



相控阵雷达的战术指标主要取决于雷达应实现的功能,这在很大程度上决定了雷达的技术指标、研制周期和生产成本。不同类型、不同功能的相控阵雷达有不同的战术指标要求。以下主要针对一维相扫与二维相扫的三坐标雷达进行讨论。讨论思路对观察数千千米的战略目标来说也有重要的指导意义。
随着雷达要观测目标的发展,雷达要完成任务的增加,雷达工作环境的复杂化以及雷达技术本身的进步,雷达的战术指标要求越来越高,这也是促进采用相控阵天线或电扫天线的原因。由于不同用途、不同类型的相控阵雷达有不同的战术指标,故以下讨论主要针对雷达的一些公用指标。
雷达观察空域包括雷达作用距离、方位观察空域和仰角观察范围。由于相控阵雷达通常都用于三坐标测量,既要完成搜索任务也要完成跟踪任务,因此有时需细分为搜索观察空域与跟踪观察空域。
1. 雷达作用距离
作为雷达最重要的战术指标之一——雷达作用距离包括最小作用距离( R min )和最大作用距离( R max )。 R min 对雷达信号波形设计的限制较大。对相控阵雷达特别是有源相控阵雷达来说,为充分发挥发射机特别是固态功率放大器件平均功率的潜力,大多采用较长或长的脉冲宽度信号,这时往往需要在信号波形与要求的 R min 之间进行折中。
由于相控阵雷达一般要完成多种功能,因而要观察的目标种类较多,各类目标的有效散射截面积(RCS)变化很大,因而要分别对不同雷达功能、不同目标提出不同的 R max 要求。在系统设计时,一般按雷达主要功能、主要目标的RCS及其他要求,如发现概率、平均虚警间隙时间等确定雷达的最大作用距离,再分别讨论在其他工作模式下,按不同观察目标的RCS分别计算雷达作用距离,并确定相应的信号波形和安排信号的能量分配。
由于相控阵雷达波束扫描的快速性与信号能量分配的灵活性,雷达作用距离可以在相当大程度上调整,但必须注意到其调整范围是受雷达功率孔径乘积( P av A r )或雷达有效功率孔径乘积( P av G t A r )所限制的,在某种工作方式下雷达作用距离增大了,在别的工作方式下则可能会减小。
2. 方位观察空域
相控阵雷达方位观察空域是指当天线阵面不动时,天线波束在方位角上的扫描范围,通常以± φ °表示。对天线波束只在仰角上进行一维相扫的三坐标雷达来说,方位观察空域取决于天线机械扫描(简称机扫)的范围,通常为360°,个别情况下在方位上做扇形扫描,方位观察空域较小。三坐标雷达的一个重要发展方向是采用二维相扫的平面相控阵天线,这时天线波束在方位与仰角上均做相扫,同时天线在方位上还做360°机械转动。由于整个平面相控阵天线还可在方位上转动,因而这时在方位上的波束相扫范围可以适当降低,如只要求±45°或低于±45°。
在相控阵精密测量雷达中,可根据需要跟踪的多个目标在空间的分布范围,采用有限相扫的相控阵天线,天线波束在方位与仰角上的相扫范围不大,如±15°和±30°,但天线座仍然具有机械转动能力。在这种情况下相控阵雷达的方位观察空域便用两个指标来描述,即用图2.1所示的平面相控阵天线波束在方位上的相扫范围与天线阵的机扫范围来描述。
图2.1 具有机械转动能力的相控阵天线的方位相扫范围示意图
该图中,相控阵天线的相扫范围为±
φ
p
,相控阵天线的机械转动范围为±
φ
m
。则相控阵雷达可能实现的综合方位观察范围
为
φ A =±( φ p + φ m )
对单个平面相控阵天线来说,最大扫描角 φ max 除与阵列中天线单元的方向图有关外,主要取决于天线单元间距 d ,由相控阵天线原理可知 d 应满足下式
(2.1)
