



首先我们介绍秦九韶本人对“三斜求积公式”的证法.
证明1 如图6-1( a ),作高 AD = h ,设 BD = m , DC = n .
 
    图6-1
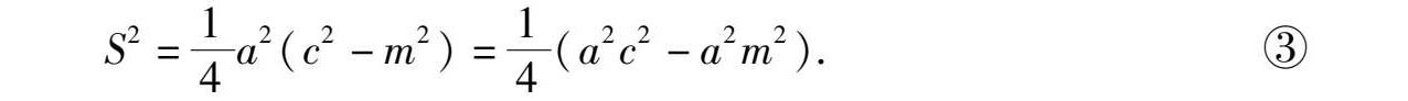
    由
    
     S
    
    =
     ah
    
    (古代称为圭田求积法)
    
     ah
    
    (古代称为圭田求积法)
   
自乘得
 
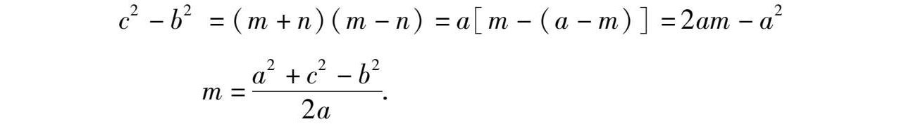
   由勾股定理
 
   将②代入①得
 
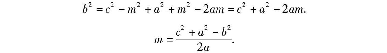
   又依②得
 
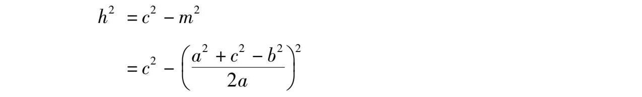
   从图6-1( b ),由演段法得知
 
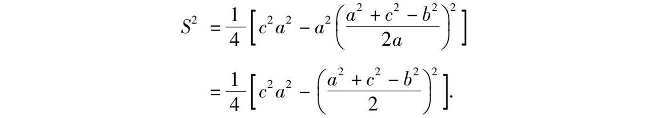
   以⑤代入④得
 
   代入③得
 
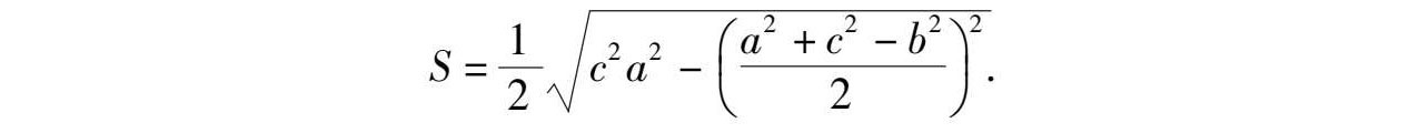
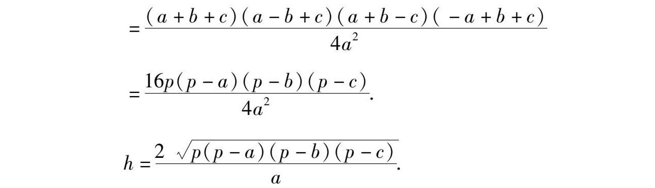
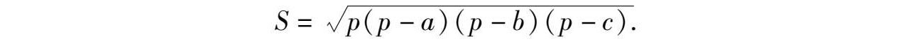
   所以
 
   即“三斜求积公式”得证.
下面我们来证明秦九韶-海伦公式.
证法2 同证法1所设,有
 
   ⑥-⑦得
 
   于是有,
 
    
   
    所以
    
     S
    
    =
     ah
    
    =
    
     ah
    
    =
     .
    .
   
