



利用反正切函数公式arctan
F
(
n
)
+
arctan
F
(
n+
1)=arctan
,根据收缩公式:若
v
k
=f
(
k
)
+f
(
k+
1),则
(-1)
k
v
k
=(-1)
a
f
(
a
)-(-1)
n+
1
f
(
n
+
1),
n
⩾
a
.计算出正负相间反正切函数序列封闭形和式。再用微分法得到正负相间分式序列封闭形和式,最后给出一些正负相间反正切级数与分式级数恒等式。
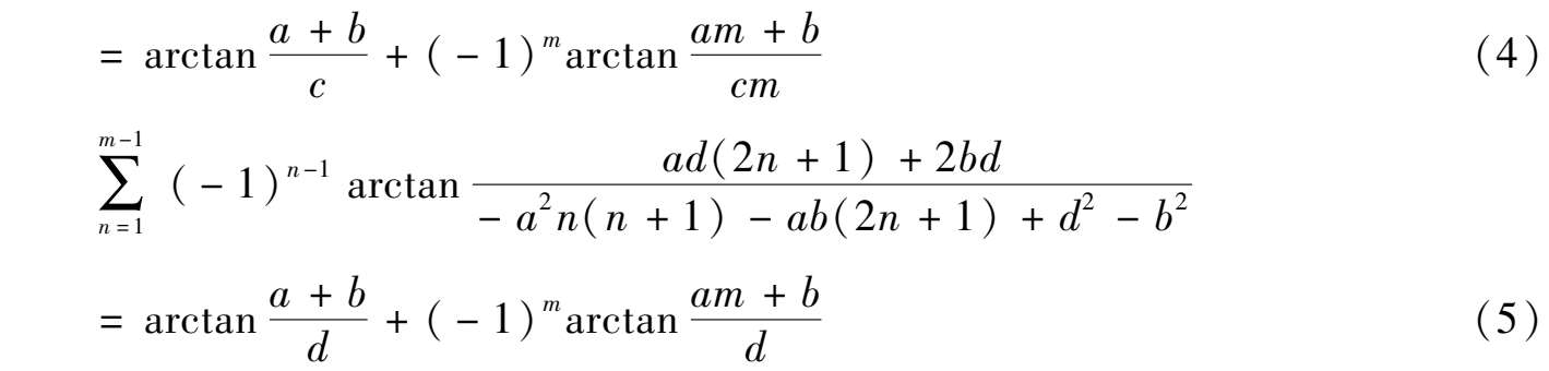
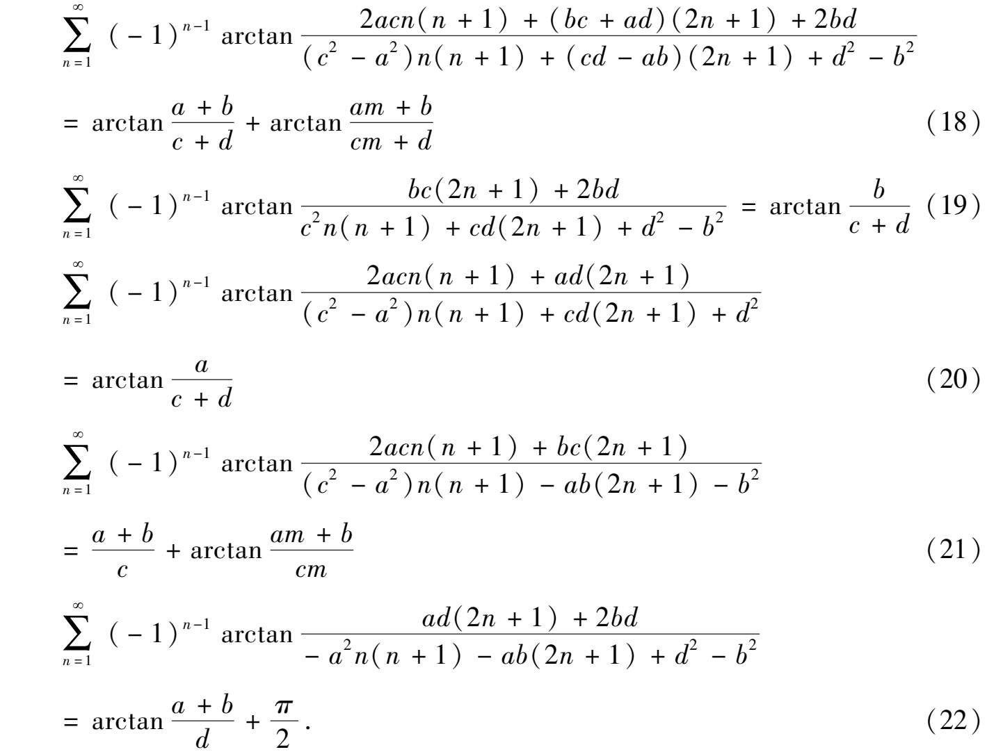
命题 1设 a , b , c , d 为实数,则正负相间反正切序列封闭形和式为
证明
设
F
(
n
)=
,由反正切函数公式
故(1)式成立。
在(1)式依次令 a= 0; b= 0; d= 0; c= 0得到(2),(3),(4),(5)式。
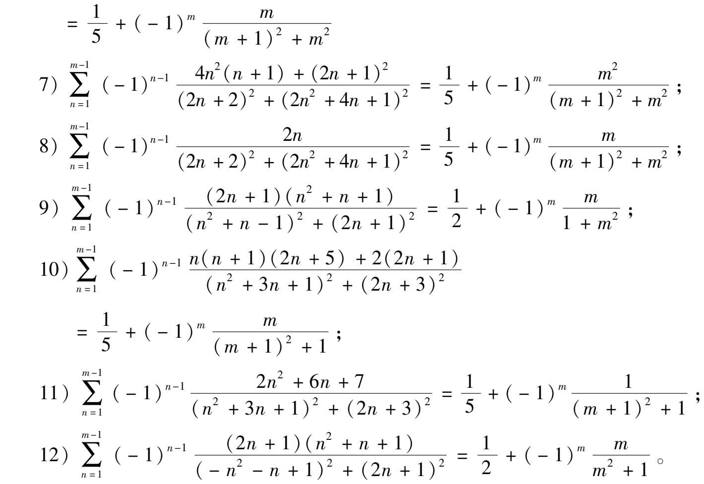
命题 2设 a , b , c , d 为实数,则正负相间分式序列封闭形和式为
