



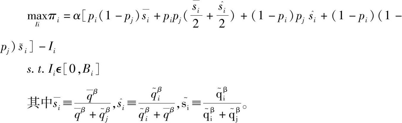
考虑一个存在两个同质厂商的市场。在该市场中,总的市场需求被标准化为 1,而厂商
i
(
i
= 1,2)的市场份额为
s
i
,并且
s
i
被假设为有如下形式:
其中, q i 为厂商 i 的产品质量。由于生产性决策不是本章分析的重点,因而这里简单地假设 s i 就是厂商 i 所能获得的生产性利润。
所有厂商的初始产品质量被假定为 0。他们可以通过自主研发或者技术引进来提高自己的产品质量。自主研发被假定为受到完全的专利保护,即当一个厂商获得技术专利时,另一个厂商就无法通过自主研发获得相同的技术。而当两个厂商均成功实现自主研发时,每个厂商赢得技术专利的可能性则被假设为 1 /2。
为进一步描述厂商的自主研发决策,假设市场中存在一项潜在的产品技术
,如果厂商
i
成功实现对该项技术的研发,则他的产品质量将被提升至
。 为了进一步的分析,令厂商
i
成功实现这一技术项目的自主研发的概率为
p
(
,
I
i
,
θ
i
)。 其中,
I
i
为厂商
i
的自主研发投入,
为厂商
i
在自主研发上所能投入的最大经费;
θ
i
则反映了厂商
i
在自主研发上的基础知识储备。
p
(
,
I
i
,
θ
i
) 被假设为具有如下特性:
,
;此外,令
ε
θ
别代表
p
(
,
I
i
,
θ
i
)对
、
I
i
和
θ
i
的弹性,且
ε
θ
均为常数。 受研发投入边际报酬递减性质的影响,可以进一步假设
ε
I
< 1。 在下文的分析中,为了表述的简便,将简单地用
p
1
和
p
2
来分别表示
p
(
,
I
1
,
θ
1
)和
p
(
,
I
2
,
θ
2
)。
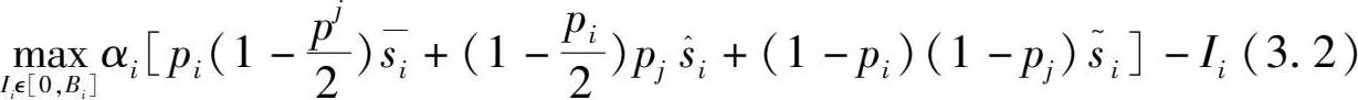
如果厂商 i 的净利润为 π i ,则厂商 i ( i = 1,2)的最优化问题为:
在上式中,等号右边中括号中第一项对应着厂商
i
成功实现自主研发,而厂商
j
失败的情形。此时,厂商
i
的产品质量被调整至其研发出的技术水平
,而厂商
j
由于研发失败,其产品质量用
表示。中括号中第二项则反映了两个厂商均研发成功的情形。在这种情况下,厂商
i
只有1 /2 的概率能够获得产品质量。第三项和第四项则分别对应于厂商
i
研发失败而厂商
j
研发成功,以及两个厂商都研发失败的情形。在后三种情况中,如果厂商
i
未能成功获取产品技术
,那么它的产品质量为
和
的具体大小分别取决于厂商
i
和厂商
j
是否引进了外部技术。以厂商
i
为例。如果厂商
i
在自主研发的同时还引入了外部技术,则
;否则,
体现了厂商与专利所有者间的生产性利润分成。显然,当
时,
α
= 1(即不引进技术时,不用与专利所有者分享利润)。此外,一般而言,我们可以假设
,即要获得更高层次的技术水平,厂商必须进行自主研发。通过化简,厂商
i
的最优化问题可以写成:
给定厂商在自主研发失败时的产品质量
厂商
i
愿意从事自主研发的条件为:
由于
因此对于具备更高研发能力
θ
的厂商而言,自主研发的积极性更高。
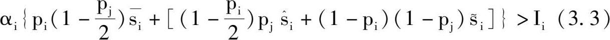
在(3(点)3)式的前提条件下,如果暂时不考虑角点解,则厂商 i 的最优化问题的一阶条件为:
出于计算的需要,需要区分两种可能出现的情形,即
或者
在第一种情况下,两个在位厂商要么全都引进技术(即
),要么全都完全依赖自主研发
当
时
因此可以将(3. 4)式化简为:
由于
,因而
这使得(3. 5)式左边为正,从而保证厂商
i
愿意进行正的研发投入。
当
时,
。因此我们可以将(3. 4)式化简为:
由(3. 5)式和(3. 6)式可见,厂商
i
的最优决策与厂商
j
的决策无关,这是因为
,从而厂商
i
自主研发投入的边际收益不受厂商
