



黄金分割 把一线段分成两段,使其中较大的一段是原线段与较小一段的比例中项,叫做把这条线段黄金分割.
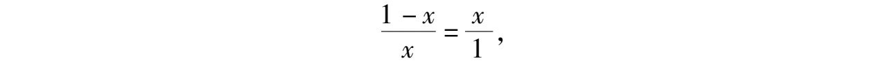
如图3-1,
C
为线段
AB
上一点,如果有
=
,则点
C
叫做线段
AB
的黄金分割点.设
AB
=1,
AC
=
x
,则
图3-1
解之得
称之为黄金比,也叫中末比、中外比、黄金率.我国古代称为弦分割,黄金比的数值
≈0.618033989…(以下记为
ω
),后人还称为黄金数..它的发现,普遍认为是古希腊柏拉图(Plato,公元前427~前349年)学派的欧多克斯(Eudoxus,约公元前408~前335年),也有学者认为是较之更早的毕达哥拉斯学派,因为毕达哥拉斯学派常用正五边形,其中多处包含黄金比.但这个结论值得商榷.
黄金分割以中末比作图形式出现在欧几里得《几何原本》中,在《原本》第Ⅱ卷命题11中,欧几里得用几何方法证明了“把线段
AB
分割于某点
H
,使得
AB
·
BH
=
AH
2
”.但并未得到
=
.
黄金分割是欧洲文艺复兴时期,由意大利著名艺术家、科学家达·芬奇(LeonardodaVinci,1452~1519)冠以的美称.德国著名天文学家、数学家开普勒(Kepler,1571~1630年)把它与勾股定理并列,誉为古希腊几何学的两颗明珠,可见黄金分割地位之赫然.
达·芬奇笔下的“蒙娜丽莎”、拉斐尔的“花园中的母与子”中母与子有一个共同特点是:人物避开了正面和背影的刻画,而是选取了正中带侧或是背中带侧的角度.我们在对0 ° 到180 ° 之间进行黄金分割可以得到一个黄金角度,达·芬奇和拉斐尔所使用的就是这样一个角度.翻开西方的艺术史,有近90%的人物都用这个角度,你能说,这仅是一种巧合?
黄金分割在美学、艺术、建筑和日常生活方面有着广泛的应用.如埃及的金字塔、印度的泰姬陵以至法国的埃菲尔铁塔上,都可发现与黄金比有联系的数据.再如现今印刷的各种书籍、图片、门窗、桌面其长宽之比大多接近黄金比,这样制作,美观﹑大方,材料最省;在高塔的黄金分割点处建造楼阁或设置平台,能使瘦削单调的塔身变得壮观;在摩天大厦的黄金分割点处加道腰线或装饰物,会使整个大厦显得雅致;二胡演奏中的“千金”分弦,若符合黄金比,音调最和谐;独唱演员站在舞台的黄金分割点,给人感觉最适宜,音响效果最好.人体也符合黄金比,若人的肚脐是人体总长的黄金分割点,膝盖是肚脐到脚跟的黄金分割点,则其身材最匀称,古希腊的智慧女神雅典娜和太阳神阿波罗的塑像都采用这种身段比.
我国早在战国时期就已知道并能应用黄金分割,长沙马王堆汉墓出土的文物中,有的长宽就是按黄金比制作的.清朝数学家梅文鼎对黄金分割有深入研究,他在《几何通解》和《几何补编》(1692年)中,对黄金分割有详细论述.
13世纪初意大利数学家斐波那契(L.Fibonacci,1170~1250年)研究过这样一个有趣问题:“兔子出生以后两个月就能每月生小兔,若每次不多不少恰好生一对(一雌一雄),假如养了初生的小兔一对,试问一年以后共有多少对兔子(假设生下的小兔都成活的话)”.如果我们把每月的兔子(对)数排成一列数,即得数列
有趣的是,比值
当
n
无限增加时,就得到黄金比
.
大书法家启功在《书法概论》中介绍,那些公认的书法中可以给人较多美感,赏心悦目的作品的一个共同特点是:每个笔画同格线的交点,都会在一个方格的四个黄金分割点上或者附近.
树枝的生长也满足黄金比,这是数学家泽林斯基在一次国际数学会议上提出的:
趋于黄金比.又如在峰房结构、波罗的鳞片、向日葵籽排列等问题中,都可找到与黄金数的联系.大自然“喜欢”用黄金分割“说话”,这反映了大自然内在的比例规律,也说明黄金分割的普遍性.
随着生产和科学试验的需要,近40年来黄金分割在优选法中开辟了它的应用领域,在单因素优选法中,利用黄金数
ω
=
(或其倒数
=
)逐次安排试验点,可以减少试验次数,并迅速可靠地搜索到符合生产要求的试验点,这可说是黄金分割绽开的又一朵新花!