



滑行是指汽车在路面上直线行驶时松开加速踏板、利用自身惯性继续向前行驶的方式,包括空档滑行、带档滑行等。通常我们所说的滑行阻力指的是空档滑行阻力。
滑行阻力一般认为是汽车在平直路面上匀速行驶的行驶阻力,可以分解为底盘阻力和空气阻力。底盘阻力为传动系、行驶系、转向系和制动系传递至轮边的阻力之和,又可以分解为轮胎滚动阻力、变速器空档和后桥等传动系内摩擦阻力、轮毂轴承摩擦阻力、制动器拖滞力和车轮定位前束阻力等。
本节将介绍滑行阻力试验方法分类、道路滑行试验、试验的应用及拓展等。
道路滑行试验是测定行驶阻力最常用的方法。关于道路滑行的试验标准有很多,按照国内和国外划分,国内有GB 18352.6—2016《轻型汽车污染物排放限值及测量方法(中国第六阶段)》、GB/T 27840—2021附录C“行驶阻力测定及在底盘测功机上的模拟”、GB/T 12536—2017《汽车滑行试验方法》等。国外有SAE J 2263、ECE R83、TRIAS 11-1-4-42等。尽管各标准中的试验细则有着大量的不同之处,但是用到的试验原理几乎类同。
道路上,除了采用滑行测试方法外,还可以采用匀速测试方法,如牵引法、转矩仪法、等效法等。牵引法是使用前车牵引试验车辆在道路上匀速行驶,在牵引机构上安装测力装置,不同车速点的牵引力即为行驶阻力,如图3-17所示。转矩仪法是将转矩仪安装在每个驱动轮的轴与轮毂之间,试验车维持匀速行驶,转矩仪的转矩即是驱动转矩的大小,由此可以得到不同车速下的行驶阻力,如图3-18所示。等效法是在道路匀速行驶时,同步测试加速踏板开度或油耗、电耗等,在转鼓试验台上调整载荷直至达到与道路一致的加速踏板开度或油耗、电耗,转鼓试验台总阻力即为行驶阻力。
图3-17 牵引法开展测试
图3-18 转矩仪法开展测试
除了在道路上开展整车的阻力测试外,还可以通过系统部件试验来进行行驶阻力的分解测试。例如,风洞实验室测试空气阻力,如图3-19所示;轮胎滚阻试验台测试滚动阻力,如图3-20所示。
图3-19 风洞实验室测试空气阻力
图3-20 轮胎滚阻试验台测试滚动阻力
依据道路滑行试验采集的物理量不同,分为时间法和距离法。现行各类标准中以时间法为主,各测试设备的时间精度均优于距离精度,因此本节以GB/T 27840—2021中的时间法为主要参考,介绍试验准备、试验步骤、试验数据处理。试验数据处理是重难点,分为往返方向平均值、时间重复性、滑行阻力计算、滑行阻力拟合和环境校正五个步骤计算方法。
1)试验道路:道路滑行试验应在清洁、干燥、平直的沥青混凝土或混凝土路面上进行。试验路面长度应满足试验要求,纵向坡度误差在±0.1%以内。
2)环境条件:试验应在无雨、无雾的天气下进行。环境温度应在5~35℃范围内;环境的相对湿度应小于80%;大气压力应在91~104kPa范围内。测量环境风速时,轻型车高出路面0.7m处,重型车高出路面1.6m处,平均风速≤2m/s,最大风速≤3m/s,侧向最大风速≤2m/s。
3)装载质量:无特殊规定时,轻型车处于空载(整备质量+必要的试验人员和设备),重型车处于最大设计总质量状态。
4)试验车辆:试验车辆至少经过3000km磨合,并进行必要的保养和调整。对于有能量回收装置的车辆,应有手段使其不工作。试验前需充分预热车辆,预热行驶时间的长短因车型和气候条件而定,保证动力传动系统、制动器、轮胎等部件处于正常温度状态,行驶时间一般不少于20min。试验时应关闭车窗和驾驶室通风口。
5)试验设备精度:时间测量精度不应低于0.1s;车速测量仪器精度不应低于0.5%。