j
研发成功概率
的影响。在以上分析基础上,可以得到如下命题:
命题 3. 1:当
时,对于内点解的情形有
。
证明:将(3. 5)式和(3. 6)式两边对 θ i 求导均可得到如下形式的等式:
由于
,因而
而将厂商
j
的最优化问题的一阶条件两边同时对
θ
i
求导可得
命题 3. 2:当
时,对于内点解的情形,如果
则
,反之,则有
。其中
证明:将(3. 5)式和(3. 6)式两边对 q —求导均可得到如下形式的等式:
将上式整理可得:
当
时,上式右边为正,此时
反之,则
< 0。
命题 3. 2 反映了潜在技术水平对企业自主研发积极性的影响。一方面,更高的潜在技术水平使得厂商一旦获取该项技术的专利就可以生产出更高产品的质量,并获取更多的生产性利润;另一方面,给定厂商的自主研发能力,成功实现技术研发的概率与潜在技术水平成反比。因此最终的影响结果取决于厂商对这两种效应的权衡。
命题 3. 3:当
,且
时,对于内点解的情形,有
< 0。
证明:将(3. 5)式两边对
求导可得:
由于
,因而
从上面的分析可以看出,
是一个比较特殊的情况:此时,厂商的策略在边际上没有互相施加影响,因此每个厂商在决定自己的最优决策时,无需考虑竞争对手的选择。这也使得上面的比较静态能够得出很简单的结论。
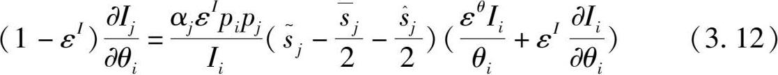
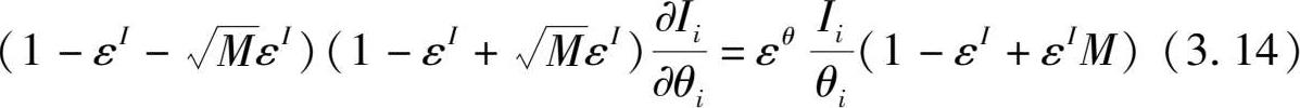
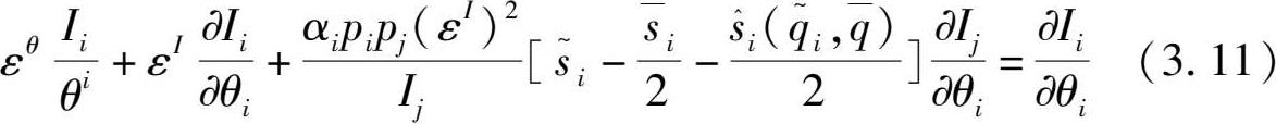
当然,我们可以将分析拓展至
的情形。此时,将(3. 4)式两边对
θ
i
求导可得:
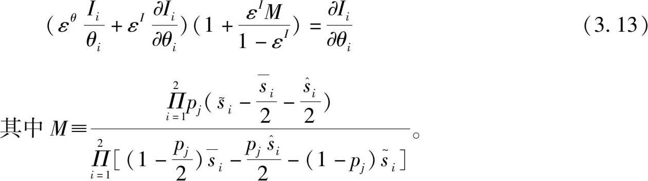
对于厂商 j 而言,将其一阶条件对 θ i 求导可得:
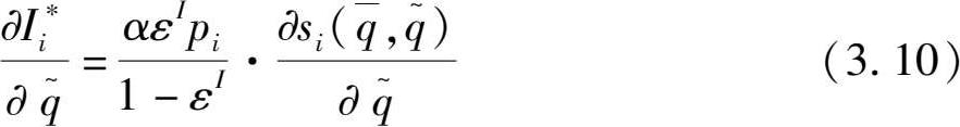
由(3. 11)式和(3. 12)式可以得出:
从上面的比较静态分析,可以得出下面的命题:
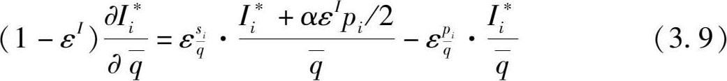
命题 3. 4:当时
,对于内点解的情形,若
ε
I
< 1 /(1 +
M
),则有
;反之,则有
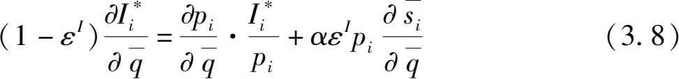
证明:由(3. 8)式可知:
由于
因而(3. 8)式右边为正,而(3. 8)式左边的符号取决于
。因此,当
时
此时,由(3. 14)式可知,
。(3. 12)式中,由定义可知:
因而根据(3. 13)式可知
时,有
同理可知,当
时
0此时
当
时,从直觉上来看,如果厂商之间在自主研发的初始经验与基础知识上存在差距,那么处于劣势的厂商可能会由于在相同投资水平上,其研发成功的可能性低于对手而在自主研发上缺少积极性。但命题3. 4 说明,知识存量和经验上的差距并不必然挫伤技术后进企业(拥有较小的
θ
)的研发积极性。这主要取决于研发投入的绩效,即增加一单位的自主研发投入能在多大程度上提升研发成功的概率。在本章分析中,这体现在弹性
ε
I
的大小上。如果我们为命题 3. 4 设定
θ
i
>
θ
j
这样一个背景,则可以发现,当
ε
I
较高时,技术后进厂商(厂商
j
)不仅不会削减自主研发投入,反而会试图通过增加自主研发投入来抵消其在研发基础上的劣势;而此时,较高的
θ
值却给研发基础较好的厂商
i
施加了“惰性”影响,因为较高的
θ
值意味着厂商
i
只需要支付较少的研发投入,便可以保证以较高的概率实现研发。
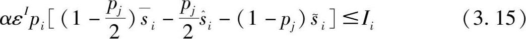
接下来,考虑厂商决策的角点解。在(3. 2)式的最优化问题中,有两种可能出现的角点解情形
或
其中
的条件可以写为,对于任意
I
i
.