    
     证法3
    
    因为cos
    
     C
    
    =
     ,
    ,
   
所以
 
   化简整理得
 
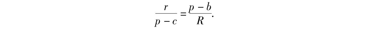
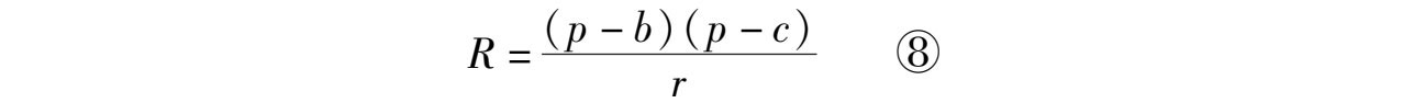
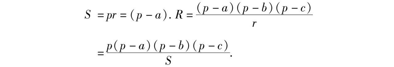
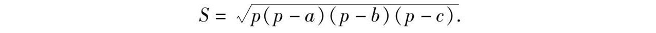
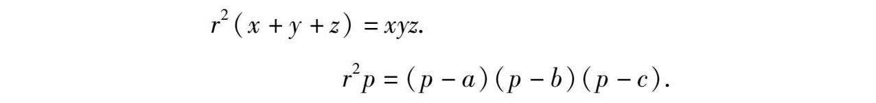
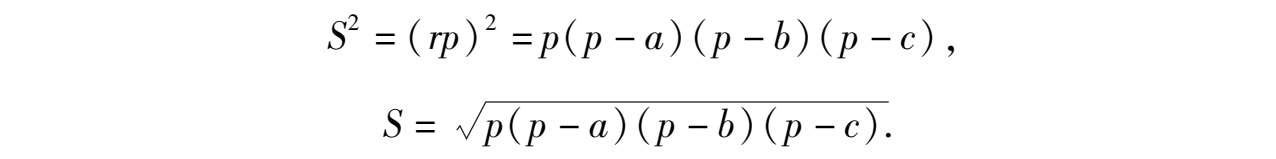
   证法4 如图6-2,设 O , O′ 分别为△ ABC 的内心与旁心, r 、 R 是☉ O ,☉ O′ 的半径, D 、 E 是切点,易知 AE = p , AD = p - a , DB = p - b , BE = p - c ,由于∠ OBO′ =90 ° ,
 
    图6-2
所以 Rt △ BOD ∽ Rt △ O′BE ,
所以
 
   即
 
   得
 
   又△ AOD ∽△ AO′E ,
因为
 
   即
 
   由⑧、⑨可得
 
   所以
 
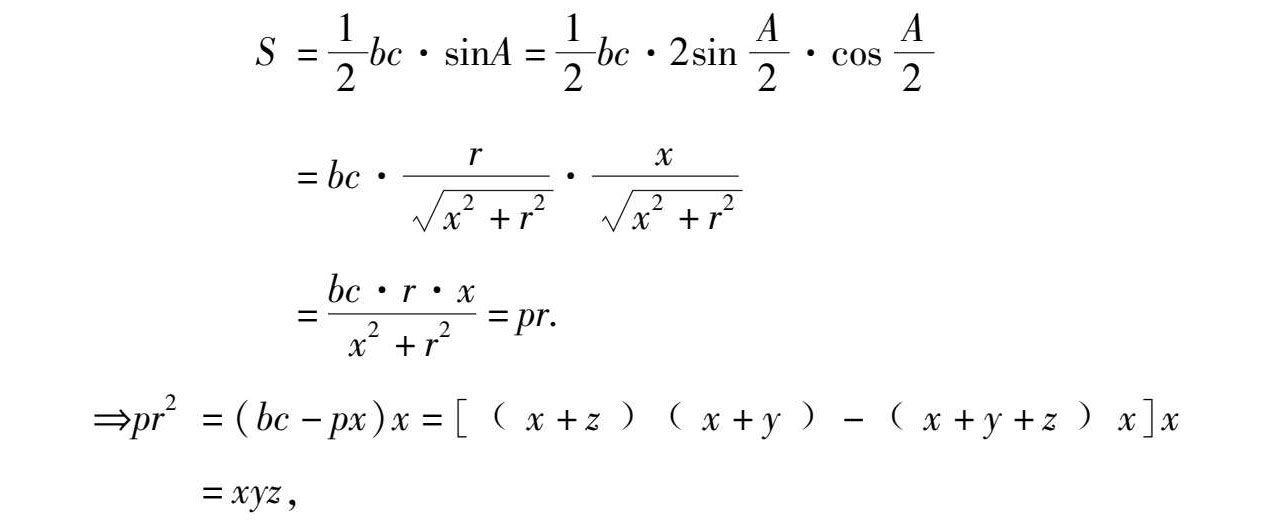
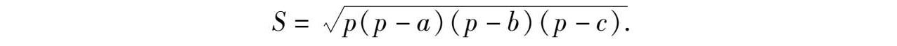
   证法5 如图6-3所设,☉ O 为△ ABC 的内切圆,则
 
    图6-3
 
   因为
 
   所以
 
   即有
 
   所以
 
   所以
 
   证法6 如图6-3,
因为
 
   所以
 
   所以
 
   所以
 
   当然,本公式还有行列式证法、复数证法等其他方法.