最大扫描角 φ max 越大,天线单元间距 d 越小,在同样天线口径情况下,天线单元数目就越多。亦即,如果有两个同样口径的相控阵天线,对它们在方位上的扫描范围要求分别为 φ 1max 和 φ 2max ,则它们的天线单元数目 N 1 与 N 2 的比值 r N 为
(2.2)
图2.2所示为当
φ
2max
分别等于45°和60°时,
r
N
与
的关系曲线,该图用于说明降低方位扫描范围对显著降低单元数目的作用。
图2.2 天线单元数目比值与最大扫描角的关系曲线
图2.2中曲线 a 和 b 分别表示以 φ 2max =45° 与 φ 2max =60° 作为参考值时,增大或减小方位扫描范围(横坐标 φ 1max )带来的增加或减少天线单元数目的效果。
在采用平面相控阵天线的情况下,为了增大相控阵雷达的方位观测空域,可以采用多个阵面来实现,如美弹道导弹预警系统(BMEWS)中即采用两个平面阵列或三个阵面获得240°和360°的方位覆盖范围。
3. 仰角观察范围
仰角观察范围是雷达天线波束在仰角上的覆盖范围或扫描范围。对不同类型的相控阵雷达其含义有所区别。
对在方位上做一维相扫的相控阵雷达来说,雷达仰角观察范围取决于该雷达天线波束在仰角上的形状,如对大多数二坐标雷达来说,其仰角波束形状多数具有余割平方形状。对在仰角上做一维相扫的战术相控阵三坐标雷达来说,仰角观察范围即天线波束在仰角上的相扫范围。有的三坐标雷达在仰角上采用多个波束或发射为余割平方宽波束、接收为多个窄波束,这时仰角观察范围取决于多波束的覆盖范围。
当天线阵面倾斜放置时,仰角观察范围取决于天线倾角及天线波束偏离法线方向的上、下扫描角度,如图2.3所示。
图2.3中的 A 为天线在垂直方向上的倾斜角(倾角),+ θ 1max 与- θ 1max 分别表示天线波束偏离法线方向往上与往下的扫描范围。
图2.3 相控阵天线倾斜放置时的仰角观察范围
对一般战术三坐标相控阵雷达来说,天线阵面的向后倾斜角比较容易决定,但对超远程空间探测相控阵雷达来说,由于它们要求有很大的仰角观察范围,天线阵面倾角 A 的确定应考虑的因素较多。例如,美国AN/FPS-85超远程相控阵雷达,该雷达用于空间目标的跟踪、收集苏联导弹系统发射情报和洲际弹道导弹(ICBM)的早期预警,该雷达的仰角观察范围为0°~105°,其天线阵面的倾角为45°,这意味着该雷达在仰角上偏离阵面法线方向往上与往下的扫描范围分别为60°和45°。
这就决定了该雷达天线在垂直方向上的单元间距应按最大扫描角( φ max )为60°进行设计。如果要求在低仰角方向,如水平方向有更好的检测和跟踪性能,天线阵面往后的倾角 A 应大一些,如 A =50°,甚至 A =55°,但这就要求天线最大扫描角度 θ max 应为65°甚至70°,方能保证105°的仰角覆盖要求,但这时相控阵天线的设计将更为困难,天线单元数目大量增加,使高仰角雷达性能急剧降低。
信号检测与目标参数测量是雷达要完成的两大任务。雷达观察空域中最大作用距离这一指标在很大程度上反映了雷达信号检测的能力,雷达的最大跟踪作用距离与测量精度则反映了雷达的参数测量能力。这里主要讨论相控阵雷达在目标参数测量中的特点。
相控阵雷达要测量的目标参数大体上分为以下三类。
1. 目标位置参数
对相控阵三坐标雷达,目标位置参数包括在测量时间目标所在位置相对于雷达站位置的方位( φ )、仰角( θ )和距离( R ),或经坐标变换后在新的坐标系的三维坐标参数。目标位置参数的描述对相控阵雷达与机扫雷达是一样的。从本书第4章讨论相控阵雷达波束控制系统中可以看出,目标位置参数也可以用波束控制数码( α , β )与雷达测量距离 R 来表示,即用( α , β , R )来描述目标所在位置。当然,雷达输出给上级指挥所或雷达网中其他雷达的目标数据应按约定的坐标系来表示。