证明 对(2)式,依次对 b ,微分得到(6)式,(2)式对 c , d 微分并两端乘以-1,得到(7),(8)式。
(3)式对 a 微分,得到(9)式,(3)式对 c , d 微分并两端乘以-1,得到(10),(11)式。
(4)式对 a , b ,微分,得到(12),(13)式;(4)式对 c 微分,并两端乘以-1,得到(14)式。
(5)式对 a , b ,微分,得到(15),(16)式,(5)式对 d 微分,并两端乘以-1,得到(17)式。
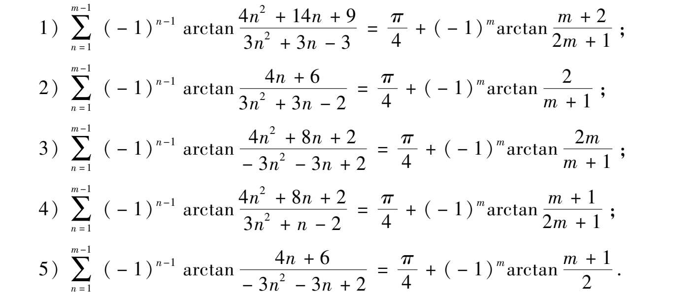
在(1)令 a= 1, b= 2, c= 2, d= 1;在(2)令 b= 2, c= 1, d= 1;在(3)令 a =2, c= 1, d= 1;在(4)令 a= 1, b= 1, c= 2;
(5)式令 a= 1, b= 1, d= 2,得到
例 1下列正负相间反正切序列封闭形和式成立
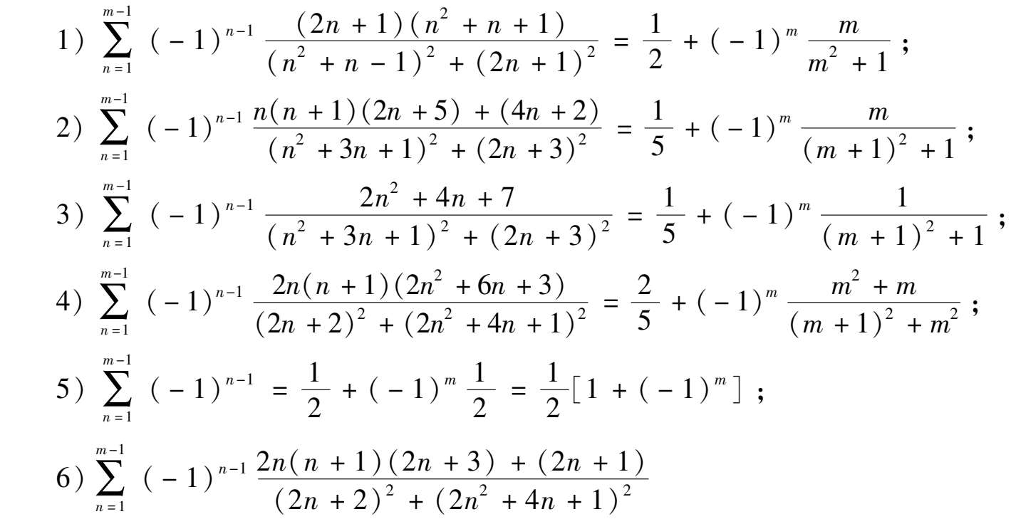
