



定义2.5
时标
是实数集
的一个非空闭子集,它遗传了
上的拓扑和序结构。
定义2.6
前跃算子
σ
:
→
定义为:
后跃算子
ρ
:
→
定义为:
规定inf∅=sup
,sup∅=inf
。
定义2.7
粗细度函数
μ
:
→[0,∞)定义为:
称满足
t
>inf
且
ρ
(
t
)=
t
的点
t
∈
是左稠的;称满足
ρ
(
t
)<
t
的点
t
∈
为左离散的;称满足
t
<sup
且
σ
(
t
)=
t
的点
t
∈
是右稠的;称满足
ρ
(
t
)>
t
的点
t
∈
为右离散的。
定义2.8
若
有一个左离散的最大值
m
,则
k
=
\{
m
},否则
k
=
;若
有一个右离散的最小值
m
,则
k
=
\{
m
},否则
k
=
。
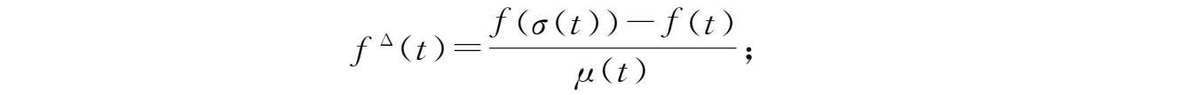
定义2.9
若对函数
f
:
→
,
t
∈
k
,
f
Δ
(
t
)满足以下条件:对任意
ε
>0,存在
t
的邻域
U
,使得
对所有 s ∈ U 成立,则称 f Δ ( t )为 f ( t )的Delta导数。
定义2.10
设函数
z=
:
→
,其中
z
A
:
→
,若对任意的
A
∈
Λ
,(
z
A
)
Δ
(
t
)存在,则称
z
Δ
(
t
)
=
为Clifford数
z
的Delta导数。
定
义
2.11设函数
z=
:
→
,其中
z
A
:
→
,若对任意的
A
∈
Λ
,
z
A
是右稠连续的,则称
为Clifford数
z
从
a
到
b
的Delta积分。
引理2.1
若
f
:
→
,且
t
∈
k
.则
①若 f 连续,则 f 右稠连续。若 f 在 t 处可微,则 f 在 t 处连续;
②若 f 在 t 处连续且 t 是右离散的,则 f 在 t 处可微,且
③若
t
是右稠密的,则
f
在
t
处可微当且仅当极限
存在。即
④若 f 在 t 处可微,则 f ( σ ( t ))= f ( t )+ μ ( t ) f Δ ( t )。
引理2.2
若
f
,
g
:
→
在
t
∈
k
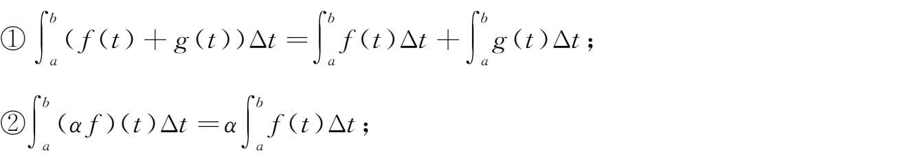
处可微,则有下列结论成立:
①对任意常数
α
,
β
,(
αf
+
βg
):
→
,在
t
处可微且(
αf
+
βg
)
Δ
(
t
)=
αf
Δ
(
t
)+
βg
Δ
(
t
);
②积
fg
:
→
在
t
处可微且
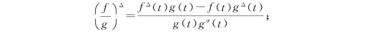
③若
g
(
t
)
g
σ
(
t
)≠0,则
:
→
在
t
处可微且
④若
f
和
f
Δ
连续,则
=f
(
σ
(
t
),
t
)
+
定义2.12
若函数
f
:
→
在
中的右稠点的右极限存在且左稠点的左极限存在,则称其为正则的。
定义2.13
若函数
f
:
→
在
中的右稠点处连续且在左稠点的左极限存在,则称其为右稠连续的。记
C
rd
(
,
):={
f
|
f
:
→
右稠连续},简记为
C
rd
(
)或
C
rd
.
