



严格地说,合成孔径雷达成像的研究属于电磁场范畴。众所周知,从不同形式的辐射源可以分析出空间电磁场分布;反过来,其逆问题是从已知的电磁场分布推算出辐射源的状况,也就是对辐射源“成像”,有些文献里称为波前重建。在许多成像领域如地震勘探、医疗影像诊断等常用这一类算法。在合成孔径雷达里它也是应用广泛的成像算法之一。
下面先从简单的情况介绍起,设电波为单频平面波,以振荡频率
f
c
(角频率
ω
c
=2π
f
c
)沿
l
方向传播,其时空表示式为
,振幅
σ
n
为与
t
、
l
无关的常数,相位
φ
(
t
,
l
)=
ω
c
t
−
K
l
,其中
K
称为波数或空间(角)频率。时间角频率以单位时间里的弧度计,而波数[即空间(角)频率]以单位长度里的弧度计。由于
和
,电波传播速度
,或
。
如同时间信号可在频域分析一样,空间分布信号也可在波数域分析,两者具有一定的对偶关系。不过两者也有不同之处,时间量是一维的,用标量表示,而空间量是多维的,要以向量表示。上面讨论的平面波是一维空间信号的特例,实际上它的空间位置和波数都应以向量
L
和
K
表示,其时空表示式应为
,只是由于
K
和
L
同向,
K
⋅
L
=
K
l
。如果分析的路径(直线)
r
与
L
不同向,则沿
r
的波数应减小,但如果仍用波数
K
表示,则应写成
,即
K
⋅
r
=
K
r
cos
θ
,其中
θ
为
L
和
r
的夹角。
下面再讨论点辐射源的例子,这时的电波为球面波,如以球坐标表示,其时空表示式为
,其中
σ
s
为球面波的振幅,球面对称使电波强度只是径向距离的函数,而与空间角度无关,因而也可用一维空间表示,这里的
K
R
称为径向波数向量,它可以是各种不同的方向,但只要
R
是径向距离向量,
K
R
就与
R
同向,因而有
K
R
⋅
R
=
K
R
R
。
球面波的振幅与 R 有关,它与 R 成反比。但在合成孔径雷达里,合成阵列的各个阵元到点目标的距离变化不大,而且在合成处理中起主要作用的是相位。为此,可以忽略振幅随距离的变化,而将其时空表示式写成 σ n e j ( ω c t − K R R ) 。
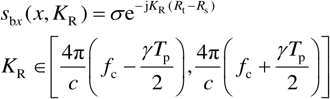
上面讨论的是电波来自辐射源的情况。雷达是自身发射通过目标的后向散射,再接收到回波。仍以点目标为例,因其散射会产生球面波,所以情况与点辐射源相同。只是雷达通常以自身(即雷达天线相位中心)作为相位基准,于是在计算雷达回波到基准点的距离时应按到目标的距离进行双程计算,如果仍将点目标回波的空时表示式写成
,这时的
K
R
应为
,而不是原来的
,因为这里的
R
是目标到雷达的距离,而实际电波行程为2
R
。
雷达通常对回波做相干接收,即将回波乘以基准信号
变换到基频,得基频回波为
(3.42)
式(3.42)中,
,
R
表示雷达到目标的距离。
式(3.42)是与时间无关的复常数,在一定波数 K R (即频率 f c 一定)的条件下,它表示信号相位和幅度与雷达所在位置的关系。波数的数值由 f c 确定,但波数向量 K R 的指向随雷达所在地的径向距离向量的指向改变而变化。
顺便提一下,只是在发射为单频连续波的条件下,雷达的基频回波才是与时间无关的复常数。若发射为受调制的波形
,则其基频回波为
,即回波只在一定时间里存在,而雷达正是据此测量目标径向距离的,而目标的横向位置还得依靠移动雷达测得
K
R
不同指向时的基频回波相位值计算得到,其原理与单频连续波相同。具体计算将在3.3.2节里介绍。
上面提到,与时间频率 f c 不同,波数 K R 是向量,为了能更好地掌握波数域的分析方法,有必要对 K R 为向量这一特点做进一步的说明。