2. 目标运动参数
目标运动参数即反映目标运动特性的参数,该类参数包含目标的径向速度、径向加速度、角速度、角加速度或有关目标航向、航速及其变化的参数。测量这些参数对维持目标的稳定跟踪和确定目标轨道有重要作用。对战术三坐标雷达来说,由于目标的机动性较高,其轨迹变化大,测量目标的速度和加速度对维持目标稳定跟踪有重要意义,但目前大多数战术三坐标雷达的目标运动参数均只是从对目标( φ , θ , R )的多次测量数据经处理后得出的。相控阵雷达在测量目标运动参数和维持目标的稳定跟踪上做的一个主要贡献是利用天线波束扫描的灵活性,提高对目标进行观察的采样率,即提高数据率。
对观察外空目标的远程或超远程相控阵三坐标雷达来说,测量目标运动参数对确定空间目标轨迹(如确定卫星目标的六个轨道参数),确认目标变轨,对空间目标进行登录和编目是必不可少的。
由于外空目标距离远、飞行速度快,远程/超远程相控阵雷达对定轨精度要求很高,因此,在信号波形与工作方式设计时,往往要求有直接测量目标回波多普勒频率及其变化率,即测量目标速度与加速度的能力。
3. 其他目标特征参数
其他目标特征参数主要指相控阵雷达测量的是反映目标构造、外形、姿态、状态、用途(如是否为失效载荷)及其他目标特性的特征参数。要测量的这些特征参数多半是从目标回波信号的幅度、相位、频谱和极化特性及它们随时间的变化率中提取的。例如,目标回波信号的幅度起伏、频谱特性和极化特征等。这一类参数主要用于对空间目标进行分类、识别,或用于对目标事件(Target Event),如有关目标交会与分离(一个目标变为两个或多个目标)、目标爆炸等事件进行判断与评估。多目标精密跟踪测量雷达、空间目标监视雷达、弹道导弹防御(BMD)中的相控阵雷达等对测量这些特征参数的需求最为强烈。对战术三坐标相控阵雷达,也有目标分类、识别的要求,如需要区分单架飞机或机群目标,大飞机或小飞机及飞机型号等。相控阵雷达测量多种特征参数的能力,不仅能大大改善防空系统的战斗有效性,而且也有利于提高雷达的工作性能,如有利于解决多批高机动目标航迹交叉时的混批问题及战斗中对友机的误伤问题。
作为战术指标提出的雷达测量精度是与在接收机噪声背景中进行测量时所能达到的最小测量误差相对应的,即它是指雷达的潜在测量精度。在存在无源杂波与有源干扰情况下,对雷达测量精度要求应另有规定。
一般战术相控阵三坐标雷达只测量方位、仰角与距离,因此在战术指标中也只提距离、方位和仰角的测量精度要求,或经过换算得出的距离、方位、高度三个参数的测量精度要求,其中高度精度取决于仰角和距离的测量精度。
对于可机械转动的具有二维相扫能力的战术三坐标雷达、相控阵天线波束扫描的快速性及波束形状的捷变能力,使其具有更多的功能及更多的工作方式,如可以对重点目标进行测速等,这时,战术指标中就应包括测速精度要求。
用于观测外空目标的空间探测相控阵雷达其主要任务是要精确测量空间目标的轨道参数(轨道倾角、长半轴、短半轴、偏心率、近地点赤经、升交点辐角)。通过测量目标在飞行轨迹中一个弧段上不同时刻的位置参数,即可获得空间目标的6个轨道参数。据此可判断或区分目标属于卫星还是弹道导弹,若是弹道导弹则可预报导弹落点与发射点,因此对测量精度有很高的要求。雷达测量的目标飞行轨迹的弧段越长,在这一弧段上采样次数越多,每一次测量所获得的有关目标方位、仰角、距离数据的精度越高,对空间目标的定轨精度就越高。