定义2.14
设
f
为右稠连续的,若
F
Δ
(
t
)=
f
(
t
),则(1)若对任意
a
,
t
∈
,有
=F
(
t
)
-F
(
a
)成立,则称
为
f
的
Δ
积分;(2)若对任意
,
,
ρ
(
t
)≥
a
,有
=F
(
ρ
(
t
))
-F
(
a
)成立,则称
为
f
的
Δ
积分;(3)若对任意
,
t
∉
,
σ
(
t
)≤
a
,有
=
F
(
σ
(
t
))
-F
(
a
)成立,则称
为
f
的
Δ
积分。
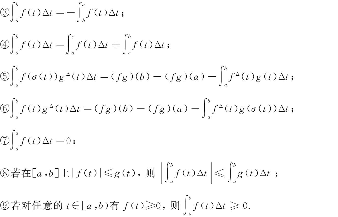
引理2.3
若
f
∈
C
rd
且
t
∈
k
,则
引理2.4
若
a
,
b
,
c
∈
,
α
∈
和
f
,
g
∈
C
rd
(
),则有下列结论成立:
定义2.15
若函数
r
:
→
满足1+
μ
(
t
)
r
(
t
)≠0对所有
t
∈
k
成立,则称
r
为回归的。所有回归且右稠连续的函数
r
:
→
的集合记为
=
(
)=
(
,
),定义正回归集合为
定义2.16
设
p
,
q
∈
,若对任意
t
∈
k
,则
引理2.5
设
f
,
g
∈
,则
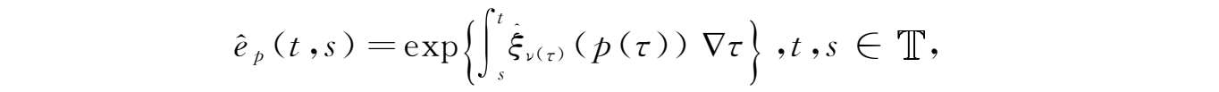
定义2.17 若 r 是回归函数,如果 e r 满足如下表达式
其中
为柱变换,则称 e r 为广义指数函数。
引理2.6
设
f
∈
和
t
0
∈
,则
。
引理2.7
若
p
,
q
:
→
是回归函数,则
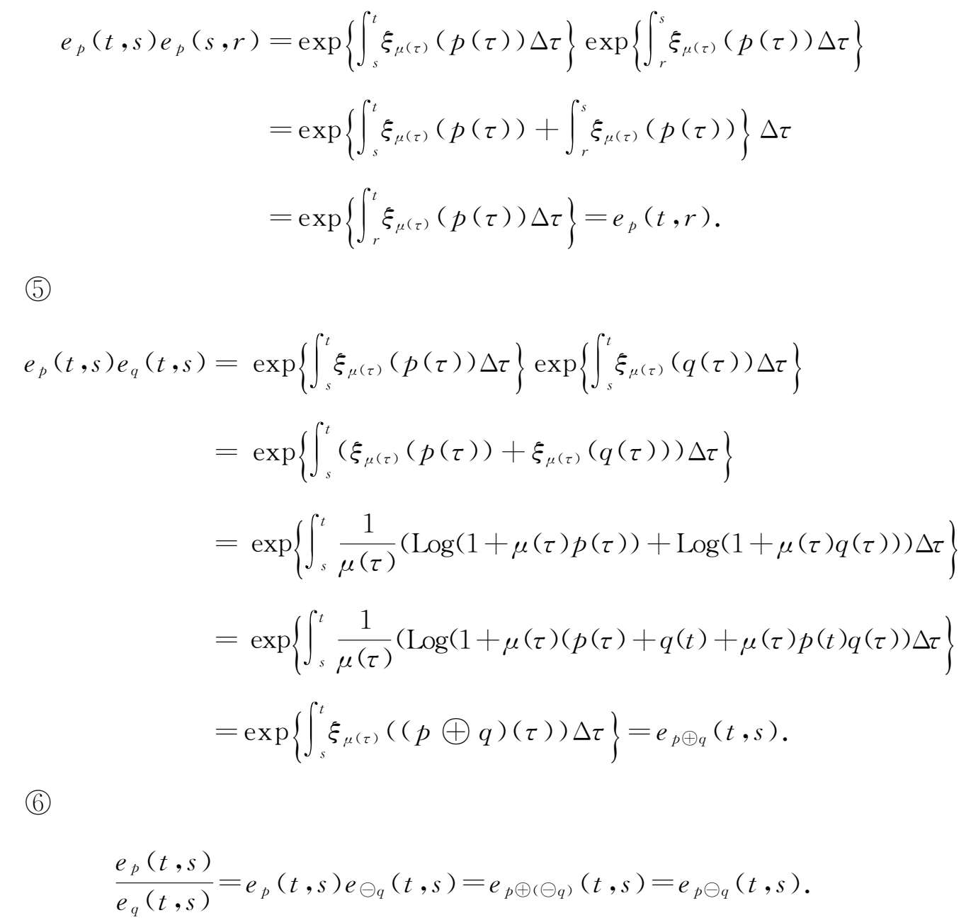
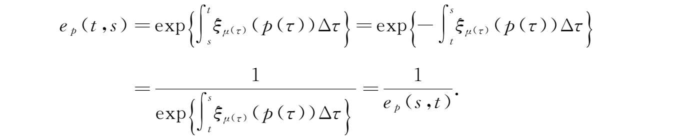
证明 ①由柱变换定义,可得
②根据引理2.4,有
③由柱变换定义,可得
另一方面,
因此,
④由柱变换定义,可得
引理2.8 若 p ( t )≥0,则 e p ( t , s )>1,其中∀ t ≥ s .