1)汽车驶入滑行区段前,选择合适的档位进行加速至稍高于滑行初始车速,然后驾驶员将变速杆放入空档,汽车开始滑行。滑行初始车速:轻型车一般为130km/h,重型车为90km/h。受车辆加速性能及试验场地长度限制,不能达到要求的起始车速时,以车辆在试验场地所能达到的最高车速向下圆整5km/h倍数车速为滑行初始车速。
2)滑行过程中,使车辆保持直线前进,当滑行超出试验跑道时,先从130km/h滑行至80km/h,然后从80km/h滑行至5km/h。
3)测量车辆从 v 2 = v +Δ v 减速至 v 1 = v -Δ v 所需的时间为 T a ,一般Δ v ≤5km/h。
4)相反的方向重复操作得到 T b 。计算两个方向的平均值作为一次滑行时间 T 。
5)往返重复试验不少于4次,计算试验数据的统计精度,如果统计精度不能满足要求,则需增加次数。
试验过程中存在行驶方向上的风速,试验车往返分别受到顺风和逆风的影响。风速较小时,对于滑行时间的影响较小,通过算术平均值可以较方便地计算出平均值。但试验风速较大时,两个方向试验时间差值较大,调和平均数的计算结果更加合理。两种计算方法见式(3-6)。
算术平均值:
调和平均值:
对滑行时间的重复性进行检验,使用95%置信区间的统计精度
p
计算方法,即真实的滑行时间有95%的概率落在
和
之间。每一车速段的时间统计精度都应≤4%,计算方法见式(3-7)。
式中
p
——平均耗用时间
的统计精度;
——以车速
v
2
滑行至
v
1
所需的时间
T
的算术平均值,
;
s
——标准偏差,
;
n ——试验次数;
t ——精度系数,与试验次数关系见表3-1。
表3-1 试验次数与精度系数对应关系
按照式(3-8)可以得出车速 v 对应的滑行阻力 F 。
式中 F ——滑行阻力(N);
M ——试验时汽车的总质量(kg);
M r ——旋转部件的当量质量(kg)。
同理,可以得到其他车速下的滑行阻力,形成滑行阻力-车速数组。
以滑行阻力-车速数组为基础,用最小二乘法进行拟合。拟合方程有两种,常用式(3-9)对滚阻和风阻进行简单拆解;为了提高拟合精度,常使用式(3-10)用于转鼓试验台设定。
式(3-9)试验计算过程见式(3-11)。
式中 a ——阻力随车速变化常数项(N);
b ——阻力随车速变化二次项[N/(km/h) 2 ]。
式(3-10)计算过程
以表3-2某电动SUV实测不同车速对应滑行阻力为例,将滑行阻力-车速数组分别按照式(3-9)、式(3-10)两种方式拟合,并绘制成曲线,如图3-21所示。
表3-2 某电动SUV不同车速对应滑行阻力测试值
图3-21 车速-滑行阻力拟合曲线
环境温度和大气压力影响滑行阻力。环境温度越高或大气压力越低,空气的密度越小,空气阻力也越小;环境温度越高,轮胎温度越高,轮胎滚动阻力越小;环境温度越高,传动系和轴承等润滑油脂的温度越高,相应的内摩擦阻力越小。因此需要将滑行阻力校正到标准的环境状态下。
各标准体系中,对标准的环境状态定义不同,本节使用的标准环境温度和大气压力是20℃(293K)、100kPa。阻力函数的校正方法见式(3-12)。
式中 F 0 ——换算后的行驶阻力(N);
t ——试验道路上的平均气温(℃);
P ——试验道路上的平均大气压(kPa);
K R ——滚动阻力温度校正系数,轻型车取0.00864,中重型车取0.006(各标准体系中略有不同)。
