



爱因斯坦用了 10 年的时间闭关修炼,也恶补了自己的数学功底,终于在 1915 年完整的提出了广义相对论理论,并且给出了解锁整个宇宙时空密码的引力场方程,让我们认识到时空更深层的本质——引力场会造成时空弯曲,引力效应只是物体在弯曲的时空中运动所表现出来的一种假象。引力场方程是一个二阶非线性偏微分方程组,方程左边是时空的几何描述,表示了宇宙时空的弯曲状况,方程右边是时空的物质描述,表示了宇宙物质分布和运动状况。广义相对论的概念并不难,但引力场方程涉及的数学却是非常复杂,数学上想要求得方程的解是一件非常困难的事,甚至只要求解出方程的解就能预言出宇宙中很多未知的存在。所以我们不要尝试去理解广义相对论的数学方程,那是会让自己疯掉也实现不了的事情,相对论时空大门和量子世界大门后有很多这样的数学小门,我们最好不要试图进去一看究竟,当然基本也进不去或者进去就很难出来,我们只要站在这些门口远远地欣赏一下这些数学方程然后像模像样地感慨下“这个方程真的很美”就可以了。对于广义相对论和引力场方程一样,我们所要做的是从哲学和概念的角度去理解,爱因斯坦是通过怎样的思维实验揭示出宇宙时空、物质和运动之间的本质联系的。
爱因斯坦先做了一个大胆而合理的猜想,就是物理规律应该在所有参考系(包括惯性系和非惯性系)中都相同,自然界的状态本来也不需要受限制于我们人类为了描述方便而定义的坐标系,那物理规律也应当与这种参考系的选取完全无关,这也被称为广义相对性原理。所以可以设想,相对性原理对于互相做加速运动的参考系而言也依然成立,只是有可能描述形式不一样了,需要找到新的数学表达形式。爱因斯坦又通过一系列思维实验发现,加速度所产生的效应和万有引力所产生的效应其实是一样的,所以引力问题可以变换成等效的加速度参考系而解决,这个发现也被称为等效原理。
我们来看一下爱因斯坦发现等效原理的过程,这个思维过程也是极其巧妙让人无限感慨的。在 17 世纪牛顿发现万有引力定律和三大运动定律之后,人们开始认识到物体之间有万有引力作用并且引力大小和物体质量(我们把这样的质量也称作引力质量)成正比,同时物体都具有惯性并且惯性力也和质量(我们把这样的质量也称作惯性质量)成正比。当然人们也都知道引力和惯性在物理概念上是不同的,引力是指物体之间的相互吸引的作用,而惯性是物体保持原来运动状态的性质,引力是“两个人”的引力,惯性是“一个人”的惯性,两者好像没什么联系。人们也意识到一个物体的引力质量与惯性质量是相等的,但也觉得这好像是很偶然也很理所当然的事情,觉得没什么值得引起太多讨论的必要,然而爱因斯坦却对引力质量与惯性质量相等这个被人们所忽视的现象引起了重视,他觉得这意味着引力和惯性力之间可能存在着某种密切的联系。
一个物体在引力作用下会产生加速度,而一个物体的惯性力是在有加速度的情况下想象出的一种力,另外物体的引力质量又和惯性质量相等,所以爱因斯坦认为引力就是加速度,加速度就是引力,引力是与加速度完全等效的——这被人们称为“等效原理”。假如太空中有一个密闭的电梯,这个电梯远离其它星球所以没有万有引力的影响,当这个电梯以固定加速度“上升”(太空中没有上下的概念,电梯上升指的是沿着电梯门的方向固定加速度前进)时,如果电梯“上升”的加速度恰好等于地球的重力加速度g,那么对于处在这个密闭电梯中的人来说,他会感觉自己站在电梯上。如果电梯中有个体重秤,他站在秤上称自己的体重会发现自己的体重和在地球上一样,他把手里的物体松开时,这些物体也会像在地球上一样落到电梯的“地面上”,如果砸到脚上也会觉得很疼。对于这个人来讲,此时在这个太空中“上升”的电梯里的感受和在地球上一个静止不动的电梯中的感受是完全一样的,如果不看到电梯外面的情况,他是无法判断出自己手里松开的物体落下来是因为受到地球万有引力还是受到因为电梯加速而产生的惯性力。