雷达对目标距离的测量精度取决于信号的瞬时带宽及信噪比。
雷达对目标角度的测量精度,取决于天线波束宽度和信噪比。天线波束越窄,雷达测角精度越高。从提高数据率,提高测角精度和从抗角度欺骗干扰能力考虑,多数战术三坐标雷达和超远程相控阵雷达均采用单脉冲测角方法,即通过形成两幅天线方向图,对它们所收到的回波信号的幅度或相位进行比较,再通过内插运算来确定目标偏离中心位置的角度。不管用何种单脉冲测角方法,其角度单次测量的极限误差(取决于回波信号的信噪比 S / N )都可近似表示为 [1-2]
(2.3)
式(2.3)中, K m 为单脉冲测角时的角灵敏度函数的斜率或误差斜率,它与天线方向图形状及天线加权函数等有关。例如,当以高斯函数逼近天线方向图主瓣,用于进行比较的两个波束的最大值间隔为波束半功率点宽度时,可推导得出 K m = 1.38;在其他文献中根据实测值,取 K m = 1.57或 K m = 1.6 [2] 。
如果在一个波束位置上用多个重复周期进行测量,如用
n
个脉冲信号进行测量,则这一随机误差可改善
倍。
相控阵雷达可通过在重点目标方向上增加天线波束驻留时间,即增加观测次数(指观测目标用的脉冲数量) n 来提高测角精度。对只做一维(仰角方向)相扫,在方位向进行机扫的战术三坐标雷达来说,观测次数 n 受天线水平波束宽度与天线在方位上机械转动速度的限制。若天线方位转速为 Ω ,雷达信号重复频率为 F r ,天线波束在方位上的半功率点宽度为Δ φ 1/2 ,则即使天线波束在仰角方向不进行扫描,一直指向目标所在仰角方向,也能达到的最大 n 值为
(2.4)
举例,
,
Ω
= 10r/min(即60°/s),
F
r
= 300Hz(对应
R
max
= 500km),则
n
max
= 5。由此可见,对只能做一维相扫的三坐标雷达通过增加波束驻留时间,即增加
n
来改善测角精度的潜力是有限的。如采用二维相扫的平面相控阵天线,则可突破方位机扫带来的这一限制。
1. 角度分辨率
空间探测相控阵雷达一般均为二维相扫相控阵雷达,战术相控阵三坐标雷达的天线波束一般在方位与仰角方向上均为针状波束,因此雷达的空间分辨率取决于雷达天线波束在方位与仰角上的半功率点宽度Δ φ 1/2 与Δ θ 1/2 。波束宽度的确定除了考虑角度分辨率,往往更多地取决于获得更高天线增益、更高测角精度的要求。
2. 距离分辨率
相控阵雷达的距离分辨率与机扫雷达一样,取决于所采用的信号瞬时带宽。当采用脉冲压缩信号,如线性调频(LFM)脉冲压缩信号时,持续时间很长的信号也可具有很大的信号瞬时带宽,不会因为采用宽带信号而降低雷达信号的平均功率,因而不会影响雷达的搜索和跟踪距离。若信号瞬时带宽为 B ,则距离分辨率Δ R r 为
(2.5)
3. 横向距离分辨率
在目前技术条件下,产生和处理具有大的瞬时带宽的雷达信号已无理论和工程上的困难。采用大的瞬时带宽信号不仅使雷达在距离维具有高分辨能力,而且通过对运动目标的长时间观察,利用逆合成孔径雷达(ISAR)成像的原理,还可对目标进行二维成像,提高雷达横向距离分辨率,为目标分类、识别提供重要的技术条件。但这在一维相扫的三坐标雷达中很难实现,而只有在二维相扫的情况下,由于没有机扫带来的对波束驻留时间的限制,观测脉冲数 n 可以很高,有利于实现对重点目标的纵向与横向距离的高分辨率。
一些先进的战术三坐标雷达由于对其有目标分类、识别、拦截效果评估等要求,因而采用二维相扫的平面相控阵天线,同时保留在方位上可做机械转动,调整天线阵面朝向的能力。
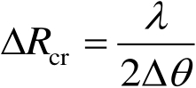