前面提到过,在单频连续波发射条件下,基频回波的相位为雷达相对于点目标径向距离向量 R 的函数, φ ( R )=− K R ⋅ R 。空间是三维的,由于本章讨论的空间限于二维平面,在这里波数向量也以二维表示,在直角坐标系里为
(3.43)
即径向波数向量在直角坐标系里,就像空间向量 R 可以分解为 x 和 y 两个分量一样,也可分解为 K x 和 K y 两个分量,它们的方向分别与 x 和 y 相对应。
前面多次提到,点目标回波径向波数向量
K
R
的指向与雷达相对于点目标的径向距离向量
R
相一致。如图3.11所示,图3.11(a)表示雷达相对于点目标的位置及其空间径向距离向量,图3.11(b)画的是相应的径向波数向量
K
R
。径向波数向量的长度取决于频率
,若频率值增减,则其长度也成正比地增减,而径向波数向量的指向则取决于目标到雷达的径向距离向量
R
的指向,而与目标所在的位置无关。
图3.11 目标平面及其对应的波数平面
在后面的分析里,空间平面和波数平面常以直角坐标表示,即空间坐标为(
x
,
y
),而波数坐标为(
K
x
,
K
y
)。于是,空间向量和波数向量均可用两个坐标分量表示,若空间径向距离向量
R
与
y
轴成
θ
角,则
K
x
=
K
R
sin
θ
,
K
y
=
K
R
cos
θ
,
当空间回波信号的相位分布已知时,
K
x
和
K
y
也可从相位
φ
沿
x
轴和
y
轴变化直接求得。单个点目标是合成孔径雷达里常用的例子,读者可用图3.11(a)的例子,以雷达从
A
点水平或垂直移动,从雷达基频回波直接求
K
x
和
K
y
,其结果与上述分解是一致的。
为了能将空间域和波数域的关系理解得更清楚一些,下面再举两个例子。
图3.12的例子是只有一个观测点
B
,而空间有三个点目标
P
1
、
P
2
和
P
3
,这相当于雷达位于一处,而波束覆盖了三个点目标的情况。空间系统是线性的,总的回波为三个点回波的线性和,即总的基频回波为
,其中
R
i
和
K
R
i
(
i
=1,2,3)分别为空间长度向量和径向波数向量,由于这两个向量同向,它们的内积又可写成两标量的乘积。若雷达以单频
f
c
发射,则所有径向波数向量的长度均为4π
f
c
/
c
,但方向是不同的[见图3.12(b)]。
图3.12 空间域和波数域关系示例一
如图3.12(b)所示,各个径向波数向量
K
R
i
还可分别分解为
K
xi
,
K
yi
两个分量,分量的数值是不相同的,以
K
R2
为例,它的
K
x
2
=0,这是很明显的,由于点目标
P
2
的反射波的波前在点
P
2
与
x
轴相切,
;而
K
x
1
和
K
x
3
则分别为正和负。
图3.13是另一个例子,空间点目标只有一个,雷达沿 x 轴移动了三处( B 1 、 B 2 和 B 3 )进行观测。虽然不是在同一地点观测,但可以在同一波数平面里进行讨论。三处观测时的空间径向距离向量和径向波数向量如图3.13(a)和3.13(b)所示。图3.13(b)实际表示了雷达观测地点改变时,径向波数向量的变化情况,虽然各处的径向波数向量的长度均相同,但各个 K x - K y 是不相同的,图3.13(b)相当于从不同空间位置观测目标,而得到目标的波数分布。
图3.13 空间域和波数域关系示例二
关于径向波数向量的方向,图3.12和图3.13里都是以从目标到雷达作为径向波数向量的指向。在辐射源的场合,以辐射源作为起点显然是合适的,而在合成孔径雷达里,电波由雷达发射,通过目标的后向散射再传给雷达,作为径向波数向量应与目标和雷达的连接线相重合,至于用目标还是用雷达作为起点是无关紧要的,不过径向波数向量的指向必须与相应的空间径向距离向量的指向相一致。在后面的分析中,为了实际应用的方便,常以雷达作为径向波数向量的起点。
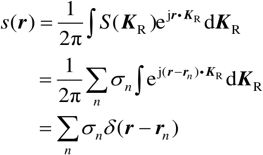
