



在一场降雨引起的地表径流过程中,由于降雨强度的随机变化,径流中污染物的浓度随时间变化很大,故采用次降雨径流平均浓度(EMC)来表示在一场降雨的地表径流全过程中排放污染物的平均浓度。EMC是一场地表径流中瞬时污染物浓度的流量加权平均值,定义为一场降雨引起的地表径流中排放的污染物总质量除以总径流体积(Charbeneau et al.,1998),可用下式表示:
其中, C i 是第 i 时间段内的污染物浓度, V i 是第 i 时间段内的径流量。从地表径流对受纳水体的污染贡献方面来讲,掌握地表径流对水体污染的流量加权平均情况比径流过程中污染物浓度的瞬时变化更为重要,因此EMC可以作为评价地表径流对受纳水体影响程度的指标。
应用公式(3-1)计算了各采样点多场径流中颗粒相和溶解相16种多环芳烃组分的EMC值,图示在图3-1中。各场地表径流中∑ 16PAHs颗粒相、溶解相以及总浓度的EMC值列在表3-4中。
表3-4 各场地表径流∑16PAHs的EMC值(μg/L)
Table 3-4 EMCs of ∑16PAHs for the sampled storm events(μg/L)
注:2006-05-04支路未采样
由图3-1可以看出,在道路和路边停车场各采样点地表径流中,溶解相多环芳烃中浓度相对较高的组分包括PHE、FLA和PYR,而颗粒相多环芳烃中浓度相对较高的组分主要包括FLA、PYR、CHR、BbF、BkF、IcdP和BghiP。在各场地表径流中,虽然多环芳烃各环组分中颗粒相的浓度均远大于溶解相浓度,但单独就颗粒相和溶解相而言,颗粒相的多环芳烃以高环组分为主,溶解相的多环芳烃则以低环组分为主。这主要是由于低环组分的水溶解度大于高环组分,高环组分在水环境中更倾向于吸附在颗粒物上进行迁移,从而颗粒相多环芳烃中高环组分占优,溶解相多环芳烃中低环组分占优。
图3-1 各采样点16种多环芳烃颗粒相和溶解相的ENC值
Figure 3-1 EMCs of the 16 PAH compounds for the sampled runoff events
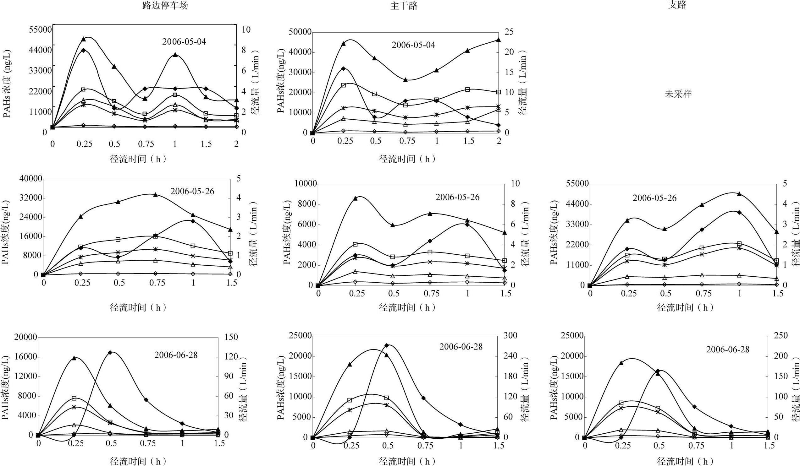
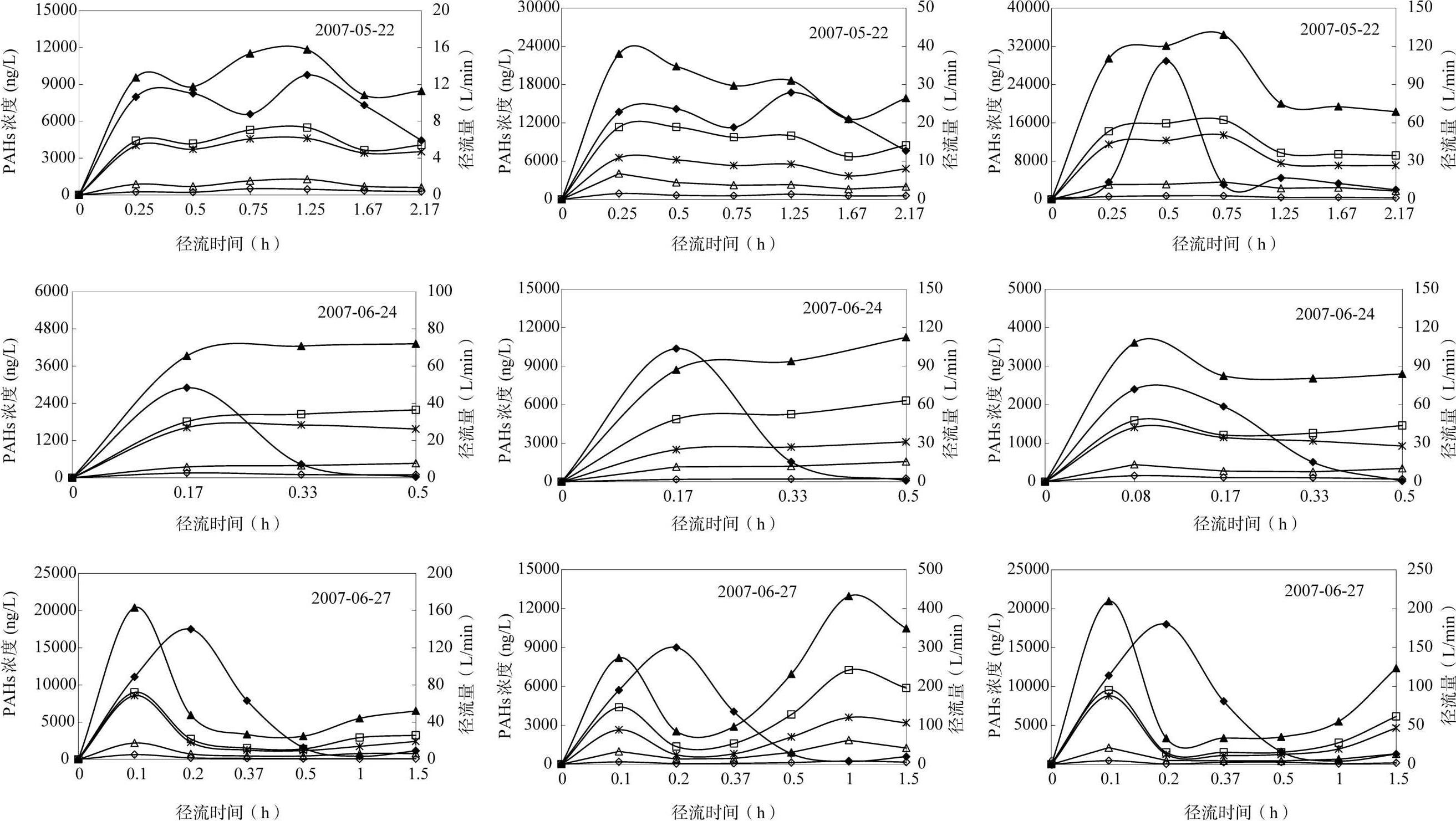
道路和路边停车场各场地表径流中16种多环芳烃的总浓度及各环组分浓度与径流量随降雨历时的变化特征绘制在图3-2中。如图3-2所示,在各场地表径流过程中,多环芳烃各环组分的浓度均表现出相似的动态变化特征。由图3-2可见,污染物在次降雨径流过程中的浓度与径流量的相对动态变化通常有以下三种情况。