引力与加速度等效,引力效应下的物理规律可以等效成一个具有加速度的非惯性系下的物理规律,而物理规律在惯性系下和非惯性系下都相同,所以只要在狭义相对论的基础上找到一个与坐标系选择无关的数学方程,那么让爱因斯坦苦恼的两个问题——非惯性系问题和引力问题就都可以解决了。爱因斯坦发现等效原理是一个重大的突破,广义相对论也是在这个发现的基础上逐渐完善和成熟的,剩下的问题就是找到那个数学方程——引力场方程。当年牛顿说他发现万有引力定律是因为在一棵苹果树下发呆被苹果砸中而产生的灵感,现在爱因斯坦说他发现相对论是因为他脑子里想了两个坐火车和坐电梯的场景而产生的启发,人类智力最高最具洞察力的两个人真的是超级凡尔赛。
然后爱因斯坦开始寻找引力场方程,只是对于爱因斯坦来说这条探索之路异常艰难,因为他其实并不是个出色的数学家,当初大学的时候还经常数学课逃课,不然也不至于毕业后找不到工作,为了谋生还去贴过小广告。让他去摸索出一个与坐标系选择无关的可以解锁时空密码的数学方程,真是有种无从下手的感觉,即使当年他的数学老师闵可夫斯基的四维时空思想给了他很大启发,他还是有点懵。但是爱因斯坦是个思维大师,他的那些思维实验出神入化惊天地泣鬼神,他又通过几个思维实验一步步地把复杂的数学问题变成“描述世界的图景”呈现在他的头脑中。
爱因斯坦还是想到了那个电梯,太空中远离其它星球所以没有万有引力影响的一个电梯,这个电梯还是以恰好等于地球重力加速度g的固定加速度“上升”运动。如果电梯内侧壁有个玩具枪垂直于电梯运动方向向对面发射一个小弹珠,那么“站在”电梯里的人会看到这个小弹珠以抛物线的轨迹落到电梯“地面”上,就像一个人站在地球地面上向前扔一个小球以抛物线落在地面上一样。假如电梯内侧壁上挂的不是一个玩具枪,而是一个发光光源垂直于运动方向向对面发射一束光,那对于“站在”电梯里的人来说,他看到的这束光应该是一条向下弯曲的抛物线曲线的光线,因为电梯由于加速上升导致这束光打到对面电梯壁上的位置会向下偏移一点。当然这是个思维实验,现实中光速实在太快,电梯有限的空间和加速度是很难让人察觉到这一弯曲程度很低的抛物线轨迹的,而且也很难在实验室验证这种效果。但是对于爱因斯坦来说,这已经有足够的启发了,根据等效原理,引力与加速度等效,光线在加速度的非惯性系中会向下弯曲,那么光线在通过引力场的时候也应该会向下弯曲。而且爱因斯坦进一步意识到,这种光线在引力场下弯曲的现象有两种可能的原因,一种原因是光线在引力的作用下弯曲了,另一种是光线没有弯曲,而是引力场周围的时空弯曲了,光线在“弯曲”的时空中依然按照光速不变以最短路径在传播,只是时空本身弯曲了,所以光线在弯曲的时空中走的路径也随之而弯曲了。
为了进一步论证引力场会造成时空弯曲,爱因斯坦又在他那大脑实验室中进行思想实验,这次他找到的实验工具比火车和电梯更简单——是一个转动的圆盘盒子。假设在太空中有一个半径为 r 的巨大的圆盘盒子,围绕圆心 O 做匀速转动,这个匀速转动的圆盘可以看作是向心加速度恒定的非惯性参考系。再假设这个圆盘上有两个人,汤姆站在盒子圆心 O 处,杰瑞站在距离圆心 r 的盒子边缘处,汤姆和杰瑞各拿着一个校准好时间的精准原子钟和一把精准纳米尺。随着圆盘盒子的转动,圆盘圆心处的汤姆感觉不到什么变化,而圆盘边缘的杰瑞会感觉可以在盒子壁上站起来了,如果调整好适当的圆盘转速,边缘处到杰瑞会感觉像在地球上一样有一种重力的感觉。
对于汤姆和杰瑞来说,圆心处的汤姆没有运动,而圆盘边缘的杰瑞以线速度运动,根据狭义相对论的钟慢效应,汤姆会看到边缘处的杰瑞手里的原子钟时间变慢了。而对于圆盘边缘的杰瑞来说,他随着圆盘的转动受到了一个向心力,但是根据等效原理,他无法区分所受到的是向心力还是引力,反正跟站在地球上的感觉一样有重力感。电影《星际穿越》中的飞行器在太空中一直旋转,其实就是类似这个旋转的圆盘盒子,利用旋转产生向心力来模拟地球的引力环境。因此对于汤姆来说,圆盘边缘的杰瑞和他的区别可以等效看作是对方在受到一个引力场的作用,时间变慢的效应可以看作是引力场造成的,而且圆盘的半径越大,边缘处的时间变慢效应就越明显。