



数据中心变配电系统不同于一般的民用建筑的变配电系统,更不同于大多数工业企业中的变配电系统,数据中心往往在变配电系统的主要元器件选择上对其质量有更高的要求。本节将介绍数据中心变配电系统中主要电气设备的具体选择和校验方法。
在数据中心变配电设计中,由于在高低压断路器的选用上要求很高,所以,很多设计人员往往都不对系统配置的诸如高压断路器、低压断路器的开断电流及短路电流进行校验,而只是凭经验根据容量及分断能力的选择。本节将介绍数据中心用高压断路器和低压断路器的选择条件和校验方法。
在一般民用建筑工程项目中,电力系统的各种电气设备的作用和工作条件都不同,不同行业的电力系统的要求也不同。在数据中心电气设备的选择上,应按正常工作条件及环境条件进行选择,并按短路电流计算来校验。
为了保证高压电器的可靠运行,高压元器件应按以下几个条件进行选择:
1)按正常工作条件包括电压、电流、开断电流等选择。
2)按短路条件包括动稳定、热稳定和持续时间校验。
3)按环境条件如温度、湿度、海拔、介质状态等选择。
4)按各类高压元器件的不同特点,如断路器的操作性能、互感器的二次侧负载和准确等级,熔断器的上下级选择性配合等进行选择。
常用高低压电气设备选择校验项目见表5-9。
表5-9 常用高低压电气设备选择校验项目表
表5-9中设备的额定电压、额定电流和环境条件为选择项目;额定开断电流、动稳定和热稳定为校验项目。
表5-9中设备的额定电压和额定电流应按它们的正常工作条件来选择。设额定电压为 U e ,那么 U e 应符合设备装设点供电网络的额定电压,并应不小于正常工作时可能出现的最大工作电压 U g (不包括供电网络出现的瞬变电压),即
表5-9中设备的额定电流 I e 应不小于正常工作时的可能出现的最大持续工作电流 I g ,即
数据中心采用室外箱式变电站时,当电气设备的额定环境温度与实际环境温度不一致时,其最大允许工作电流按表5-10进行修正。
表5-10 高压一次元器件工作电流选择修正表
注: I e ——高压元器件额定电流(A);
θ ——实际环境温度(℃);
θ e ——额定环境温度,普通型和湿热带型为+40℃,干热带型为+45℃。
根据全国供用电规则,受电端的电压波动不应超过如下范围:35kV及以下供电和对电压质量有特殊要求的用户为额定电压的±5%;10kV及以下高压供电和低电力用户为额定电压的±7%。数据中心外市电电压等级分别有10kV、20kV和35kV,其采用的高压开关柜及高压断路器的额定电压分别为12kV(10kV)、24kV(20kV)和40.5kV(35kV),所以,数据中心所选择的高压开关柜和高压断路器的额定电压均高于全国供用电规则所规定的公共电网可能出现的最高运行电压。
数据中心用10kV高压发电机组的输出电压整定范围为±5%,其电压波动范围更小(不包括瞬态变化),故数据中心所选择的高压开关柜和高压断路器的额定电压均高于数据中心用柴油发电机组可能出现的最高运行电压。
数据中心高压开关柜和高压断路器常用的额定电流为630A、1250A,当单回路市电引入容量很大时,可能在个别情况下会出现额定电流为1600A的高压断路器。
高压断路器分为进线断路器、联络断路器和馈电断路器,其中进线断路器的容量应根据单回路市电电源最大持续工作电流进行选择,即该套高压开关柜所带全部用电设备的最大持续工作电流;联络断路器的容量应根据两段母线中较大的用电设备的最大持续工作电流(即所接变压器容量较大的母线段最大工作电流)进行选择;馈电断路器的容量应根据该回路所接的用电设备的最大持续工作电流进行选择。如果馈电断路器的用电设备为变压器,则馈电断路器的容量应根据变压器额定容量进行选择。
例如:某数据中心的变压器总容量为7台2000kV·A变压器,两个10kV高压母线段分别接3台变压器和4台变压器,求流过它的馈电断路器和联络断路器的每相最大工作电流(不计变压器的损耗)。
1)馈电断路器的每相最大工作电流按下式计算
2)联络用断路器的每相最大工作电流按下式计算