上面讨论的是雷达回波在波数域里波数向量的情况,这类似于信号的时频分析里频域频率值的情况,为了在频域表示信号,还需要给出各个频率的信号值,也就是信号的频谱。为此,下面对波数谱的情况做一些介绍。
波数谱即信号在波数域的表示,即波数域中以各波数向量为自变量的信号值。实际上,前面的式(3.42)就是雷达发射单频连续波信号(频率为
f
c
),且相对于点目标的径向距离向量为
R
时的波数谱,这时的波数谱为点谱,即在二维波数平面里只有一点,其波数向量为
,而以
K
R
表示的信号为
σ
n
e
−j
K
R
⋅
R
。如果要得到更多的谱点,可以变更载波频率,也可采用调制的信号使信号具有更多的频率分量,这时波数向量的指向不变,而长度与频率成正比变化。也可以用非径向移动雷达位置,以改变径向距离向量
R
的指向,从而有更多指向不同的波数向量。
上面对空间信号及其波数向量和波数谱的概念作了简单介绍。本节一开始时就曾提出,雷达成像属于场的范畴,而且是“逆问题”。应当指出的是,用图3.11至图3.13加以说明还只是“正问题”,即已知目标及雷达的相对位置,发射单频连续波,求得回波的波数向量和波数谱。逆问题是从接收到的信号重建目标相对于雷达的位置,用图3.11至图3.13的一次或少数几次回波是不可能做到的。有关目标空间位置重建的问题将在3.3.2节里讨论。在3.3.2节里仍假设发射为单频连续波,只讨论横向高分辨,脉冲波的情况将在后面研究。
有了上面关于波数域的基本知识,就可用它来分析空间信号分布,以及目标横向位置的重建。
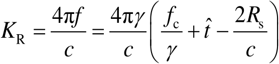
仍采用图3.9(a)的模型,即一系列目标位于与航线平行的直线上,两线间的距离为 R s ,并设发射信号为单频( f c )连续波,载机以速度 V 沿 x 轴飞行。这里的任务是计算雷达沿 x 变化位置时回波信号的变化情况,即回波的空间信号分布,再由它变换得到波数谱。
其实,在本章一开始讨论合成阵列时就已经强调指出,对于固定目标,合成阵列主要是阵元的空间分布,而与测量的时间,甚至测量的顺序都没有关系,只是转到讨论运动平台合成孔径雷达时,由于实际接收和记录的是时间信号,而雷达技术工作者又熟悉时频域信号分析,所以在上一节分析了回波信号在慢时间域的变化及其多普勒谱。
这一节的工作实际是又回到空间域里来。有了上一节的分析结果,这里没有必要做过多的重复性工作,如用慢时间 t m 作自变量时,基频回波为[参见式(3.16)]
(3.44)
如改用雷达的位置 x 作为自变量,则基频回波为
(3.45)
式(3.45)中,
K
Rc
为中心频率对应的距离方向的波束,
。
可以看出,上两个回波是相同的,且 x = V t m ,即
(3.46)
应当强调的是采用了波数 K R n ,而当雷达位置为 x 时,凡波束照到的点目标都会有回波回来,各个回波的波数值相同( K Rc =4π f c / c ),但各波数向量的方向是不同的,它们与各自的距离向量同向,两者的内积可写成标量乘积形式。
将 s ( t m )变换到时频域可得到多普勒谱 S ( f d ),相类似地,将 g ( x )变换到空频域也可得波数谱 G ( K x )。由于 g ( x )和 s ( t m )之间有式(3.46)的关系,同时考虑到 f d 为频率,而 K R 为角频率,所以可借用式(3.35)的形式而将 G ( K x )写成
(3.47)
于是,将式(3.35)中的
f
d
用
代替,并稍加整理,得到波数谱(省略谱幅度的常数变化)
(3.48)
式(3.48)中,
式(3.48)中的
G
(
K
x
,
K
Rc
)实际上就是式(3.47)中的
G
(
K
x
),对于单频连续波信号,
为常数,作为自变数写在公式里没有意义,之所以在式(3.48)中加上
K
Rc
是为后面讨论多频的情况做准备。
