



在现实经济中,任何的生产活动都离不开劳动投入。这是因为劳动投入的主体是劳动者,而劳动者是活的具有主观能动性的生产要素。劳动者的主观能动性,决定了劳动者是特殊的生产要素,因为任何先进的资本设备,最终都需要由人来开动。因此,劳动者的主观能动性,是任何经济活动中其他生产要素都不可替代的。由此可以说,劳动投入是开展任何经济活动的必要条件。
一般而言,如果在生产活动中使用了劳动者,也就是使用了人力,便可以说生产中有劳动投入。劳动投入是任何生产活动中最基本和基础性的必要条件。然而,现在的一个关键问题是如何度量劳动投入。
显然,劳动投入的多少与投入使用的劳动者的数量有关。如在一定的生产过程中,投入使用的劳动者数量越多,劳动投入的总量越大。一般而言,劳动投入总量越大,生产活动规模也相应越大。当然,在具体的生产活动中,并非劳动投入越多越好。对于具体的生产活动,劳动要素、资本要素以及与其他有关要素的配置,需要遵循、符合生产活动的客观规律,需要遵循、符合一定生产活动的技术关系,而不是随意进行的。
现在核心的问题是,如何度量劳动投入。在经济学中,劳动投入并不是指投入使用的劳动者数量。这是因为不同劳动者进行劳动的时间长短,可能是不一致的。如有的劳动者一年平均每天工作8个小时,而有的劳动者一年平均每天工作只有3个小时,有的则可能更少。因此,劳动者数量的多少,并不能体现实际投入的劳动量的多少。因此,在经济学中,劳动投入是指投入使用的劳动者的有效劳动时间的总和。
可见,劳动投入不是关于劳动力数量的概念,而是关于有效劳动时间总和的概念。在现实中,劳动投入的主体自然是劳动者。但是,每个劳动者所进行的劳动时间的多少是不相同的。因此,单纯地计算劳动者的数量,并不能表明劳动投入的多少,而是需要通过所有劳动者的有效劳动时间的总和来体现的。例如,假设有一个企业拥有员工100名,每名员工每天有效工作时间是8小时,因此该企业每天的劳动投入总量是 m 小时。如果这100名员工中有40名每天有效劳动时间是6小时,有60名每天有效劳动时间是8小时,在这种情况下该企业每天的劳动投入总量是 x 1 、 x 2 ,…, x m 小时。
事实上,对劳动投入的精确度量是非常困难的事情。这是因为不同劳动者的质量也是存在差异的,因此对劳动者的劳动时间进行简单的加总,实际上并不能准确度量劳动投入的水平。例如,对于生产相同的零件,熟练工1个小时可以生产10件,而学徒工1个小时只能生产5件。在这种情况下,熟练工的劳动效率是学徒工的2倍,由此可以说,熟练工劳动1个小时相当于学徒工劳动2个小时。
将所有劳动者的劳动时间直接加总作为劳动投入度量的方法,实际上暗含了这样一种假设:所有劳动者的劳动效果是同质的,或者说所有劳动者的质量都是相同的。这意味着如果劳动者是同质的,则在所有劳动者的劳动时间总和中,任何等长的时间所对应的劳动成效性都是相同的。
然而,现实经济中劳动者彼此间存在差异是必然的事情,因此上面所说的暗含的假设,同现实是有很大差距的。例如,不同劳动者在学历、经验、知识、技能、体力、年龄、性别乃至习惯、毅力及信念等诸多方面,都可能存在不同,而这些不同会导致其劳动效果实际上是很不相同的。如前面所说的熟练工生产出的零件数量是学徒工的2倍,在这种情况下我们便有理由认为1位熟练工劳动1个小时,相当于学徒工劳动2个小时。因此,如果考虑劳动者的质量差异,就可以按1位熟练工劳动1个小时,等同于1位学徒工劳动2个小时计算。这意味着在考虑劳动者的质量差异时,有必要对劳动者的劳动时间按一定的标准进行折算。即把不同质量劳动者的劳动时间折算成同一标准下的劳动时间。这便是有关劳动投入度量的标准化问题。
