率的增加而迅速增加,其中包括各种铁心产生的损耗,电流互感器和电压互感器产生的损耗,以及与导线在临近的金属板材中产生的涡流损耗等。
高次谐波将影响到低压成套开关设备主母线的载流能力。我们看式(1-60):
式中 I B ( f k )——某频率下的母排载流量;
I 0 (50Hz)——50Hz下的标准载流量;
f k ——某高次电网基波频率或高次谐波频率。
低压成套开关设备中的主母线当频率从50Hz(基波)变化为550Hz(11次谐波)时,根据式(1-60)可计算出主母线的载流量变化,见表1-22。
表1-22 低压成套开关设备中的主母线与频率的关系
值得注意的是,在大多数的情况下在低压电网中存在高次谐波,使得低压开关柜主母线电流中既有基波电流又有高次谐波电流,主母线因此可能出现超载过流现象。
从式(1-55)中,我们已经知道,当谐波次数是3
k
次时,三相中高次谐波电流的大小和相位均相同,即零序谐波。正是由于这个原因,三相系统的各相中出现的3次谐波电流总是同相同极性的,但中性线3次谐波电流与相线基波电流幅值相比其比值最大不超过
,如图1-33所示。
在图1-33中,纵坐标是中性线中3次谐波电流与相线基波电流幅值之比,横坐标是3次谐波电流在中性线电流中的含有率。由图1-33中可见,当纵坐标的最大值为
时,3次谐波在中性线电流中的含有率已经超过85%。
由此可知,当低压电网中3次谐波的含有率较高时,中性线的截面积要与相线截面积相等,低压成套开关设备的中性线母线的截面积也要与相线母线的截面积相等。
图1-33 中性线中的3次谐波含量
若基波下的相线电流是 I L ,3次谐波电流占有率是 HRI 3 ,则实际的相线包括基波电流和3次谐波电流在内的总电流 I 3H 和中性线电流 I 3N 分别为
根据式(1-61),若低压成套开关设备中的基波相电流 I L =500A,我们来计算当 HRI 3 分别取20%、40%和60%时的相线总电流 I 3H 和中性线电流 I 3N :
计算表明,当线路中出现3次谐波后,相线电流的变化不大,但中性线电流变化剧烈。所以当低压配电网中存在谐波时,中性线截面必须加大。
在50~60Hz电网条件下设计的断路器,当使用在频率更低的配电网时,可以使用相同的电流等级。
在100Hz以上时,断路器的铁制零件将出现发热,在400Hz时铁制零件的负载能力为50Hz时的50%。
当频率较高时,因为电压周期变短使得电压过零时的电弧散热时间减小,因此断路器的灭弧能力将降低。
频率还影响到断路器的其他各种脱扣器:
1)过电流热脱扣器与频率的关系在低频时基本不变,但频率高于500Hz时脱扣会加快。
2)电磁式脱扣器是靠动作电流在半个波峰内驱动衔铁产生动作(0°~90°电角度),随着频率从50Hz变到500Hz,动作电流变化从1倍变化到
倍,所以高频时要调整动作时间。
3)电子式脱扣器通过测量电流互感器来测量电流,通过电子系统来进行信息处理和执行脱扣动作。
脱扣与测量有关。存在两种情况:其一是发生短路之前已有过载电流流过测量机构,其二是测量机构需要测量突现的短路涌流。两种情况相比较,后者比前者要慢若干毫秒。
因为电子系统非常灵敏,因此在40~400Hz的范围内,电子式脱扣器本身的工作受频率的影响较小,可以忽略不计。
对于电动机来说,起动电流在50Hz时为工作电流的4~8.4倍,在150Hz时为15倍,在450Hz时为20倍。同时,频率越高功率因数越低,甚至只有0.25。
异步电动机供电电源的 THD U 不能超过10%,否则会造成电动机严重发热。
断路器的电动操作机构有两种形式,其一是电动机操作机构,其二是电磁操作机构。
对于电磁操作机构,由于交流电磁铁的吸力与磁感应强度的二次方成正比,而磁感应强度又与电磁线圈上加载的电源频率成反比。所以当频率增加时,线圈的吸力就降低,反之就增加。因此当电网电压中含有高次谐波时将使得电磁操作机构的灵敏度降低,此时必须调整控制电压。
交流接触器的额定工作电流与频率的关系是
式中 I k (AC-1, f K )——对应于 f K 频率下的交流接触器载流量;
I 50 (AC-1,50Hz)——50Hz下的交流接触器额定电流;
f K ——某高次电网基波频率或高次谐波频率。
依照式(1-62),当电源频率从50Hz(基波)变化到550Hz(11次谐波)时交流接触器工作电流的变化见表1-23。
表1-23 交流接触器的额定工作电流与频率的关系
与电磁操作机构相同,交流接触器的线圈也会因为电网电压中的高次谐波产生发热、动作拖滞和发出强烈噪声等故障。
电动机的过载一般使用热继电器来进行测量和控制,当电流比较大时则利用电流互感器的二次侧电流输送给热继电器测量回路。电动机的工作电流加热热继电器内部测温双金属片,通过测温双金属片受热弯曲变形的推动作用使得微动开关对外电路发送过载信息。
当电网中出现高次电流谐波时,热继电器就会出现较快动作的现象。特别在使用电流互感器变流的情况下,电流互感器的饱和系数越低则热继电器的动作就越提前。所以电网电压中高次谐波的成分越高则应调高热继电器的动作控制点。
流过电容的电流与电压有如下关系:
式中 I C ——流过电容的电流;
U ——配电网电压;
X C ——电容容抗;
f ——频率;
C ——电容值。
从式(1-63)中可以看出当电网电压中含有高次谐波时,因为流过电容的电流随着频率的增加而增加,所以 I C 将会加大,从而加剧了电容器的发热。
根据标准,电容器充放电电流不能超过额定电流的1.3倍。
由于存在谐波,例如当 THD I =10%时,在额定电压下充放电电流等于额定电流的1.19倍,若此时电网电压又升至1.1倍额定电压,则电容器的充放电电流等于额定电流的1.3倍,将造成电容器严重过热,甚至发生电容器爆炸事故。
谐波会使得变压器的噪声加大,发热趋于严重,还会降低变压器绝缘介质的绝缘能力。由此可见,谐波对电力变压器的负载能力影响很大。
低压电网中带有晶闸管类电力电子器件的负荷就是产生谐波的最主要原因,由图1-34中可见,当电力变压器供电的低压电网中若带电力电子元件的负荷量达到60%,则电力变压器需要降容50%。
图1-34 变压器的谐波降容率