利用式(3.48)的波数谱对 K x 的高次相位项做匹配滤波,再通过逆傅里叶变换,变回到空间域,而式(3.48)中的第二个指数为线性相位项,各散射点将以各自的横向位置 X n ( n =1,2,⋯, N ),并以窄脉冲的波形依次排列,这与3.3.1节讨论的完全相同,不再重复。
需要加以说明的是,在慢时间域(
t
m
)和空间域(
x
)里,某一时刻(地点)接收到的回波来自波束内的各个方向;而在多普勒域(
f
d
)或波数域(
K
x
)则不一样,在某一频率所对应的回波并非同一时刻的,但来自一定的方向,由于
,
,只有斜视角
θ
方向的目标回波才会出现在所对应的
K
x
(或
f
d
)处。于是,式(3.48)中的
K
Rc
具有方向一定的含义,即
K
Rc
与
K
x
对应同一处的波数。从图3.11的关系,波数
K
Rc
在波数平面里可以用直角坐标的
K
x
和
K
y
分量表示,即
,利用这一关系,可将式(3.48)的波数谱以
K
x
,
K
y
表示,即
(3.49)
当发射为单频连续波信号时,从测量和录取到的回波数据序列,可通过傅里叶变换得到
K
x
和
K
Rc
的波数谱,其中波数谱在
K
x
维的支撑区为
由于是单频发射,
K
Rc
只有一个值
,将这时的二维波数谱画出,如图3.14所示。当利用
的关系,从已知的
K
x
和
K
Rc
计算出相应的
K
y
,则可得到图3.14中以黑实线表示的支撑区和式(3.49)所示的波数谱。
图3.14 单频连续波发射时回波二维波数谱的支撑区
从式(3.49)中的波数谱通过逆傅里叶变换,容易得到目标在 x - y 平面的二维分布,但如果对该平面要求具有高的二维分辨率,则波数谱在二维方向都必须有足够的谱宽。利用合成阵列可以使 K x 具有宽的波数谱,但从单频信号无法获得宽的 K y 波数谱,这只有通过宽频带信号。在3.3.3节里将对此做简单介绍。
1. 二维波数平面 K x - K y 的建立
为了获得高的径向分辨率,必须采用宽频带信号,下面讨论用宽频带周期性调制脉冲为发射信号的情况,即发射信号为
(3.50)
式(3.50)中,
t
和
分别为全时间和快时间,
为调制复包络,这里只写了一个周期的。
仍采用图3.9(a)的目标模型,垂直距离为 R s ,则接收回波通过相干检波后,得到基频回波为
(3.51)
式(3.51)中的信号中加了慢时间
t
m
,因为载机位置随慢时间变化,
R
n
也变化,如以载机雷达的横向位置
x
表示,即
将式(3.51)从快时间域变换到基频域,同时将慢时间 t m (包含在 R n 里),用雷达横向位置 x 表示,于是可将式(3.51)写成空域信号形式,即
(3.52)
式(3.52)中,
,而
f
b
为基频。
f
=
f
c
+
f
b
表示发射频率的各个分量。
式(3.52)中的
P
(
f
b
)为发射脉冲复包络(可以是线性调频信号等)的频谱,对快时间域的回波做匹配处理(相当于作脉压处理),即在距离频率域(此处为基带频域)乘以频率特性为
P
*
(
f
b
)的函数,考虑到
(其中Δ
K
R
=
K
R
−
K
Rc
),可将在快时间域匹配滤波后的式(3.52)写成
(3.53)
再将式(3.53)从 x 域变换到 K x 域[参考式(3.48)],得
(3.54)
式(3.54)中,Δ f 为宽频带复包络的频带宽度。
式(3.54)中波数谱的支撑区如图3.15(a)所示。回波数据用数字信号形式记录和处理时,在
K
x
-
K
R
平面为一组等间隔的离散点,
K
R
限制在
的范围里,而
K
x
的支撑区与
f
有关,若不考虑信号频带对天线波束宽度的影响,则
K
x
支撑区的长度与
f
(也就是与
K
R
)成正比,于是在
K
x
-
K
R
平面里形成如图3.15(a)所示的梯形支撑区。
考虑到
,还可将式(3.54)的
K
x
-