于是汤姆得出结论,引力场可以使时间变慢,并且引力场强度越大,时间就变得越慢。同样,这两个人拿着自己手里的纳米尺来对转动圆盘的半径和周长进行测量,根据狭义相对论的尺缩效应,汤姆会发现圆盘边缘处杰瑞沿运动方向测量会产生尺缩现象,测量的圆盘周长会大于 2πr,因此计算出相应的圆周率也大于π。19 世纪非欧几何已经对于圆周率大于π和小于π的情况进行了解释,在一个马鞍面上画一个标准的圆计算出的圆周率就会大于π,而在一个篮球上画一个标准的圆计算出的圆周率则会小于π,非欧几何里空间和平面不再是平直的,而是弯曲的。因此圆心处的汤姆也会得出结论,引力场可以使空间弯曲,并且引力场强度越大,空间弯曲得就越严重。
爱因斯坦通过这几个思想实验又进一步加深他对宇宙和时空的认知——引力场会导致时间延缓和空间弯曲,而时空又是统一的,因此引力场会导致时空弯曲,另外根据等效原理,加速度可以和引力产生同样的效果。而且这个发现让爱因斯坦在寻找那个与坐标系无关的引力场方程中找到思路和启发——原来时空是弯曲的,那就不能在平直的四维时空坐标系中去寻找,应该在一个弯曲的四维时空中来构建这个方程。
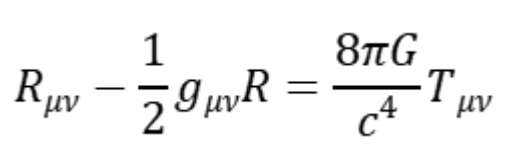
按照这个指导思想,爱因斯坦开始了他寻找引力场方程的摸索。这真的是在黑暗中摸索,因为爱因斯坦也清楚自己并不是个出色的数学家,对他来说构建数学方程可比思考几个思想实验困难太多了,根本无从下手。爱因斯坦只能跑去找他的老同学去寻找帮助,好在他的老同学也非常给力,帮他找到了黎曼几何这个有效的数学工具,黎曼几何不仅可以研究闵可夫斯基的四维时空性质,而且黎曼几何的空间性质不依赖于坐标系的选择。在指导思想和数学工具都已经清楚的情况下,爱因斯坦开始全心投入到引力场方程的构建和探索中,他花了 2 年多时间,用尽了他的洪荒之力,终于在 1915 年,成功构建出了引力场方程:
引力场方程是一个二阶非线性偏微分方程组,实际上是包含了 16 个方程的方程组,方程左边是对时空曲率的描述,右边是对物质存在状态的描述。引力场方程是个非常复杂的方程,数学上求解方程是很困难的一件事,爱因斯坦在构建出方程后一时也给不出方程解,后来运用很多近似的方法从引力场方程中得出很多关于宇宙方面最初的预言。引力场方程表明,引力场的存在会造成时空弯曲,而引力只是物体在弯曲时空中运动时所表现出的一种假象力。爱因斯坦又通过引力场方程进一步推导出运动方程,对物体在弯曲的时空中如何运动进行了描述。至此,整个广义相对论的理论体系得以完整的建立。
这个时候的爱因斯坦早已离开了专利局,成为了正式的大学教授,并顺利当选了普鲁士科学院院士。当年他提出的狭义相对论很长时间内没有得到精确的实验验证,所以“钟慢效应”和“尺缩效应”的时空观很长时间也没有得到人们的认可。这次广义相对论“弯曲”的时空观更具颠覆性,更加让人难以想象,不过爱因斯坦这次不仅提出思想实验和理论方程,也提出了三个验证实验:水星近日点的进动,光线在引力场的弯曲和光谱线的引力红移。这些验证实验同样非常精彩,其中光线在引力场的弯曲实验比较容易理解,我们来看一下这个实验的验证过程。
根据广义相对论推导和预言,光线在经过引力场附近的时候会发生弯曲,尽管这种弯曲程度非常微小,但是当光线经过太阳这种引力场非常大的天体附近时所产生的弯曲效果就会比较明显,并且根据广义相对论可以计算出光线经过太阳的弯曲偏转角为 1.7 角秒。那怎样找到这样的光线呢,我们可以借助天空中的星光,有些恒星在天空中的位置相对地球是不动的,所以每年地球都会转动到同一相对位置处看到某颗恒星,而这颗恒星与其它恒星的距离是不变的,所以地球每次转动到这个位置时所看到的星空是一样的。由于地球是绕着太阳转动,所以每年地球会有两次与恒星保持同一相对位置的地方来看这颗恒星,这两次位置与太阳和恒星是在一条直线上,太阳位于两次位置的中间处(如下图所示)。由于恒星与太阳系的距离非常遥远,远远超过了地球围绕太阳公转的直径距离,所以可以认为在这两个位置所看到的恒星角度及星空是完全相同的。