对TMD/NMD及空间监视系统中应用的远程/超远程相控阵雷达,必须实现目标分类、识别,故对目标的分辨率要求至关重要。在采用瞬时宽带信号的前提下,可以利用目标自身的旋转或目标围绕雷达视线的旋转产生的目标上各散射点的多普勒频率差,获得目标的横向距离分辨率Δ R cr ,即
(2.6)
式(2.6)中,Δ θ 为目标在观察时间 T obs 内目标视在角的变化;若目标的角旋转速率为 ω ,则
(2.7)
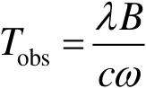
通常在雷达系统设计时希望目标的横向距离分辨率(Δ R cr )与目标的纵向距离分辨率(Δ R B )一致,则在信号瞬时带宽 B 已确定的情况下,由式(2.5)和式(2.6),对目标的转角要求按下式确定,即
Δ θ = λ B / c
(2.8)
式(2.8)说明,在要求横向距离分辨率与纵向距离分辨率相等时,当纵向距离分辨率Δ R B 确定之后,即信号带宽 B 确定之后,采用较短的波长(较高的信号频率)可降低对转角 θ 的要求。另外,式(2.8)还可用信号的相对带宽 B / f 来表示,即
(2.8a)
式(2.8a)同样说明,如果Δ R B 或信号带宽 B 确定后,提高信号频率有利于降低对成像的目标转角Δ θ 的要求。
也可按式(2.7)将式(2.8)转换成对雷达观察时间 T obs 的要求,即
(2.9)
同样, T obs 也可表示为
(2.9a)
4. 速度分辨率
除了上述距离分辨率,对空间探测相控阵雷达来说,径向速度分辨率也是一个重要指标。大家熟知,目标回波的多普勒频率 f d 取决于目标的径向速度 V r ,即
(2.10)
由于TMD/NMD及空间监视系统中的相控阵雷达所要观察的目标都具有比现有飞机快得多的速度,因此,其多普勒频率和多普勒频率的变化率也更为显著。
通常采用距离门-多普勒( R-f d )滤波方法来提取目标回波的多普勒频率,即将 n 个重复周期内同一距离单元回波的抽样进行快速傅里叶变换(FFT),亦即对长度为 n 的回波脉冲串信号进行相干处理。FFT的 n 路输出即为该距离单元的多普勒滤波器组的输出。每一个滤波器的频带宽度在不考虑为抑制副瓣而采取加权的情况下,是总观察时间 T obs 的倒数,即
(2.11)
式(2.11)中
式中, T r 和 F r 分别为雷达信号的重复周期和重复频率。
与目标回波信号的多普勒频率的分辨率相对应,目标径向速度的分辨率Δ V r 为
(2.12)
相控阵雷达的一个特点是具有实时跟踪多个空间目标的能力。当雷达在搜索状态发现目标,并做出目标存在的报告后,必须对其进行确认、截获,然后转入跟踪状态;在对已截获的目标进行跟踪的同时,继续在搜索空域内进行搜索,以期发现新的目标。
对战术相控阵三坐标雷达来说,处理多批目标的必要性不仅来自雷达要完成多种功能,需要观察监视空域中实际可能存在的多批目标,而且还因为这类雷达在战时通常都会受到敌方有源干扰与无源干扰的对抗,这时为保持一定的检测和跟踪能力,雷达要处理的虚假目标数目将显著增加。
检测过程中产生虚警之后,必须启动跟踪程序中目标确认与截获过程。这一过程结束之后就滤除了大部分的虚警(报告),未被滤除的虚警被当成目标,对这些虚假目标形成“跟踪启动”,这时需要在随后的航迹跟踪过程中将其剔除。剔除虚假航迹可能导致相控阵雷达要处理的目标数目显著增加和雷达信号能量与时间资源的消耗。
