



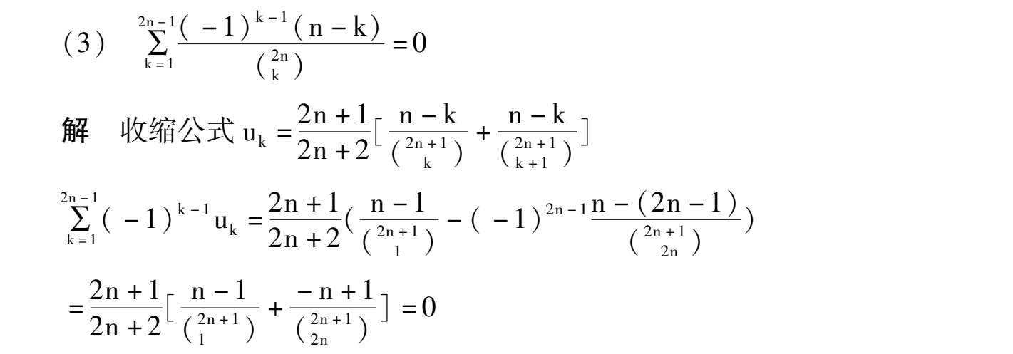
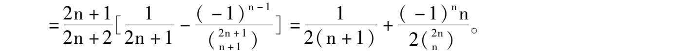
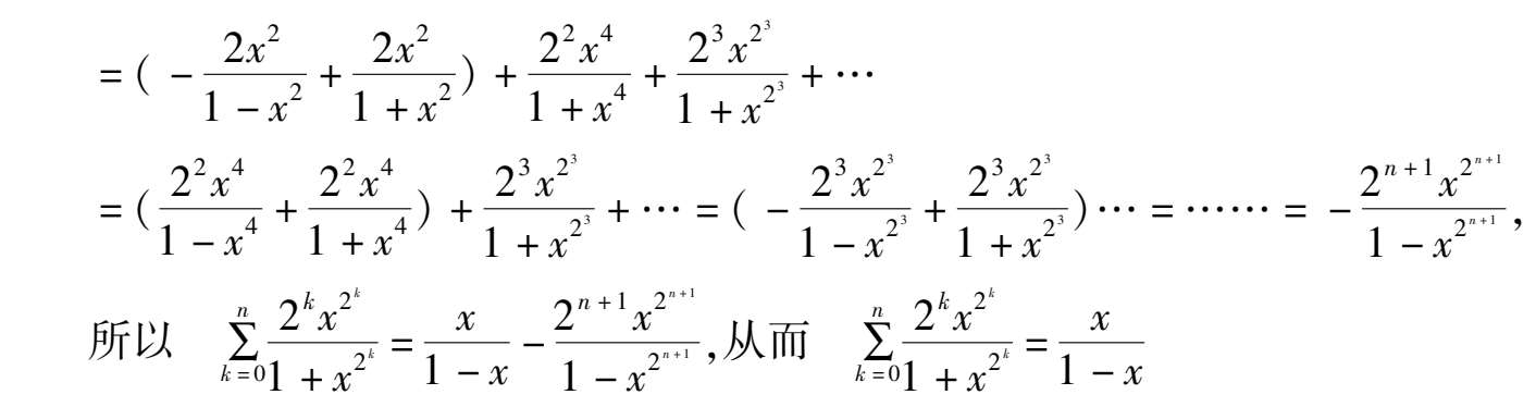
如何将序列通项分拆成连续函数和或差,有如下收缩公式:
收缩公式1设
u
k
=
f
(
k
)-
f
(
k
+1),则
u
k
=
f
(
a
)-
f
(
n
+1),
n
⩾
a
;
收缩公式2设 u k = f ( k )+ f ( k +1),
则
(-1)
k
u
k
=(-1)
a
f
(
a
)-(-1)
n
+1
f
(
n
+1),
n
⩾
a
;
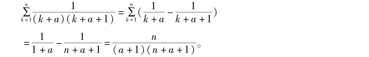
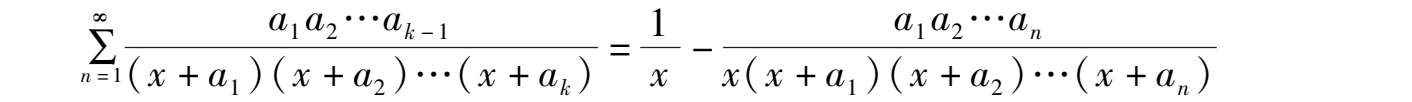
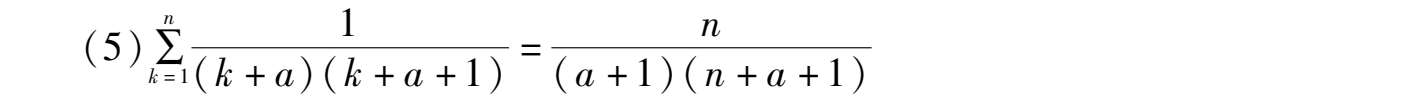
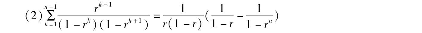
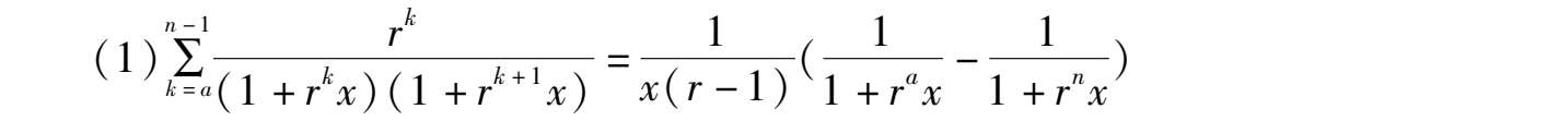