引理2.9
若
p
∈
+
,则有
①
e
p
(
t
,
s
)>0,∀
t
,
s
∈
;
②∀
t
,
s
∈
,若
p
(
t
)≤
q
(
t
),则
e
p
(
t
,
s
)≤
e
q
(
t
,
s
),∀
t
≥
s
.
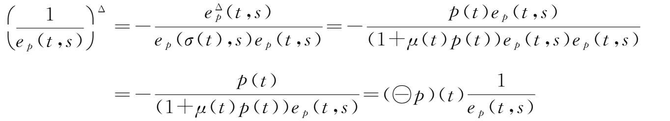
引理2.10
令
p
∈
+
,若任意
a
,
b
,
c
∈
,则有[
e
p
(
c
,·)]
Δ
=-p
(
t
)[
e
p
(
c
,·)]
σ
,
=e
p
(
c
,
a
)
-e
p
(
c
,
b
)
引理2.11
令
t
0
∈
,若在
k
上
a
∈
+
,则
e
a
(
t
,
t
0
)>0对所有
t
∈
都成立。
引理2.12
令
t
0
∈
,若在
k
上
a
∈
+
,则
e
a
(
t
,
t
0
)>0对所有
t
∈
都成立。
引理2.13
(常数变异公式)设
p
∈
,
f
∈
C
rd
,对任意的
t
0
∈
,
x
0
∈
。初值问题
的唯一解可表示为
引理2.14
设
f
(
t
)是一个右稠密连续函数,而
c
(
t
)是一个正的右稠密连续函数且满足-
c
(
t
)∈
+
。令
其中
t
0
∈
,则
定义2.18
设
为时标,定义后跃粗细度函数
ν
:
k
→[0,¥)如下:
若
有一个右离散的最小值
m
,则
k
=
-{
m
},否则
k
=
。
定义2.19
设函数
f
:
→
且
t
∈
k
.定义
f
▽
(
t
)(若存在)为满足以下条件的数:对任意
ε
>0,存在
t
的邻域
U
(即对
δ
>0,
U
=(
t
-
δ
,
t
+
δ
)∩
),使得
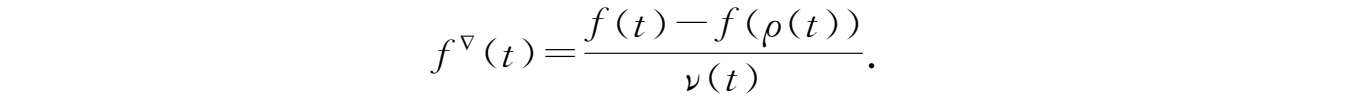
对所有 s ∈ U 成立,称 f ▽ ( t )为 f 在 t 处的Nabla导数。
引理2.15
若
f
:
→
且
t
∈
k
.则有:
①若 f 在 t 点Nabla可微,则 f 在 t 点连续。
②若 f 在 t 点连续且 t 是左离散的,则 f 在 t 点Nabla可微,且
③若
t
是左稠密的,则
f
在
t
点Nabla可微当且仅当极限
存在。即
④若 f 在 t 点Nabla可微,则 f ( ρ ( t ))= f ( t )- ν ( t ) f ▽ ( t )。
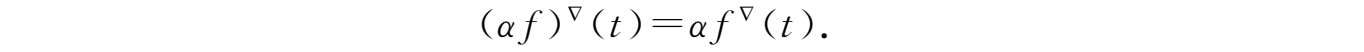