在(6)令 b= 1, c= 1, d= 0;在(7)令 b= 1, c= 1, d= 1;在(8)令 b= 1, c =1, d= 1;在(9)式令 a= 1, c= 1, d= 1;在(10)令 a= 1, c= 1, d= 0;(11)令 a= 1, c= 1, d= 1;在(12)令 a= 1, c= 1, d= 1;
在(13)令 a= 1, b= 1, c= 1;在(14)令 a= 0, b= 1, c= 1;在(15)令 a= 1, b= 1, d= 1;在(16)令 a= 1, b= 1, d= 1;
在(17)令 a= 1, b= 0, d= 1;得到:
例 2下列正负相间分式序列封闭形和式成立
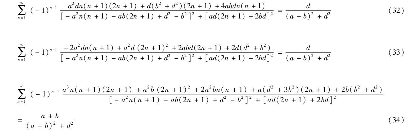
推论 1设 a , b , c , d 为实数,则正负相间反正切级数为
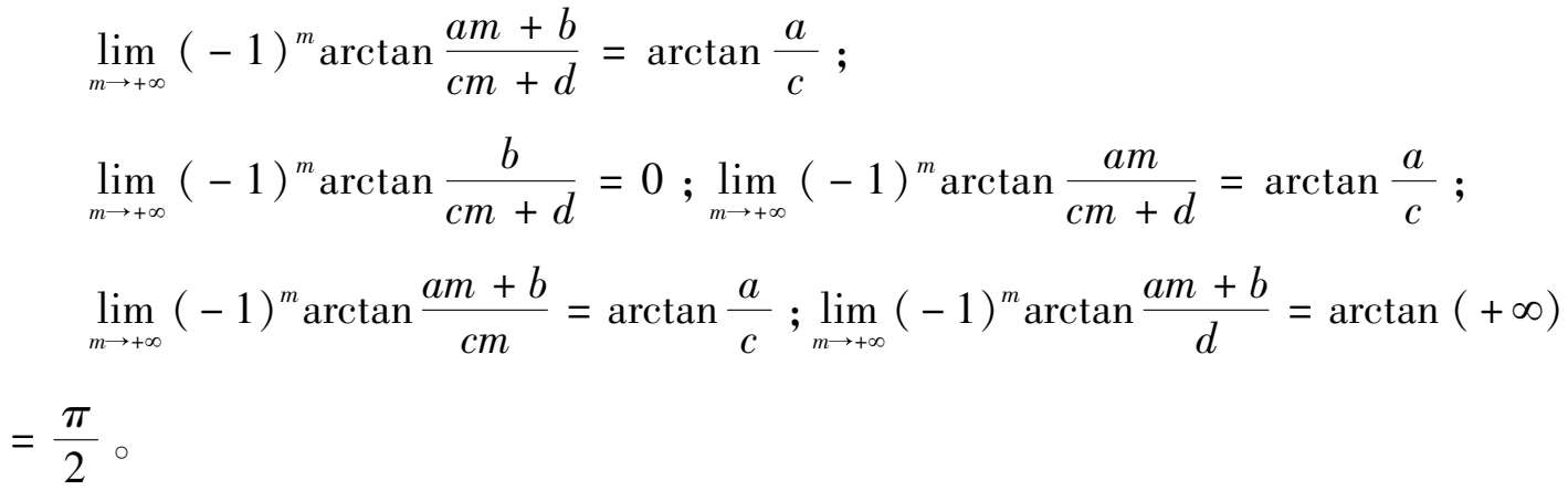
证明 在(1),(2),(3),(4),(5)式,取极限
依次得到(18),(19),(20),(21),(22)式。
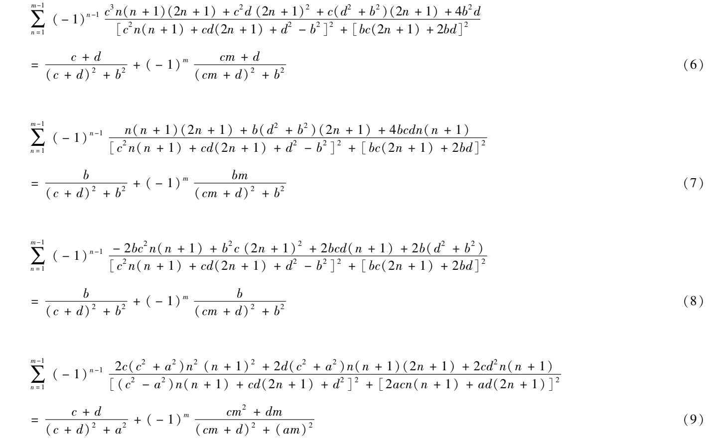
推论 2设 a , b , c , d 为实数,则正负相间分式级数和式为
依次得到(23)-(34)式。