



雷达与雷达目标的匹配是指雷达的设计参数要与雷达目标特性相互匹配。
雷达产生无线电辐射信号,通过雷达目标散射,得到雷达回波,因此雷达目标是雷达系统中的一个重要环节。雷达设计者的任务就是使雷达从目标回波中获取目标的最多最确定的信息,这就要求雷达性能及其设计参数一定要与雷达目标特性相互达到最佳匹配。
雷达检测目标的信号流程如图1.1所示,它包括雷达、雷达目标及其周围环境。雷达又分为发射和接收两大部分,雷达目标及其周围环境则介于发射与接收之间,因此要评估一部具体雷达性能的优劣,掌握目标特性和环境特性是重要因素之一。
图1.1 雷达检测目标的信号流程
从能量观点来分析雷达检测目标的信号过程,由图1.1可知,当发射波形函数为 e ( τ )时,接收机输入端信号函数则为
(1.1)
式中, h ( t )为目标的冲激响应函数。
当接收系统的冲激响应函数为 k ( t )时,接收系统终端输出信号为
(1.2)
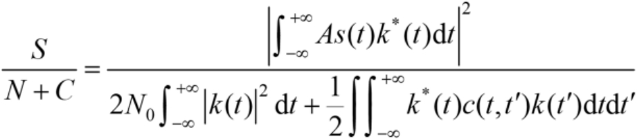
当接收机输入端同时输入环境的杂波信号时,接收系统输出端的信号干扰能量比(即信号功率 S 与机内噪声功率 N 加杂波功率 C 之比)为 [2 -3]
(1.3)
式中, c ( t , t ′)为环境与干扰杂波的自相关函数; N 0 为机内平稳白噪声的功率谱密度; k * ( t )为 k ( t )的复共轭。
式(1.3)中的分子项表示有用目标信号的输出能量,分母中第1项为由机内噪声产生的输出能量,第2项为环境与干扰杂波的输出能量。
雷达设计者的任务是使式(1.3)的值最大。当目标冲激函数对发射波形函数不产生失真时,获得最大信噪比的最佳接收系统冲激函数应是发射波的共轭镜像;如果这时存在外来杂波,则接收系统冲激函数还与杂波自相关函数 c ( t , t ′)有关,这时需采用两维模糊函数图来设计发射波形;当目标冲激函数对发射波形函数产生失真时(如宽带高分辨雷达波形),由于目标对照射谱的非均匀散射响应,因此最佳接收系统的冲激响应则应由发射波形、杂波环境与目标冲激响应三者优化后产生。
由此而见,仅从最佳接收而言,雷达设计者必须了解并掌握目标特性和环境特性。