但是,虽然两个位置观看恒星的角度都一样,但二者的区别是中间隔着一个太阳,所以一个位置是需要经过太阳再看到恒星(图中B位置处)。根据广义相对论计算,太阳所产生的引力效果会足以让恒星发射经过的光线产生 1.7 角秒的弯曲,所以当地球处于位置B的时候观察恒星,会和地球在位置A处观察恒星所看到这颗恒星的位置产生偏移(如下图所示)。但是由于白天的时候天空太亮无法观察到星空,而夜间又看不到太阳的引力影响,爱因斯坦提出可以在发生日全食的时候进行观测,日全食时月球把太阳光挡住,这样就得到一个时间窗口可以观测到太阳后面的星星。发生日全食的时候对着太阳背后的天空区域进行观测拍照,然后半年之后地球转到太阳另外一侧的时候对着同样那片天空区域再进行观测拍照,通过对比这两次观测拍照的结果就可以得出星光偏移角度。
爱因斯坦在 1915 年广义相对论问世的时候就提出了这个星光偏移的实验思路,但他本人毕竟不是实验物理学家,更不是天文学家,星光偏移实验思路简单,但毕竟也是个高精确度要求的实验,不是拿个望远镜看一看就可以实现的,所以爱因斯坦本人并没有去做这个实验。这个实验后来被一位英国天文学家完成了,他在 1919 年发生的一次日全食时按照星光偏移实验思路捕捉到8 颗恒星的照片,然后与半年前所拍摄的同样方位的星空照片进行了长达近半年的数据分析和计算,结果在误差范围内与爱因斯坦理论计算结果完全吻合,确认了光线在太阳引力作用下发生了偏折,广义相对论得到了验证。
爱因斯坦提出的验证广义相对论的另外两个证据是水星近日点的进动和光谱线的引力红移。水星近日点的进动是指水星围绕太阳的椭圆形公转有个近日点,而这个近日点的位置会由于其它行星的引力作用而每次都会略有偏移,但根据万有引力定律计算出的结果与实际观测结果并不一致,而且其它行星的公转也发现了这种类似的进动不一致的问题。爱因斯坦通过广义相对论把行星的绕日运动看成是它在太阳引力场中的运动,由于太阳的质量造成周围空间发生弯曲而导致近日点进动产生剩余,而且根据广义相对论计算出的结果正好符合实际观测的进动角度,于是广义相对论得以验证。光谱线的引力红移是指根据广义相对论,在强引力场中时钟要走得慢些,所以爱因斯坦认为从巨大质量的恒星发射到地球上的光线,会由于恒星引力场钟慢效应而导致光波振动周期变慢(也就是光波频率变小),所以波长会向光谱更长的红端移动发生引力红移。引力红移的观点在 1925 年美国威尔逊山天文台观测到的天狼星伴星天狼A发出的谱线中得到了验证,于是广义相对论再次得以验证。
三个实验是根据广义相对论推导和预言提出的,并且都从不同角度实际验证了广义相对论的正确性。爱因斯坦一举登上了世界科学之巅峰,19 世纪末 20 世纪初是人类科学发展的伟大时代,但是爱因斯坦的成就远远超越了同时代所有的人,成为了与牛顿比肩的科学巨匠。在这之后广义相对论理论的正确性开始得到了广泛地承认,广义相对论确定了属于自己的科学地位,人们也开始对时空的形状有了更深的思考。
广义相对论已得到验证,引力场会造成空间弯曲,而时空又是统一的,所以引力场造成的是时空整体的弯曲,引力场越大的地方,时空弯曲的程度也越厉害。引力场会造成时空弯曲,所以时间的流逝速度也会不一样。由于地球上海拔低的地面处引力比海拔高的高山处引力大,所以地面处要比高山处的时空弯曲程度大,地面上时间会比高山上时间流逝慢一些。如果有一对双胞胎,从小就被分开,哥哥在海边生活,而弟弟在高原上生活,由于地面处时间流逝速度慢,所以当他们几十年后再见面时地面上的哥哥会更年轻一些。当然现实中地球的引力产生的时间延缓效应非常小,不足以察觉出两个人的年龄变化,但是通过精密的原子钟还是可以发现这个微弱的效应,通过原子钟测得海拔 1600 米的高原和海拔 20 米的平原每年的时间差距是 5.6 微秒。我们在电影《星际穿越》里看到的主人公在米勒行星停留了三小时,当他返回太空中发现同事已经老去二十多年,这个情节和现象就是由于米勒行星表面受到强大引力场的影响而产生时间变慢造成的。