K
R
的波数谱变换到
K
x
-
K
y
平面,即
(3.55)
从 K R 变换到 K y 是非线性变换,将图3.15(a)中的数据点逐点变换到 K x - K y 平面,如图3.15(b)所示。
图3.15 宽频带信号发射时回波二维波数谱的支撑区
已经有了 K x - K y 平面的波数谱分布,要得到在 x - y 平面的分布,原理上是不困难的,只要通过二维逆傅里叶变换即可。这一变换在工程上总是用二维FFT来完成,为此在 K x - K y 平面上应具有矩形网格点的数据,而图3.15(b)是不具备的,要从图3.15(b)中的原有数据点,通过 K y 维的插值,得到如图3.16所示的矩形网格数据分布,这种插值称为Stolt插值。
图3.16 在 K x - K y 平面插值得到矩形网格点的数据
2. 采用解线频调方法做相干检波时的波数域分析
在合成孔径雷达里,宽频带信号常采用线性调频脉冲,且脉冲宽度比观测场景幅宽所相应的时宽大很多,这时常用解线频调(Dechirping)方法做相干检波,其内容已在第2章里详细介绍过,这里仅讨论它与波数域分析横向距离分辨相联系的一些特点。
前面提到,用单频连续波发射时,距离
R
t
处的点目标的基频回波为
σ
e
−j
K
Rc
R
t
,其中
,这里隐含了一个条件,即目标距离的度量是以雷达所在点作为基准的,当
R
t
=0 时,回波相位
φ
=−
K
R
R
t
=0。合成孔径雷达里,常采用另外的基准,如场景中心线与载机航线之间的距离为
R
s
时,常以该中心线为场景图像的纵向基准,这时相干检波采用的基准信号应为
,而
R
t
处的基频回波为
σ
e
−j
K
Rc
(
R
t
−
R
s
)
,当
R
t
=
R
s
时相位为0。
用二维波数域做目标位置重建,最后要得到
K
x
-
K
y
平面的二维波数谱分布,前面提到,先得到的是
K
x
-
K
R
的波数谱,通过
的关系,得到
K
x
-
K
y
平面的波数谱。在单频连续波发射下,得到的基频回波相当于
x
-
K
R
平面的分布,这时
K
R
只有一个数值
,对
x
做傅里叶变换,得到
K
x
-
K
R
平面的波数谱。
上面也介绍了宽频带脉冲信号
发射的情况,由于
有较宽的频谱,可以先将基频回波对快时间
做傅里叶变换,得到基频分布
后,可知
f
(
f
=
f
c
+
f
b
)的多频分量使
x
-
K
R
平面的数据分布在
K
R
方向有一定的谱宽,接下来其余分析与单频时相同。
根据以上的思想,再来讨论对LFM发射脉冲,而用解线频调方法做相干检波时,应如何分析。
设发射的LFM脉冲为
(3.56)
式(3.56)即第2章里的式(2.6),符号意义与式(2.6)相同,这里不再解释。
上述发射脉冲中心频率为
f
c
,频带宽度为
γ
T
p
,即其频率范围为
,发射的瞬时频率在快时间域线性变化。
用作相干检波的基准(参考)信号为
(3.57)
式中,用 R s 作为基准距离,式(3.57)亦即第2章中的式(2.7)。
相干检波即将接收回波与参考信号相乘,这时的基频回波为
(3.58)
式(3.58)中, R Δ = R t − R s 为目标距离 R t 与基准距离 R s 之差。
式(3.58)的第二个指数项称为剩余视频相位(RVP)项,它的产生、影响及消除方法已经在第2章里讨论过,这里不再重复。在下面的讨论中,可以认为RVP项已被消除,只考虑式中的第一个指数项,即基频回波可写成
(3.59)
第2章里还讲述了RVP项的消除是通过“去斜”处理完成的,图2.4所示的处理过程中以快时间
为横坐标,而以频率为纵坐标。图2.4(a)表示发射脉冲和几个不同距离的回波脉冲,它们都是LFM信号。此外,该图中也画出了参考信号。图2.4(b)所示是解线频调后,各回波的差频变为常数,因距离远近不同,各回波在快时间轴的位置也不同,是“斜”着排列的。“去斜”的结果如图2.4(c)所示,这时所有回波在快时间轴对齐排列,其表示式为式(3.59),距离不同表现在公式最后面的