第一种,一场降雨中如果污染物的浓度曲线峰出现在径流曲线峰之前,表明在前期径流中污染物的浓度高,这是由于在前期径流中,地表晴天累积的污染物在径流峰到来之前被冲刷,形成一个浓度峰,径流峰之前的污染物冲刷浓度高于径流峰之后的浓度,称为径流峰前的浓度初期冲刷(Lee et al.,2000)。
第二种,如果污染物的浓度曲线与径流量曲线近似平行,则降雨过程中污染物浓度的动态变化与径流量的动态变化同步,称为与径流峰一致的浓度冲刷。
第三种,如果污染物浓度峰出现在径流峰之后,表明尽管前期径流量相对较大,但后期径流中污染物的浓度高于前期径流,称为径流峰后的浓度后期冲刷。
降雨过程中污染物的浓度冲刷与径流峰的各种相对变化情况,与雨前晴天污染物的累积量、一场降雨中的降雨量、降雨强度的变化等因素有关,是降雨类型与雨前天气情况综合作用的结果。本研究中发现,在降雨事件2006-06-28、2006-07-23、2006-08-08、2007-05-22、2007-06-27、2007-07-07中,地表径流中各采样点多环芳烃的浓度峰大部分在径流峰之前出现,属于第一种情况。降雨事件2006-05-04和2007-06-24中,道路和路边停车场各采样点的径流中多环芳烃的浓度曲线与径流曲线的峰同步或者近似平行,降雨事件2006-05-26和2006-07-23中,支路采样点地表径流也有类似现象,这些都属于第二种情况。降雨事件2007-06-27的主干路径流、2007-07-07的支路径流、2006-07-31的主干路和支路径流中多环芳烃的浓度峰出现在径流峰之后,属于第三种情况。
就道路类型而言,路边停车场和支路径流发生径流峰前的浓度初期冲刷现象较为频繁,主干路径流则相对较少。表明浓度初期冲刷现象并非地表径流中必然出现的现象。在城市流域中,如果径流初期冲刷现象明显,则对该流域雨水径流污染处理的工程设计有很大影响,可以根据初期径流的污染情况和污染量设计截留和处理设施,得到成本有效的处理方案。但这样的设计对于后期冲刷和整个径流过程中均匀冲刷的情况就不适用,因此在污染治理实践中,应该根据区域地表径流污染的具体特征,依托于科学的监测和分析,设定有针对性的径流处理模式。这里所讨论的是污染物浓度的初期冲刷现象,通常关注较多且与径流管理联系更密切的是污染物负荷的初期冲刷,关于多环芳烃污染负荷的初期冲刷效应和地表径流污染控制的优化模型,将分别在第九章和第十一章中进行详细讨论。
图3-2 多环芳烃浓度(颗粒相+融解相)曲线和径流量曲线
Figure 3-2 PAHs pollutographs and runoff hydrographs