[0,
B
i
],始终都有:
(3. 15)式说明,对于给定的技术进步目标
和竞争对手的研发能力,厂商
i
的自主研发能力
θ
i
过低,以至于成功实现自主研发并赢得专利的概率不足以使研发的边际收益超过边际成本。此时,厂商
i
的最优选择只能是放弃自主研发。
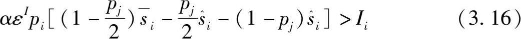
的条件则为对于任意
,始终都有:
(3(点)16)式反映的是厂商
i
的自主研发面临资金约束的情形。此时厂商的自有资金不足以使厂商在最优点上进行技术研发,厂商只能选择
=
B
i
。
由上面的分析可知,如果(3. 15)式的相反情况出现,则可以得出下面的命题:
命题 3. 5:如果
I
i
= 0 时
式成立,则无论厂商是否引进技术,其一定会选择自主研发。
证明:当厂商不进行自主研发时,其净支付相当于令(3. 2)式中的
I
i
为 0。此时,如果
I
i
= 0 时
,则
I
i
= 0 为非利润最大化的选择,因为增加
I
i
的边际成本小于相应的边际收益,即厂商会进行正的自主研发投入。
就引进技术而言,除了技术授权通常所采用的两部收费外
,厂商还可以通过合资的方式来获得先进技术,其代价是要将一部分的市场利润转移给提供技术的专利所有者。实际上,只要厂商能够与技术拥有者签订一个事后支付合约,这两种引进技术的方式在本章的分析框架下是相同的。此时,无论是两部分收费还是合资意义上的利润分成,都表现为厂商在事后从市场净利润中进行的支付。在确定性的市场条件下(即可以准确估计市场净利润),只要厂商的事后净利润足以支付技术引进的费用,那么这种事后支付就不会影响厂商的事前决策。
引进技术的意义在于,厂商可以在自主研发没有成功的情况下参与市场竞争,争取市场份额。尽管因此厂商需要为此支付给专利所有者[1
]部分的利润分成,但是由于通常有
,因而与研发失败相比,其利润增量总为正。
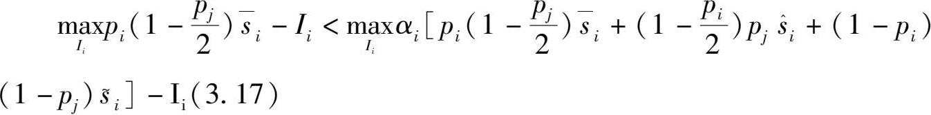
厂商是否愿意引进技术,取决于引进技术对其期望利润的改变程度。当下面的条件成立时,厂商 i 会选择引进技术:
在上面的不等式中,不等号左边是厂商 i 不引进技术所能得到的最大收入,右边是厂商 i 引进技术所能得到的最大收入。(3. 17)式给出了厂商加入技术引进合约的参与约束。当市场中存在多个厂商时,它们中的某一个可能能够与专利所有者签订一种排他性的技术合作合约。当然,为此厂商通常需要补偿专利所有者由于放弃了与其他厂商的合作而遭受的损失。如果某个厂商觉得做出这种补偿后,自身的利润仍然能够有所增长,那么在不考虑其他因素的条件下,这种合约的签订就是合意的。
从静态的一次性技术进步过程来看,上面的分析说明自主研发与引进技术之间并不存在替代关系。这主要是因为它们并不是在预算约束上相互竞争的。由于厂商可以签订事后利润分成式的合资合约,因而其用于引进技术的费用并不需要在事前支付,而是采取了以市场换取技术的形式,这也是现实中很多厂商所采取的策略。此时,厂商事前需要考虑的问题变为:是否需要引进技术,以及何种水平的自主研发投入是最优的。这两个问题之间并不存在相替代的关系:所有的技术进步费用 B i 可以全部用于自主研发;至于引进技术,则是一个事后利润分成的问题。但是,从动态角度来说,如果融资是有限的,那么第一期厂商的净利润构成了之后厂商自主研发经费的来源。当企业不得不将其当期利润中的一部分用于技术引进时,就可能使未来的自主研发投入面临资金约束。