如果不同劳动者在相同时间内的劳动效果是相同的,如单位时间内生产同一产品的数量与质量都是相同的,则认为这些不同劳动者的劳动时间是等效劳动时间。将劳动投入按等效劳动时间度量,这便是有关劳动投入度量的标准化问题。让全部的劳动者在相同的时间内都做相同内容的事情,以此来区别劳动者的质量,这种方式在现实中是不可能实现的,而且也是不科学的。因此,如何考虑劳动者之间的差异性,是度量劳动者质量的一个难点问题。
那么如何考虑劳动者之间的差异性?如果将劳动者的学历、体力、经历等差异性折算成一定的标准,其难度是很大的,并且是不科学的。为了使度量劳动投入的方法相对合理、相对简单以及有可操作性,一种可行的方法是从市场竞争的角度考虑劳动者质量的度量问题。在现实经济中,劳动者的具体差异可以是千差万别的。然而,从经济收益的角度看,在市场竞争的情况下,劳动者的质量是同其所取得的劳动报酬的水平有着密切关系的。
一般而言,劳动者质量越高,其所取得的劳动报酬相对越高。或者说,劳动者的质量高,应体现为其劳动的成效性也高,从而其所得到的劳动报酬也相应高。有关实际经验能够证明,在总体上劳动者的劳动报酬水平与其个人所受的教育水平、培训经历及从业经验等因素呈正向关系。因此,劳动者的质量,可以通过劳动者从市场上取得的劳动报酬的水平来度量。
当然,基于劳动者报酬水平体现劳动者质量的方法,并不是绝对科学、绝对合理的方法,是有相对性的。这是因为劳动报酬水平,同太多因素有关,如不同的职业、不同的行业、不同的地区乃至不同国家的劳动生产率水平等,甚至不同雇主对其雇员的不同态度。因此,现实经济中出现同劳而不同酬也是常有的情况。基于劳动者报酬水平以体现劳动力质量的方式,在宏观市场经济竞争条件下也只是具有相对的合理性。
为了具有可比性,将单位时间取得的劳动报酬称为劳动报酬率。于是,可将具有相等劳动报酬率的劳动者视为有相同的劳动质量。或者说,劳动者取得的劳动报酬率越高,表明该劳动者质量越高,其对劳动投入的贡献越大。这种以劳动报酬率作为劳动者质量的度量标准,在完全竞争的市场经济中是具有相对合理性的。因此,在经济学中通常采用劳动报酬率作为度量劳动力质量的一种指标,同时作为折算劳动投入的权重或折算系数。
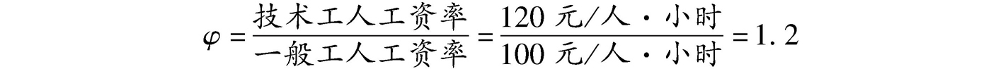
具体地说,可以利用劳动者在一定时间内所取得的劳动报酬数据来折算劳动投入。例如,技术工人因为技术水平高而劳动产出率高,由此其劳动报酬率相对高。现具体假设技术工人工资按120元/人·小时支付,而一般工人工资按100元/人·小时支付。由此可以按两类工人的劳动报酬率的比例关系折算劳动力质量的差异。设此折算系数为 φ ,则:
φ =1.2的含义是技术工人劳动1个小时相当于一般工人劳动1.2个小时。因此,1.2为技术工人与一般工人劳动时间的折算系数,即技术工人每劳动1小时按一般工人的1.2小时计算。
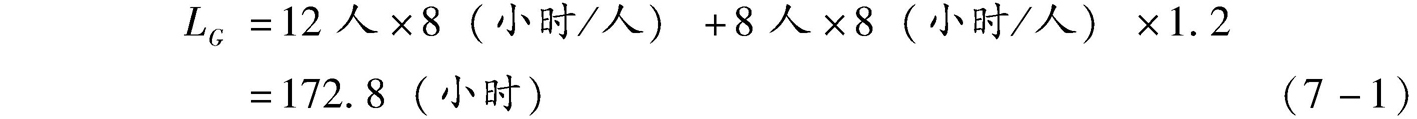
现假定一个企业拥有上述技术工人8人、一般工人12人,1天劳动时间为8小时,以一般工人的劳动时间作为劳动投入的度量标准。将该企业一天的劳动投入记为 L G 。在此情况下, L G 计算如下:
