



心理实验的方法是在观察与调查的基础上,对研究的某些变量进行操纵或控制,创设一定的情境,以探求心理现象的原因、发展规律的研究方法。对变量的控制和对因果关系的揭示是实验法的基本目标。和其他研究方法相比,实验法的显著特点是:①要控制或操纵变量,人为地创设一定的情境;②基本目的在于揭示变量之间的因果关系;③有严格的研究设计,包括被试选择、研究的测量和工具、实验程序、设计分析方法等,以保证实验结果的科学性。
前实验设计是最为原始的一种实验设计,它对任何无关变量都没有控制。基本类型有:
是对一组被试实施实验处理,然后再对其进行观测,以评价实验处理的效果。该设计由于未控制无关变量的干扰和影响,因而难以得出实验处理引起了实验结果的结论。
 
   在实验处理之前增加了一次前测,通过前测可以获得所抽取样本的最初水平或心理特征,再与单组后测结果进行比较,以分析实验处理的效应。该研究设计的结论也缺乏可靠性,因为其中可能存在练习效应以及历史、成熟因素的影响。
 
   除了接受实验处理的实验组外,另外设置了一个不接受实验处理的控制组,因而可在一定程度上控制历史、成熟和统计回归等无关因素。但是,在该设计中,实验组与控制组被试的选取和分配不是随机的,而且没有前测,因此也不能肯定地将实验组和控制组后测的差异归因于实验处理。
 
    
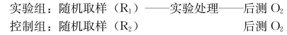
   真实验设计就是通常所说的实验设计,其特征在于对影响内部效度的无关变量采取了严格的控制并有效地操纵研究变量。
后测设计:
 
   前测后测设计:
 
   配对组设计:
 
   准实验设计是介于前实验设计和真实验设计之间的实验设计,它对无关变量的控制比前实验设计要严格一些,但不如真实验设计控制得充分和广泛。
时间序列设计是准实验设计的典型例子。时间序列设计是指对一组非随机取样的被试实施实验处理,并在实验处理前后周期性地做一系列测量,然后分析前后测量是否具有连续性,从而推断实验处理的效果。
 
   多因素实验设计是指在同一实验研究中控制、操作两个或两个以上的自变量的实验设计。在真实的生活中,影响心理现象的变量往往繁多并相互影响,因此在实验中设置多个自变量,将会使研究结果更可能接近真实情况。多因素实验设计除了能探讨自变量与因变量之间的关系外,还能揭示自变量之间的交互作用。
 
   按照实验中自变量的个数,可分为两因素实验设计和三因素实验设计。最简单的两因素实验设计是2×2因素实验设计(前一个2代表自变量的个数,后一个2代表各个自变量的水平数)。