其实,引力的时间延缓效应在我们当今日常生活中有着普遍的应用,就是我们每天所用到的卫星定位导航系统,由于导航卫星位于离地面高度约 20000 千米处绕地球公转,由于广义相对论的引力时间延缓效应,卫星在这个高度会和地面的时间有着微小的偏差,而这个微小的时间差却会带来比较大的定位误差,导致无法实现精准定位和导航。所以,我们使用的卫星定位导航系统都要同时考虑狭义相对论的速度时间延缓效应和广义相对论的引力时间延缓效应,在此基础上进行卫星时钟的校正计算,保证与地面时钟精准同步,从而实现精准定位。
另外,我们在狭义相对论中遇到的双生子佯谬问题,在广义相对论理论下也可以得到合理的解释。哥哥乘坐宇宙飞船飞离地球,弟弟留在地球上,只要飞船保持这种匀速飞行,哥哥和弟弟都会觉得对方时间变慢,也觉得自己老得比对方更快一些。但只要哥哥驾驶飞船掉头返回地球,那飞船就会经历减速、加速再减速的过程,这个过程必不可少的会产生加速度,而加速度等效于引力场,产生的时空弯曲效果会让哥哥和飞船的时间流逝速度迅速变慢,弟弟在地球上的时间还是以正常速度流逝,所以等哥哥回到地球的那一刻就会发现弟弟已经变得更老了。
引力场会造成时空弯曲,时空是统一的、四维的并且有形状的,但是这个四维弯曲的时空到底是什么样子,人们很难在头脑中想象出来,更无法把它形象化地画出来,爱因斯坦也表示自己只是知道时空是有形状的,但也想象不出弯曲时空的样子。四维时空的弯曲超出人类的想象范围,但是我们可以通过想象二维空间的弯曲来做一下类比。假设有一个二维平直空间(如下图所示),二维空间图中的网格可以方便形象化地看出空间形状和位置,在这个平直的二维空间里,光线是按照最短路径沿直线前进的,而二维物体在不受外力情况下也是按照平面中直线运动的。
二维平直空间示意图
如果这个二维空间中出现一个质量很大的“二维地球”,那这个平直的二维空间就会被压得变成弯曲形状,这种弯曲的情况就像“地球”压在一张很大的网上,把网压得凹陷下去一样(如下图所示)。这时的空间就变成了二维弯曲的空间,当然我们只是在三维空间的视角看它是弯曲的,在二维空间内是看不出这种弯曲的。在这个弯曲空间里,光线依然按照最短路径前进,只是这个最短路径在经过“地球”附近弯曲的二维空间时不再是直线(弯曲的二维空间内,直线是经过凹陷最低处的一条路径),而是像图中那样绕过凹陷的最深处变成“曲线”形状,并且光线经过二维“弯曲”空间的时间也比经过二维平直空间用的时间长。对于二维物体,如果把一个“二维小球”放在“二维地球”压弯的二维空间附近,那这个小球会沿着弯曲的形状滚到凹陷的最深处最终跟“二维地球”碰在一起。如果这个“二维小球”有一定初速度并且足够快,那这个“小球”会沿着弯曲的路径绕过凹陷后从另一头滚出来,所经过的轨迹在二维空间里看起来是一条“曲线”(二维空间里的“直线”是从地球正下方经过的路径),但是如果这个“小球”速度不够快,那就会沿着弯曲形状一圈圈滚落到凹陷最深处跟“二维地球”碰到一起。
这是我们对于二维空间弯曲的想象和形象化表达,而我们所存在的宇宙四维时空的弯曲我们无法想象,只能通过“二维空间弯曲”进行类比和意会。那时空的弯曲是怎样影响空间和时间呢?我们还是在“二维空间”来类比,在没有“地球”的二维平直空间,两个淡蓝色圆点之间的距离长度就是红色线段的真实长度,当“二维地球”的存在使“二维平直空间压”弯成“二维曲面空间”时,这两个圆点之间的真实长度由于空间被“压弯”就变成了下面黄色线段的长度。空间弯曲的真实样子是,空间的真实长度比看上去的长度变长了,离地球越近的地方,空间真实长度变得就越长。