数据中心用单台10/0.4kV变压器设备最大容量为2500kV·A,其10kV额定电压时的额定电流(含变压器损耗)为146A左右,而高压断路器最小容量为630A,在以往数据中心工程设计中,变压器出线柜的高压断路器均选择630A高压断路器,对此,设计人员均无需做高压断路器的电流校验计算。
数据中心高压配电系统进线断路器的额定电流最常见的是630A和1250A,在设计时,设计人员可根据公共电网引入容量来选择进线断路器容量。其公共电网单回路供电容量及额定电流见表5-11。
表5-11 公共电网单回路供电容量及额定电流表
(续)
根据全国供用电规则,低压受电端的电压波动不应超过额定电压的±7%。数据中心采用的低压开关柜及断路器的额定电压不低于600V,远高于数据中心低压设备额定工作电压,也高于低压发电机组额定电压。
低压断路器分为进线断路器、馈电断路器、联络断路器等,其中变压器低压侧进线断路器是一个数据中心容量最大的低压断路器,它的容量一般是根据变压器额定容量进行选择;二级配电系统及三级配电系统是根据各级配电系统所接全部用电设备的最大持续工作电流进行选择;馈电断路器是根据所接用电设备最大工作电流进行选择;联络断路器是根据两段低压母线中较大容量的最大持续工作电流进行选择。
变压器低压侧进线断路器容量与变压器额定容量成正比,不同容量变压器的低压侧额定电流见表5-12。
表5-12 变压器额定容量、低压侧额定电流及进线断路器容量表
除了高低压开关设备及高低压断路器外,其他诸如高压熔断器、电流互感器、电压互感器、负荷开关、隔离开关等设备,其最高电压均不小于所在回路的系统最高电压。当选择上述设备的额定电流时,应保证其额定电流不小于该回路的最大持续工作电流。
数据中心高低压配电系统中最重要的设备就是高低压断路器,其短路开断能力(分断能力)应使用计算短路点最大短路电流进行校验。
数据中心用高压断路器最常见的参数指标见表5-13。
表5-13 高压断路器参数
每个数据中心都设有一级高压配电系统,它的外市电引入通常由公共电网变电站引接。在计算和校验一级高压配电系统中进线断路器的开断能力时,需要知道数据中心外市电引接的电力系统出口断流容量(供电部门提供)和电力线路的电抗,再根据公式计算出短路电流和短路容量,并对所选择的高压断路器(10kV、20kV、35kV)的开断能力进行校验。
【例】某数据中心供电系统如图5-3所示,已知变电站电力系统的出口断路器的断流容量 S ∝ =500MV·A,供电电压等级为10kV,从出口断路器至数据中心高压开关进线柜采用0.5km电力电缆引入,市电引入容量为12000kV·A。数据中心高压进线侧采用1250A的VD4真空断路器,该断路器的额定短路开断电流及额定短路关合电流(峰值)分别为25kA和63kA,请计算外市电引入10kV线路上K 1 点短路和变压器低压侧线路上K 2 点短路的三相短路电流和短路容量。
图5-3 数据中心供电系统
解: (1)先计算短路电路中各元件的电抗及总电抗
根据公式:
变电站电力系统的电抗 X s =(10.5 2 /500)Ω=0.22Ω。
根据公式与查表5-6计算,电力线路的电抗如下:
X x = X 0 l =(0.08×0.5)Ω=0.04Ω
总电抗 X ∑ 为
X ∑ = X s + X x =(0.22+0.04)Ω=0.26Ω
根据公式:
短路容量为
根据VD4真空断路器技术数据,对选定的真空断路器进行校验,见表5-14。
表5-14 高压断路器的选择校验表
K 2 点短路的三相短路电流和短路容量见低压断路器部分。
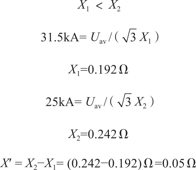
数据中心的外市电通常是由公共电网变电站直接引入,其变电站出口断路器的开断电流一般选用25kA和31.5kA。设出口断路器开断电流为
,数据中心外市电引入端开断电流为
I
k
,根据三相短路电流计算公式
,
X
∑
为变电站电抗和电力电缆电抗之和,因电力电缆电抗大于0,所以
31.5kA和25kA相差6.5kA,我们可以计算折合到电缆电抗的差值,设数据中心外市电引入端开断电流为31.5kA时,变电站电力系统电抗和市电引入线路之和的理论电抗为 X 1 ,25kA时变电站电力系统电抗和市电引入线路之和的理论电抗为 X 2 , X 1 和 X 2 之差为 X ′,则