从通项表达式如何求得收缩公式 u k 是得到结果的关键。可用分式化成部分分式的方法。
设
=
+
=
,两端同次幂系数相等,
A
+
B
=0,(
Ar
+
B
)
xr
k
=
r
k
,
A
+
B
=0,(
Ar
+
B
)
x
=1;
A
=
,
B
=-
;于是,得到
u
k
=
(
-
)。
可得到收缩公式
u
k
=
(
-
)。
可得到收缩公式
u
k
=
(
-
)。
可得到收缩公式
u
k
=
[
-
]。
=
+
,得到
A
=1,
B
=-1,从而
同法可得
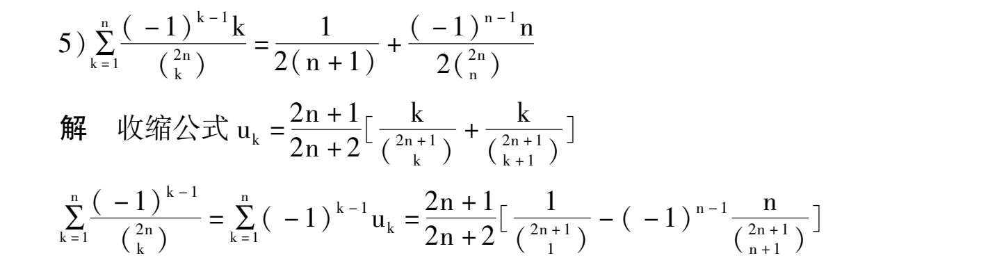
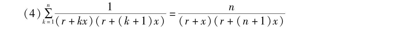
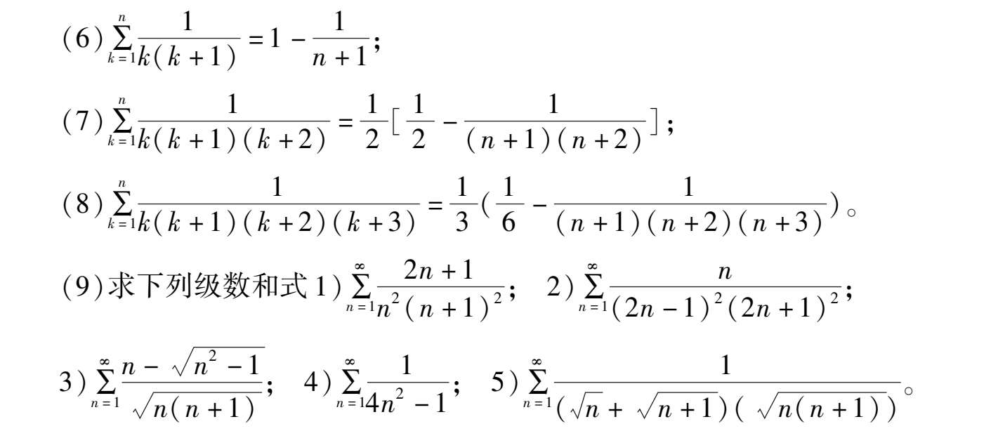
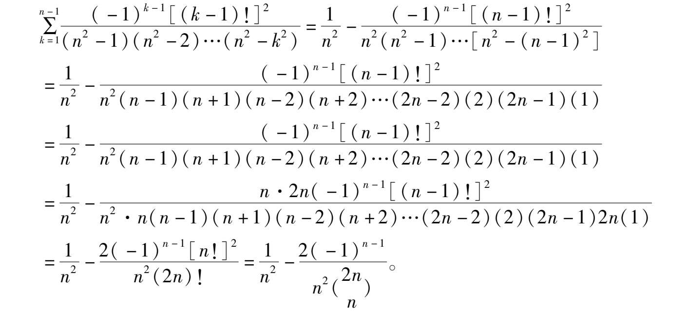
解 这类问题根据表达式特点,对通项进行裂项
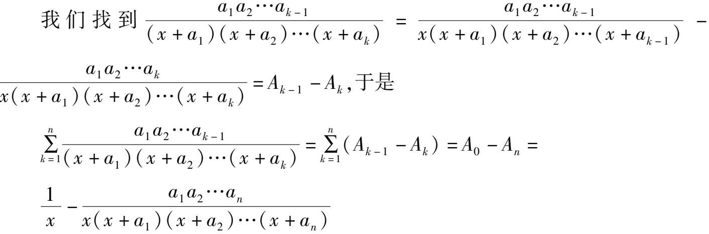
(11)证明
注意到右端为 A 0 - A n ,通项应为某两项之差即 A k -1 - A k ,
令 x = n 2 , a k =- k 2 ,