假如现在在二维空间有两条路径,一条是经过靠近“地球”最近的经过“地球正下方”的路径,另一条是离“地球”稍远一点的绕过“地球正下方”的路径。在弯曲的二维空间里,前面那条路径看上去是“直线”,而后面那个路径看上去是“曲线”。由于看上去“直线”的那条路径靠近“地球”最近,空间被弯曲的也是最厉害,其真实长度反而比看上去“曲线”的路径真实长度更长。而对于光来说,总是会沿着最短路径传播,所以光在二维空间中会沿着看上去是“曲线”而实际长度最短的那条路径,这就是为什么光线在引力场附近“看起来”会弯曲的原因。当然引力场附近是时空整体的弯曲,不仅空间真实长度变长了,时间也变得更慢了。
广义相对论和引力场方程所能揭示的宇宙现象和预言的宇宙规律远远不止这些,很多观点和预言也是后人在爱因斯坦的基础上做出的。这些预言揭开了宇宙时空的神秘面纱,让人们看到了前所未有的景象,有些几十年后甚至一百年后才被人们发现和证实,有些依然还在被人们苦苦的思考和探索中,这些预言有人们耳熟能详的黑洞、宇宙大爆炸,也有人们相对陌生的暗能量、引力波。
这些关于宇宙结构的预言可不是拿着个星盘对着星空观望就可以做出的,都是在引力场方程下通过强大的数学工具计算而得出的。引力场方程很强大,也非常难求解,到目前为止人们也只能得到引力场方程十几种特殊情况下的解,每一个解的背后都揭示和预言了宇宙中某种可能的规律,也许后世人们依然可以从引力场方程的求解中发现更深处的宇宙规律。
引力场方程的第一个精确解的预言就很震撼,这个预言就是后来人们所津津乐道的“黑洞”。只是关于黑洞的这个精确解并不是爱因斯坦得出的,他之前对水星近日点进动给出的解释只是求出了引力场方程的近似解,并不是一个精确解。爱因斯坦创立引力场方程过程几乎已经用尽了他的洪荒之力,连他自己都说“我要好好休息一阵子,我实在太累了”,他当时也没有更多的脑细胞来求解方程精确解了。这个精确解是引力场方程提出一个月后,被爱因斯坦的一个德国粉丝物理学家史瓦西给出的,这是一个静态球对称条件下的解,也被称为“史瓦西解”。史瓦西解的大概意思是这样,一个重力天体会存在一个半径临界值,如果天体半径小于这个临界值,那么这个天体附近的时空弯曲程度将会无限大,以至于它发射的光线都逃脱不出来,其它物体更不可能逃逸出来,天体本身也无法被看见,这个半径被称为“史瓦西半径”。这种半径小于史瓦西半径的重力天体,就是我们后来所说的“黑洞”,而以这个半径形成的球面也被称为“视界”,视界以内的任何东西我们都是看不到的。黑洞是个神秘的天体,按照史瓦西计算,太阳如果被压缩到半径 3 千米以内的话就会变成一个黑洞,而地球要变成黑洞则需要压缩到半径 9 毫米之内,当然太阳和地球这样级别的天体是无法被压缩形成黑洞的,至少需要 8 倍以上太阳质量的恒星才有可能坍缩成为黑洞。
黑洞附近时空被无限弯曲,这种无限弯曲的时空也很难想象是什么样子,我们还是以二维空间来进行类比和意会。我们在思考弯曲时空形状的时候,把弯曲的二维空间想象成重力天体压出的一个凹陷,天体越重则压出的凹陷就越“深”,空间的真实长度就越长。按照这个思路,当一个天体的半径小于史瓦西半径时,这个天体会把二维空间压出一个深不见底的凹陷,于是就变成了“黑洞”,空间的真实长度会被拉伸变得无限长,而时间也会变得无限慢,即时间停止了。
“黑洞”最开始只是作为一个方程解的数学概念而存在,人们认为这个解并没有实际的物理意义,连史瓦西本人也不觉得黑洞会真实存在,直到 20 世纪 60 年代人们才开始探索这种神秘的天体。然而由于光都无法从黑洞逃逸,所以黑洞根本不可能用观测的方式探测到,只能借助它产生的一些物理效应来推测它的存在。最终人们通过引力效应和X射线寻找到了宇宙深处存在的一些大大小小的黑洞,有的质量高达太阳的几百万倍甚至几十亿倍,而像银河系这样的星系的中心一般都会存在一个超大质量的黑洞。