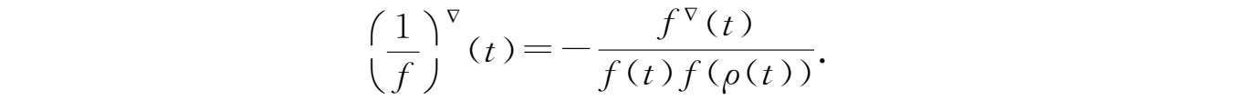
引理2.16
若
f
,
g
:
→
在
t
∈
k
处Nabla可微。则:
①和
f
+
g
:
→
在
t
点Nabla可微且
②对任意常数
α
,
αf
:
→
在
t
点Nabla可微且
③积
f
,
g
:
→
在
t
点Nabla可微且
④若
f
(
t
)
f
(
ρ
(
t
))≠0,则
在
t
点Nabla可微且
⑤若
g
(
t
)
g
(
ρ
(
t
))≠0,则
在
t
点Nabla可微且
定义2.20
若函数
f
:
→
在
中的左稠点处连续且在右稠点的右极限存在,则称其为左稠连续的。所有左稠连续的函数
f
:
→
的集合记为
定义2.21
设函数
f
:
→
,如果存在一个函数
F
:
→
,使得对所有的
t
∈
k
,都有
F
▽
(
t
)=
f
(
t
),那么就称
F
(
t
)是
f
(
t
)的一个原函数。定义
f
(
t
)从
a
到
b
的Cauchy积分或定积分为
引理2.17
若
f
∈
C
ld
且
t
∈
k
,则
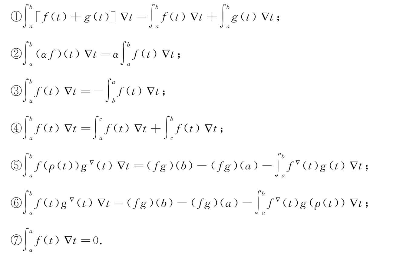
引理2.18
若
a
,
b
,
c
∈
,
α
∈
且
f
,
g
∈
C
ld
,则:
定义2.22
函数
p
:
→
称为
ν
-回归的,若1-
ν
(
t
)
p
(
t
)≠0对所有
t
∈
成立。所有
ν
-回归且左稠连续的函数
p
:
→
的集合记为
定义2.23
我们定义
为正回归,
定义2.24
设
p
,
q
∈
,对所有
t
∈
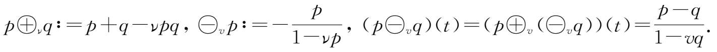
k
,我们定义“圈加”和“圈减”运算为
引理2.19
设
f
,
g
∈
ν
,则
定义2.25
若
p
∈
ν
,则我们定义Nabla指数函数为
其中 ν -柱变换为
引理2.20
若
p
,
q
∈
ν
,且
s
,
t
,
r
∈
,则
引理2.21
假设
p
∈
ν
且
t
0
∈
,若1-
ν
(
t
)
p
(
t
)>0对
t
∈
k
成立,则
p
(
t
,
t
0
)>0对所有
t
∈
都成立。
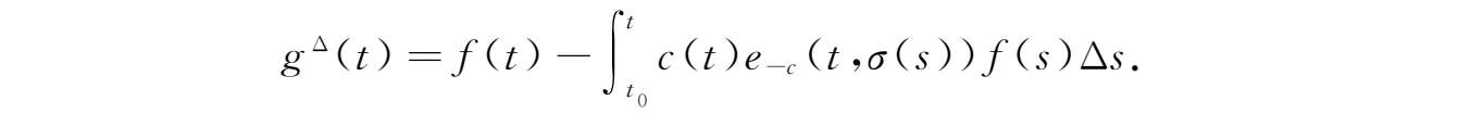
引理2.22
设
f
(
t
)是一个左稠密连续函数,而
c
(
t
)是一个正的左稠密连续函数且满足
c
(
t
)∈
。令
其中
t
0
∈
,则
关于时标的更多知识,可参见文献[39,40]。