R
t
上,其余均相同。现在将图2.4(c)重新画出,并标上这里所需的符号,如图3.17所示。
图3.17 解线频调和“去斜”后的相干检波(差频)信号各点与发射瞬时频率的对应关系
由于不同距离的回波已经在与以参考距离
R
s
所对应的时间
处对齐,因而在不同
处所对应的发射瞬时频率是已知的,如
对应于发射频率
f
c
,而
时,对应于发射频率
f
c
±
γ
T
p
/2,即
与发射瞬时频率
f
的关系为
。
注意式(3.59)中的因子
,当
时,该因子为
,即单频(
f
c
)发射时的径向波数
K
Rc
,由于图3.17中各个
相应的瞬时频率
,于是可写出各种
f
值时径向波数
K
R
为
(3.60)
据此可将式(3.59)改写成
(3.61)
在式(3.61)中,可以同时将慢时间
t
m
改为雷达的横向位置
x
,其实
t
m
和
x
都是隐含在
R
t
里,对于图3.9(a)的模型,
。
将式(3.61)中 x - K R 的二维分布变换到 K x - K R 的二维波数谱,进而得到 K x - K y 的二维波数谱。这些都与上面的分析相同,不再重复。
比较上面介绍的解线频调相干检波下的波数谱方法和宽频带信号的波数谱方法,两者有明显区别。它们都是将宽频带信号的频率变换成对应的径向波数,后一种方法是将快时间信号变换成频域信号,在对应的频域里不再为单频,因而得到与各个频率分量对应的径向波数。
用解线频调作相干检波则不相同,它将相干检波后的基频回波通过“去斜”处理后,时域信号就具有上述频域信号所具有的性质:回波信号在快时间域里是对齐的,而与距离无关,且相应的瞬时发射频率与快时间成正比,而目标距离则表现在以快时间为自变量的线性相位上,从而使径向波数与发射频率的关系在快时间域里表现出来,简化了运算。
本节的目的是介绍用波数域方法分析目标的横向分辨率,为了使读者对波数域分析方法能建立较为系统的概念,本节对目标的二维重建也做了一些讨论。实际的二维成像还有许多具体问题,这些都将在第5章里讨论。
条带模式为合成孔径雷达的主要工作模式,有些场合为对某些较小的特定区域做更细致的观测,获得更高的横向分辨率,常用聚束模式(可简称聚束式)。
以聚束模式工作时,雷达天线波束的指向在载机运动过程中要加以调控,使之以较长时间照射指定的区域。由于驻留时间(即对目标回波的相干积累时间)加长,或者说对目标照射转角加大,可以得到更高的横向分辨率。
本节还有一个目的是通过对聚束模式成像的分析,进一步掌握波数域成像的概念和算法。
前面已经提到,成像的基准点是可以选择的。聚束模式是对一小块区域成像,实际工作时可在该区域的中点附近选择一特显点作为基准,在录取数据期间雷达对该基准点进行精确跟踪,即波束射线和距离基准波门始终对其跟踪,并在预处理中使该基准点的基频回波相位固定在0。
在前面的讨论中已经多次提到,径向波数向量 K R 与雷达到目标的径向距离向量 R 同向,阵元(雷达)在某一位置接收到的信号是波束覆盖空间所有目标的回波,它们的 K R 具有不同的指向,因此要将回波数据由 x 域变换到 K x 域才能确定回波径向波数向量 K R 的指向。
聚束模式的情况有所不同,这是因为所需成像的区域很小,所以可以要很窄的波束 [4] ,举例来说,如要将50km处直径为250m的区域做聚束模式成像,则波束宽度仅需5mrad。因此,此时阵元在某一位置接收到的所有目标回波的波数向量 K R 的指向可以用波束指向 R 近似表示。
在上述近似条件下,聚束模式时的工作状态及回波信号在二维波束域的支撑区分别如图3.18(a)和3.18(b)所示。图3.18(a)中载机的某一位置
A
(
θ
代表波束指向角)到场景基准点为