2019 年 4 月 10 日,“事件视界望远镜”(EHT)合作组织发布了人类历史上第一张黑洞照片——人类首次“看见”的黑洞。这个黑洞位于室女座一个巨椭圆星系M87 星系的中心,距离地球 5500 万光年,质量是太阳的 65 亿倍,它的核心区域存在一个阴影,周围环绕着一个新月状的光环。2022 年 5 月 12 日,“事件视界望远镜”合作组织又发布了一张黑洞照片,这是人类看见的第二个黑洞,也是银河系中心黑洞的第一张照片,这个超大质量黑洞距离太阳系约 2.7 万光年,质量超过太阳质量的 400 万倍。黑洞本身是看不见的,但是当黑洞吞噬周围恒星物质的时候,会形成吸积盘喷射出接近光速的物质,靠近视界线的吸积盘发出的光几乎都被吸到黑洞内,在远离视界线的区域会有吸积盘发出的光可以逃逸出来,所以合成的黑洞照片看起来中间呈现暗区,周围会有亮光。
这就是广义相对论预言的黑洞,黑洞是个神秘而可怕的天体,它可以把周围的一切吞噬掉。人类在可以预知的未来时间内对黑洞的了解都只能停留在很皮毛的程度,一种连光都无法逃逸的天体,人类怎么可能对其有很充分的了解。我们只要知道宇宙中存在着这样一种天体就可以了,它形成于一颗衰老的恒星,由于中心燃料耗尽导致产生的能量不足以承担恒星外壳巨大的重量,所以在外壳的重压之下核心开始坍缩,物质向着中心点压缩直到最后小于史瓦西半径——于是“黑洞”就诞生了。黑洞巨大的引力把时空扭曲成一个洞,以致于黑洞附近的时间慢到几乎停滞的程度。如果一个宇航员不幸被黑洞捕获,在他掉进黑洞的那一瞬间,由于黑洞的引力使得时间无限延缓,外面的人看来这位不幸的宇航员就像被永远定格在黑洞的边缘一样一动不动,永远也看不到他掉进去。但是对于这个宇航员来说,时间仍然在流逝,他依然会感觉自己掉进了黑洞,只是可怜的是他也看不到黑洞里面的样子,因为他早就被黑洞强大的引力差撕扯得粉碎了,不是撕成肉片而是撕成原子了。
黑洞的内部有个更奇异的特点——时空是颠倒的,时间和空间发生了互换,空间变成了时间,时间变成了空间。时空颠倒貌似也是个很疯狂和不可思议的事情,但是我们知道在黑洞的“视界”线以内,空间被拉伸成变得无限长,所以物体从视界线边界向球心“移动”时,并没有在真实空间中发生位置改变,而是物体的时间在流逝,最终随着时间流逝到达球心,我们把那里叫作“奇点”,那里也是时间终止的地方。
时间终止是什么意思呢?没有人知道,也没有人可以想象出来,所有物体在到达“奇点”之前都被无限大的引力打成了基本粒子。我们也不用过于纠结,我们连四维时空都想象不出是什么样子,也想象不出时空弯曲的形状,更不用说时间终止和时空互换了。我们可以把黑洞视界线内的时空互换看作一个哲学范畴,而不是自然科学范畴。这种哲学范畴的时空互换只是代表着时间和空间作为因果律的部分出现了互换,他们互相出现了对方的一些性质,因此我们说空间出现了类时性,时间也具有了类空性。视界线以内时间是可以遨游的,而空间则在引力的作用下指向奇点,当然可以遨游不代表就能遨游,因为任何物体在进入黑洞之前都将无法维持自身的形态,并且会不可逆转地奔向奇点,更不可能保存着意识去“遨游”了。
黑洞的研究还有很多,我们就不做过多的探讨和讨论了。黑洞是引力场方程第一个精确解的预言,这个解却不是爱因斯坦给出的,不过爱因斯坦并没有真的偷懒,他在干一件前无古人的事情——他在求解整个宇宙的引力场方程。爱因斯坦把整个宇宙当作一个整体来研究,他假设了一些初始条件和边界条件,然后去尝试求解整个宇宙引力场方程,这一尝试不得了,他得到了一个让自己都不敢相信的结果:宇宙并不是静态的,要么就是在不断膨胀,要么就是在不断收缩,但是不可能是稳定的状态。爱因斯坦无法相信这样的结论,他怀疑过时间,怀疑过空间,也怀疑过万有引力,但他无论如何也没有怀疑过这深邃、永恒、稳定的宇宙,他只能仰望着星空怀疑自己的方程是否有问题。于是在经过一段时间反思后,他默默地拿起笔在这个方程中加了一个“宇宙学常数”,然后在这个常数的引入下终于求解出一个让他安心踏实极具安全感的静态、均匀、有限无界的宇宙模型。