即使上述计算为简化计算,我们也能得出以下结论:
1)当变电站出口断路器的开断电流选用25kA时,数据中心一级高压配电系统选用开断电流为25kA的进线断路器。
2)当变电站出口断路器至数据中心一级高压配电系统市电接线端的线路电抗不小于0.05(用表5-8相关数据计算线路电抗),且变电站出口断路器的开断电流选用31.5kA时,数据中心一级高压配电系统可选用开断电流为25kA的进线断路器。
3)简便选择方法为数据中心一级高压配电系统进线断路器的开断电流不低于其上一级变电站的出口断路器的开断电流。
另外,由图5-2可以看出,设10kV侧系统短路容量无穷大时,其变压器低压侧短路电流最大,在设置继电保护时,需要变压器最大短路电流。
对于数据中心的低压配电系统,进出线保护器件均采用断路器保护。
为了保证低压元器件的可靠运行,低压断路器开断电流(分断能力)能力选择见表5-15。
表5-15 变压器额定容量、低压进线断路器形式及参数表
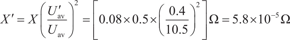
接第80页的例题,K 2 点短路的三相短路电流和短路容量计算如下。
因K 2 点的电压等级为400V(0.4kV),此段线路含有变压器,则需将10kV段线路的阻抗换算到K 2 短路点的短路计算电压中去。设忽略阻抗,根据换算公式(5-20),电缆线路电抗为
电力系统电抗
为
变压器电抗按表5-4查得为4.8mΩ(0.0048Ω)。
K
2
点的短路等效电路的总电抗为变电站电力系统的电抗(
)、10kV电缆电抗(
X′
)和变压器电抗之和,即
根据以上的已知条件,计算K 2 点的三相短路电流和短路容量。
根据断路器技术数据,对选定的低压断路器进行校验,见表5-16。
表5-16 低压断路器的选择校验表
数据中心用高压断路器,其热稳定电流 I t 与开断电流相等。对于无限大容量系统来说,断路器短路热稳定性校验公式如下:
式(5-24)中,数据中心用高压(10kV、20kV、35kV)断路器的热稳定时间 I t 一般为4s, I t 的二次方远大于短路电流 I k ( I ∝ )的二次方,热稳定时间 t 大于短路点的短路时间 t max ,所以,式(5-24)始终成立。
断路器短路动稳定性校验条件公式为
式中 i sh ——三相短路冲击电流;
i max ——断路器的额定峰值耐受电流,因 i sh =2.55 I k ,所以,在数据中心高压断路器选择中,式(5-25)始终成立。
在数据中心供配电设计中,若断路器开断电流通过了校验,一般即可省略断路器的短路热稳定性和短路动稳定性校验。
数据中心用柴油发电机组分为高压发电机组和低压发电机组,高压发电机组一般采用并机运行方式,低压发电机组则采用单机运行方式。在计算它们的短路电流时,需要知道发电机组的容量、电压、发电机定子电阻、发电机短路电抗标幺值等机组配套的发电机相关参数,再根据公式计算单台和多台并机发电机组的短路电流。
但实际上,在数据中心工程设计中,一般设计人员都不对数据中心配套的柴油发电机组的短路电流进行计算,这是因为数据中心用柴油发电机组配套的发电机基本为斯坦福、利莱森玛、马拉松、英格等品牌的发电机,它们的三相对称短路电流一般为额定电流的7倍左右。因为高压发电机组的输出断路器的分断能力为25kA,低压发电机组的输出断路器的短路分断能力( I cu )为50~80kA,所以它们的短路电流远小于其输出高压或低压断路器的短路分断能力。
不同容量的高压、低压发电机组的三相对称短路电流可参考表5-17。
表5-17 常用高、低压发电机组短路电流估算值表
高压发电机组多台并机系统的短路电流可根据发电机组的单台短路电流乘以并机台数进行估算。
高压发电机组的三相短路峰值电流 I p 也可用式(5-7)进行估算,即 I p 约等于2.55 I k ,三相短路峰值电流一般为额定电流的17倍左右。
如果在工程设计时,需要对发电机组的短路电流进行准确计算,设计人员可根据发电机组供应商提供的发电机组的配套发电机详细的短路电流技术数据或短路电流曲线进行相关计算。