O
的距离向量用
R
向量表示,则在图3.18(b)的波数平面里有相应的
K
R
。载波
f
c
对应于图中弧线
A
1
上的
K
R
(
K
R
=4π
f
c
/
c
=4π/
λ
),若信号频带为Δ
f
,则
K
R
维的支撑区为
,数字处理是在这一支撑区的若干个离散点上取值。载机在飞行过程中波束射线的指向不断改变,而场景的基准点不变,于是可得到基准点及其附近目标回波波数谱的支撑区,如图3.18(b)所示。
图3.18 聚束模式的空间观测及其波数平面
上面提到,图3.18(b)所得到的波数谱只对位于波束射线上的目标严格成立,而实际接收的是波束覆盖的所有目标回波。假设在此区域内有众多点目标,由于多目标回波是线性相加,所以只需讨论其中某一个(例如,第
n
个目标
P
n
)的情况。如图3.18(a)所示,雷达
A
到
O
的斜距向量
R
(将其单位向量写成
),
A
和
O
到
P
n
的距离向量分别为
R
n
和
r
n
。
现在来求点目标
P
n
的波数谱,由于聚束模式工作时的观测范围较小,因此可以用一个向量
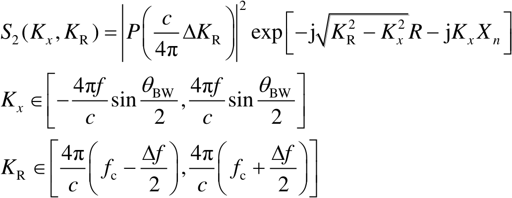
代表全波束目标的斜距向量,也就是假设照射该区域的雷达电波为平面波,因此各点目标的波数谱除强度和线性相位(取决于目标到雷达的斜距)外完全相同,可以暂不管其他因素,主要研究回波相位与雷达位置和工作频率的关系。
上面提到过,在聚束模式里场景中心点的相位保持为0,因此 P n 点的相位 φ n =4π( R n − R )/ λ 。而
(3.62)
式(3.62)中的近似基于 r n ≪ R ,在做泰勒级数展开时忽略了 R ⋅ r n / R 的高次项,这也相当于平面波近似。
在平面波的近似条件下,
为全波束目标的斜距向量,场景中所有散射点回波的波数向量均为
(
f
是平面波的频率),所以点目标
P
n
雷达回波的相位为
(3.63)
由此得相应的波数谱为
(3.64)
而场景内总的波数谱即各个点目标波数谱之和
(3.65)
应当指出,式(3.65)的波数谱是空间向量 R (即雷达 A 到场景基准点 O 的向量)在一定条件下得到的,可以看出,它适用于雷达在不同位置录取到数据时的所有 R ,因而式(3.65)实际是图3.18(b)支撑区内的二维波数谱的表示式。将式(3.65)通过逆傅里叶变换由 K R 域变换到 r 域,可以得到以向量 r (原点为 O )为自变量的目标空间分布
(3.66)
式(3.66)中, δ (⋅)为冲激函数,这是在 K R 的支撑区为无限的情况下求得的。实际 K R 在频率 f 和转角方面都有限制,若信号频带为Δ f ,则纵向分辨率为 c /(2Δ f )( c 为光速);若相干积累角为Δ θ ,则横向分辨率为 λ /(2Δ θ )。
以上为了简化成像概念的说明,用了连续形式的傅里叶变换。实际数字信号处理用的是离散形式,只能通过采样点的值做离散处理。由于直角坐标的二维傅里叶变换的离散样点必须在矩形网格上,而如图3.19所示的实际录取的采样点是按极坐标格式排列的,必须通过插值得到矩形网络采样点上的波数谱。有关极坐标格式算法的实际问题和应用限制在后面具体成像算法(第5章)里还要详细介绍。
图3.19 聚束模式波数平面的坐标变换
在本节的最后,再来介绍一下波数谱相位谱的图形,使大家能对波数域的相位谱有较完整的概念。
在3.3.1节里,已经提到波数谱,并用式(3.42)表示空间点目标时的空间谱,同时说明了点目标的位置由线性相位的指数项表示,不过由单个观测点的单频是不能得到波数谱的全貌的,它只是一个点频。接着在3.3.2节和3.3.3节里对运动平台单频和宽带信号的情况进行了讨论。这时在波数平面的一定支撑区范围里建立起波数谱,由它可重建目标的空间分布,其中由波数谱的线性相位指数项确定各点目标的位置,非线性相位项可通过匹配滤波加以消除,而支撑区的大小及幅度分布则决定重建点目标散布函数的形状,这是条带模式合成孔径雷达的情况。