对用于TMD/NMD中的远程、超远程相控阵雷达及导弹靶场远程相控阵测量雷达来说,多目标处理能力与真假弹头识别等有关。由于空间目标数量逐年增多,仍在工作运转的空间目标和已失效的空间目标及空间碎片(“空间垃圾”)的存在,空间监视相控阵雷达具备同时跟踪多批目标、实时处理多批目标轨迹的能力是完全必要的。
相控阵雷达处理多批目标的能力对其工作方式的设计、雷达在搜索和跟踪状态下的数据率、跟踪精度等都有重要影响,因此它是一个重要的战术指标。
空间探测相控阵雷达跟踪和处理多批目标的能力在技术上自然与雷达控制和其数据处理计算机的能力有关,即与计算机的运算速度、存储容量等有关,但最终还是取决于雷达能提供的信号能量。被跟踪的目标数目越多,用于跟踪照射的信号能量就要越大。因此,根据相控阵雷达要完成的不同特定任务,合理定出雷达要跟踪的目标数目并对跟踪目标进行分类是雷达系统设计的一个重要内容。
数据率定义为在1s内对目标进行数据采样的次数,其单位为“次/s”。在雷达中也常用数据率的倒数,即数据采样间隔时间来表述。
以做旋转360°的机扫二坐标雷达为例,若其转速为6r/min,则天线波束每扫掠360°需要10s,即采样间隔时间为10s,数据率为0.1,即0.1次/s。
数据率是相控阵雷达的一个重要战术指标,它体现了相控阵雷达一些重要指标之间的相互关系,对相控阵雷达系统设计有重要影响。
由于相控阵雷达既要完成搜索,又要实现多目标跟踪,因此需要区分搜索数据率和跟踪数据率,它们分别是搜索间隔时间与跟踪间隔时间的倒数。由于相控阵雷达需要搜索的区域可以按重要性等区分为多个搜索区,如重点搜索区域、非重点搜索区域,因而可以在不同的搜索区域分配不同的搜索时间,总的搜索时间是在各个搜索区域所花费的搜索时间之和。此外,在搜索过程中还要不断加上跟踪所需的时间,这将导致对同一空域进行搜索的间隔时间加长,因而导致搜索数据率的降低。在多目标跟踪情况下,按目标重要性或其威胁度可以有不同的跟踪采样间隔时间。这些情况使得数据率这一指标在相控阵雷达信号资源分配和工作方式安排与控制中起着十分重要的作用。
在当今电子战(EW)和信息战(IW)发展的条件下,各种军用相控阵雷达均需要满足在复杂战场环境与电磁环境下的工作能力和生存能力。即使是空间探测相控阵雷达,由于它除了用于空间技术研究,还具有军事应用的潜力,因此也面临同样的要求,在进行相控阵雷达系统设计时,雷达使用方和设计方必须考虑提高雷达的抗干扰能力(ECCM)、抗反辐射导弹(ARM)和抗轰炸能力等要求。所有在战术雷达及其他相控阵雷达中采用的有效措施在不同类型的空间探测相控阵雷达中均须考虑采用。
相控阵雷达在提高其抗干扰能力与生存能力上有更大的潜力。这些潜力的发挥及其实现的技术条件将是相控阵雷达技术发展中的永恒课题。
相控阵雷达使用性能除包括一般雷达对可维护性、可靠性等的要求外,特别要对雷达的运输条件、可转移条件、相控阵雷达天线的架设与拆收时间、雷达开关机的最少需要时间及减少操作人员数目等有关问题予以特别关注。
对大型地基固定式相控阵雷达,有关使用环境的问题之一是正确选择雷达工作的地理位置即站址,如雷达所在纬度、雷达天线法线方向的朝向、雷达观察区域内在仰角上允许的遮挡角大小、雷达高功率辐射对周围区域内企业与居民生活的影响等。对观测外空目标的远程、超远程相控阵雷达站址所在地区的气候条件,如年高低温度、湿度、降雨量、沙尘含量、风速等都是必须认真考虑的。为了保证雷达的测量精度必须考虑电波传播修正问题,因而必须对雷达站址所在地区的大气折射、电离层状况进行定期观测与监视,且有必要建立相应的电离层观测站。雷达防护罩及雷达基地前是否需要建立屏蔽栅网,也常常是大型相控阵雷达使用环境要求中的一项需认真考虑的战术指标。