接下来又有几个宇宙学家和天文学家也从爱因斯坦的引力场方程出发去求解宇宙模型,然而他们得出的结果也都是动态宇宙模型——宇宙是膨胀的。爱因斯坦甚至也认可这种模型在数学推导上是正确的,但内心就是无法接受宇宙是膨胀的这种观点。在当时那个年代,人们对宇宙的认知还是停留在银河系规模的阶段,认为银河系就是整个宇宙,还没有进入大尺度宇宙阶段,那时候也没有强大的天文望远镜,人们认知的这个银河系宇宙的尺度大约是 10 万光年量级,所以爱因斯坦对宇宙的认知是宇宙是有限无界的。然而那个年代也是天文学快速发展的年代,人们对宇宙的认识很快从银河系扩展到了广袤的河外星系,于是一个轰动天文学界乃至世界的规律被发现:河外星系都在远离地球而去,并且距离地球越远的星系其谱线红移越大,星系的视向退行速度和与地球的距离呈简单的正比例关系。这个规律被称为哈勃定律,是 1929 年美国天文学家哈勃发现的,哈勃定律被誉为 20 世纪最伟大的天文发现,哈勃本人也因为这个发现被称为“星系天文学之父”,后来著名的哈勃天文望远镜就是以他的名字命名的。
哈勃定律是基于观测到的星系的光谱线红移现象得到的。光谱红移现象的原理其实就是我们所熟悉的多普勒效应,一列鸣笛的火车驶向我们,我们会听到火车鸣笛声调变高,火车远离我们时,鸣笛声音调会变低,这是因为声波的频率随着火车移动而产生了变化。宇宙星系间的光线也一样,我们看到天体发出的光谱线“变红”,说明天体在远离我们而去。
哈勃定律表明宇宙是正在膨胀的,这可不再是理论物理学家通过计算得出的模型,而是天文学家长期的大量观测与计算得出的结论,爱因斯坦后来也表示接受了宇宙膨胀的观点。人们开始提出和修正膨胀宇宙的模型,后来进一步发现宇宙不仅在膨胀,而且是在加速膨胀,所有的星系都在互相退行相互远离,很像一个正在膨胀的气球,每个星系都像气球上的一个点,随着气球膨胀变大,每个点之间的距离都在变大。
随着天文观测技术的发展,人们对宇宙的了解也不断加深。几百年前人们认为地球是宇宙的中心,后来认为太阳是宇宙的中心,再后来又发现太阳系也是围绕银河系中心在运动,而现在我们发现宇宙并没有中心,银河系也只是宇宙星系中的一个而已。面对如此广袤深邃的宇宙,人们也对宇宙提出了哲学三大终极问题:宇宙是什么样,从何而来,又去向何方?现在我们知道,我们地球所在的银河系直径大约 18 万光年,拥有大约 2000 亿到4000 亿颗恒星,而我们目前可观测的宇宙直径高达 900 亿光年,拥有 2 万亿个类似银河系一样的星系。这是多么无比庞大的一个数字啊,地球在宇宙中渺小得就像沙漠里的一粒沙子。这么庞大的宇宙从何而来,又起源于哪里?20 世纪 30 年代,科学家提出宇宙大爆炸理论,宇宙大爆炸是从宇宙膨胀的结论逆向思考,宇宙会随着时间的倒推不断收缩,最终起源于 130 亿年前的一个体积无穷小而质量无穷大并且温度无限高的点——奇点。这种大爆炸理论很像我们神话里看到的盘古开天辟地的故事,宇宙突然在某一天从一个混沌的状态被劈开变得天地分明,当然大爆炸理论不是神话也不是科幻,1965 年探测到的宇宙背景辐射也为大爆炸理论提供了一定的证据。宇宙最终将变成什么样子?50 亿年后太阳系将毁灭,35 亿年后银河系和仙女系会发生碰撞融合,1000 亿年后也许整个宇宙面临连基本粒子都被撕裂的时空大撕裂,宇宙将不复存在,一切归于虚无等待下一个起始……
关于宇宙现状、起源和未来,我们就不做过多的科学层面的探讨了,我们连人类自身的起源还没彻底搞明白呢,可能到人类灭亡那天也不会搞清楚宇宙的真实面貌和起源问题。关于宇宙的这三个问题,我们就当是哲学终极问题探讨下去吧,毕竟从哲学角度来讲,宇宙的存在并不是为了让人类诞生的,更不是为了让人们来研究它的。宇宙的浩瀚和深邃让人震撼,但更让人震撼的是一个广义相对论的数学方程竟能揭示出如此多的宇宙规律,让人不禁感慨究竟是数学如此强大,还是这个宇宙本身就是数学。