本节讨论了聚束模式合成孔径雷达的情况,以场景的基准点为原点,可以得到式(3.65)的波数谱公式,同样是以线性相位的指数项表示点目标的位置。
如上所述,相位谱分布的实际情况对图像的重建有重大影响,因为它涉及点目标的位置失真,而支撑区的大小及幅度谱分布主要影响点散布函数,即图像的分辨率。
因此以式(3.65)为例,来讨论波数谱的相位谱。
式(3.65)是以径向波数向量为坐标的多个点目标的波数谱之和,考虑到在一定角度范围进行观测,波数谱是二维的,其支撑区如图3.15(b)和图3.16所示。
考虑式(3.65)中单个点目标(设为第
n
个)的波数域相位谱。如果二维坐标以直角坐标表示,空间向量可分解为
,其中
θ
n
为
r
n
与
x
轴的夹角。波数向量
K
R
可分解为
K
R
=
K
x
+j
K
y
。于是式(3.65)中的相位
φ
n
可写成
(3.67)
完整画出
K
x
-
K
y
平面的相位图是三维的,一般都以相位的等值线画在
K
x
-
K
y
平面里,如取
(
m
为整数)画
φ
n
的一组等值线。
第 n 个点目标的相位等值线为一组平行线[见图3.20(b)],平行线的垂直方向为 θ n ,而等值平行线的间距与 r n 的值成反比。图3.20(c)是另一个点目标(第 l 个)的例子,相位等值线垂直于 θ l ,由于 r l < r n ,等值线的间隔比前者宽。可以想象,当点目标位于 x 轴或 y 轴时,其 K x - K y 的相位等值线分别为一组垂直线或一组水平线。对于场景里基准点上的点目标,全波数平面的相位为0[见图3.20(d)]。大家知道,点目标在空间的位置表现在波数域里为它的线性相位,沿 x 轴的位置取决于 K x 维的线性相位,沿 y 轴的位置取决于 K y 维的线性相位,也就是 K x - K y 平面里的一组平行等间隔的相位等值线。
图3.20 目标位置与波数平面的相位等值线
实际上,二维谱平面里的等间隔平行相位等值线,是一维信号分析里谱域线性相位的推广,即在空域(或时域)信号的平移,在其谱域里表现为线性相位,比例系数等于平移值,二维的线性相位如式(3.67)所示,在谱平面里表现为等间隔的平行相位等值线。应当指出,一维信号分析里,空(时)域的信号平移表现为谱域的线性相位基于平移不变的特性。因此,只有平移不变性在二维谱平面里也满足时,式(3.67)才适用。所以对图3.16所示的观测模型,式(3.67)及图3.20(b)都是在理想平面波照射下才严格成立的。
如上所述,本节基于平面波的分析,只有在场景很小的情况下,才近似成立。实际球面波的波前弯曲,使平移不变性不再适用,其结果是使点目标回波相位在 K x - K y 平面不再是理想的等间隔平行线。如果仍按等间隔平行线处理,就不能良好聚焦,因而降低了分辨率,同时还会有位置的几何失真发生。可以想象,目标离点越远,失真也越严重。因此,本节介绍的聚束模式成像算法,适用的场景范围受到限制。不过,在实际应用中,聚束模式大多用于小的场景,这里介绍的方法具有广泛的应用价值。有关平面波条件不满足而产生散焦和失真的问题将在第5章里讨论。
这里还要做一些补充,前面提到,为满足阵元于某一位置时所有回波的径向波数向量均用波束至基准点的指向表示,因而要求波束很窄。实际波束要宽一些,所接收到的是更大范围点目标的线性和,在处理过程中彼此是独立的,远区回波重建的点目标会产生较严重的散焦和失真,而不会对所需区域场景图像造成影响。因此只要实际成像的场景较小,由于波束较宽而接收的远区回波不会对所需的小场景的图像起破坏作用,在实际处理中只是那些回波数据废弃不用,并注意不要产生混叠效应。因此以聚束模式工作时,并不一定要把波束缩得很窄。