道路滑行试验结果应用广泛,可以用来检查汽车底盘的技术状况和调整状况,也是利用转鼓开展各类试验前进行试验台阻力设定的必要前提,还可以将滑行阻力进行分解计算出空气阻力系数。
汽车在转鼓上,从动轮保持静止,驱动轮旋转模拟道路行驶。驱动轮以及相连的轴承和变速器等产生的底盘阻力为
F
loss
,可以近似等于道路上驱动轮的底盘阻力。为了能再现道路上受到的行驶阻力
F
road
(近似等同于上文中的道路滑行阻力
F
0
,用
F
road
=
f
0
+
f
1
v
+
f
2
v
2
表示),还需要转鼓电机模拟出行驶中的空气阻力、从动轮底盘阻力等其他阻力
F
dyno
(用
)。转鼓加载阻力模式如图3-22所示。
式中
——转鼓试验台加载阻力系数常数项(N);
——转鼓试验台加载阻力系数一次项[N/(km/h)];
——转鼓试验台加载阻力系数二次项[N/(km/h)
2
]。
下面介绍底盘阻力测试法和拟合滑行法两种转鼓试验台阻力设定的方法。
1)底盘阻力测试法:将转鼓设置为驱动模式,转鼓驱动轮胎匀速运转,直接获得转鼓驱动力,即为驱动轮底盘阻力,如图3-23所示,再求出转鼓加载阻力。
式中
——转鼓试验台驱动模式下的驱动力(N)。
得出不同车速下转鼓试验台的加载阻力后,使用最小二乘法进行二次项拟合,生成的加载阻力随车速的函数作为最终的阻力设定。
图3-22 转鼓加载阻力模式
图3-23 转鼓驱动模式
2)拟合滑行法:首先按照经验值进行初始控制系数设置(如两驱车
、
)。完成初始控制系数设置后,开展转鼓试验台滑行试验,得出滑行时间,计算出转鼓试验台总阻力
,并计算与
F
road
偏差是否在要求范围内。如果不满足偏差要求,采用最小二乘法计算
和
F
road
,得出调整后的控制系数
,并再次进行转鼓试验台滑行试验和迭代计算,直到满足偏差要求为止。
根据滑行阻力拟合计算方法、环境校正计算方法可以得出最终滑行阻力与车速的拟合曲线 F 0 = a 0 + b 0 v 2 ,使用式(3-15)得到空气阻力系数 C D 。
式中 b 0 ——基准气象条件下阻力随车速变化二次项[N/(km/h) 2 ];
A ——迎风面积(m 2 ),可以通过测试或者CAE仿真获得,如图3-24和图3-25所示;
ρ ——空气密度(kg/m 3 ),标准气象(100kPa,20℃)下空气密度是1.189kg/m 3 。
由滑行法得到的空气阻力系数与风洞法有较高的一致性,虽然精度与风洞不是一个量级,但可以替代精度要求不高的风阻测试任务,缩短试验周期,降低试验成本。
图3-24 激光投影法示意图
图3-25 某汽车迎风面积轮廓示意图
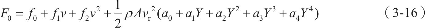
道路滑行试验对气象条件,特别是风速要求苛刻。常常因试验风速条件不满足试验要求,影响试验进度。为了提高试验效率和精度,行业开发出试验同步测试风速风向并对结果进行校正的新方法,如图3-26所示。使用该方法,气象条件的风速要求可以放宽到:平均风速≤7m/s,最大风速≤10m/s,侧向最大风速≤4m/s。
式中 v r ——相对风速(km/h),滑行试验过程的同步采集数据,采集频率不低于10Hz;
Y ——相对于车辆行驶方向的表面风速偏离角(°),同步采集数据;
a 0 、 a 1 、 a 2 、 a 3 、 a 4 ——偏离角函数的常数项、一次项、二次项、三次项、四次项系数,可以通过滑行试验数据分析得到,或者由风洞试验直接得出,如图3-27所示。
图3-26 风速风向测试
图3-27 风洞测试偏离角函数