式(7-1)的意义是:如果将技术工人的劳动时间折算成一般工人的劳动时间,则劳动投入总量是172.8小时。
如果不考虑技术工人和一般工人的质量差别,即不考虑技术工人和一般工人劳动时间的折算系数问题,则该企业1天的总劳动投入量
计算如下:
可见,在不考虑劳动者质量差异的情况下,该企业1天的劳动投入总量为160小时,而不是172.8小时。
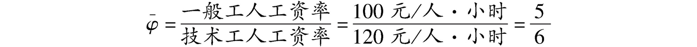
同样,也可以以技术工人的劳动时间作为劳动投入的度量标准。这时,一般工人折算为技术工人的劳动时间的折算系数
计算如下:
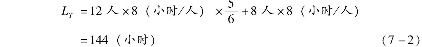
在此情况下,该企业1天的劳动投入总量 L T 计算如下:
式(7-2)的意义是:如果将一般工人的劳动时间折算成技术工人的劳动时间,那么劳动投入总量是144小时。
上述的计算结果表明,在考虑劳动者质量差异时,设定不同劳动者的劳动时间作为劳动投入的度量标准,由此得到的劳动投入总量是不同的。可见,在度量劳动投入时,是否考虑劳动者的质量差异,对劳动投入总量的度量结果是有影响的。
上面通过具体的例子说明了考虑劳动者差异情况下如何进行劳动投入标准化折算的问题。下面论述在一般情况下如何将不同类别劳动者的劳动时间进行标准化折算。
假设在某生产中的全部劳动者可以分为
n
类群体,其中同类群体内的劳动者被认为是同质的,即有相同的工资率。其中,第
i
类劳动者的数量为
L
i
,该类人均劳动时间为
l
i
小时,人均工资水平为
w
i
,
i
=1,2,…,
n
。于是,第
i
类劳动者的工资率为
。取其中第
j
类劳动者的劳动时间作为度量劳动投入的标准。于是,第
j
类劳动者的工资率
为度量劳动投入的标准工资率。因此,第
i
类劳动者的工资率
同第
j
类劳动者的工资率
的比值为
。
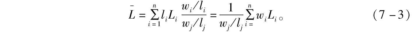
为第
i
类劳动者的劳动投入,折算为第
j
类劳动者的劳动投入的折算系数。由于第
i
类劳动者的劳动时间总量为
l
i
L
i
,
为折算系数,因此,以第
j
类劳动者的劳动时间作为标准折算后的全部总劳动投入,记为
,则
的计算如下:
如果不考虑劳动者的差异,即认为劳动者都是同质的,则全部劳动者的劳动时间总量记为 L ,则 L 的计算如下:
可见,未进行标准化折算的劳动投入总量式(7-4)和标准化折算后的劳动投入总量式(7-3)是不相同的。
如果需要考虑劳动投入中的劳动者质量的差异性对度量劳动投入的影响,则需要劳动者按一定属性特征进行交叉分类的数据,一类是交叉分类的劳动者数量的数据,另一类是同样交叉分类的劳动者劳动报酬的数据。
总之,劳动投入是以投入的劳动者的劳动总时间为计量的,而劳动者的质量差异体现为对不同劳动者的有效劳动时间赋予不同的权重。如以劳动者的劳动报酬作为劳动质量水平体现指标时,劳动投入就是以不同劳动者的劳动报酬在总报酬中的权重作为劳动者有效劳动时间的调节系数。当然,也可以用除了劳动报酬之外的其他指标作为折算劳动投入时间的折算系数,对此需要进行科学性、合理性、可行性等方面的综合考虑,而不能一概而定。如何科学而可行地度量劳动投入还是没有得到很好解决的问题。