



本章理论内容包含一般各向异性材料、单对称材料、正交各向异性材料、横观各向同性材料、各向同性材料的应力-应变关系。着重分析一般各向异性材料、单对称材料、正交各向异性材料、横观各向同性材料、各向同性材料的应力-应变关系的区别与联系。复合材料结构分析逻辑思路如图2.1所示。轻量化设计在单层板与层合板这两个层次上展开;工程结构的轻量化设计(例如新能源汽车轻量化设计等)在复合材料结构力学的基础上开展。
本章的研究对象是复合材料的三维结构的初始本构关系,也称三维一次结构。如图2.1a所示。
单层板,单层设计,二维一次结构:纤维增强复合材料的基本单元,组分材料、体份比、相几何等决定其特性;如图2.1b所示。
层合板,铺层设计,三维二次结构:单层板组成的层合板,单层板特性、铺层几何(铺层方向、顺序)等决定其特性;如图2.1c所示。
实际工程产品结构,结构设计(轻量化设计),三维三次结构:层合板特性和结构几何等决定其特性,形成利用耦合效应等的产品形状和尺寸;如图2.1d~f所示。
这四个结构设计层次互为前提,互为影响,互为依赖,打破了轻量化材料与结构的设计界限,必须将材料设计与结构设计统一考虑,将材料维度和结构层次统一考虑,将材料尺度与结构特性统一考虑。如图2.1所示。
正交各向异性材料的各向异性特征,层合板厚度方向非均质性导致耦合响应,产品结构的轻量化设计,各向异性、非均质性、轻量化设计的实际特性为工程应用的重中之重;
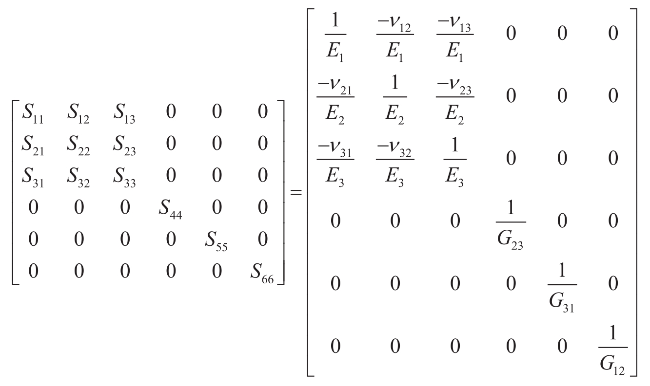
宏观力学特性:考虑单层板的平均表观力学性能,表观参数,宏观实验参数,实用性和可靠性强,不讨论复合材料组分之间的相互作用;
对单层板来说,由于厚度与其他方向尺寸相比较小,因此一般按平面应力状态进行分析,只考虑单层板面内应力,不考虑面上应力,即认为它们很小,可忽略;在线弹性范围内,进行结构分析、计算与轻量化设计。
三维初始弹性模型,三维一次结构;单层板、单向板,单层设计,二维一次结构:层合板,铺层设计,三维二次结构:实际工程产品结构,结构、功能及轻量化设计,三维三次结构:可在同一工艺流程中制作或形成,这也是复合材料的特性之一,如图2.1所示。
这四个设计层次中正交各向异性、非均质性、耦合响应、产品轻量化设计等实际特性为工程应用的重中之重。也即原材料、单层材料、铺层材料及结构材料产品的轻量化设计。
图2.1 复合材料材料维度与结构层次的协同分析逻辑思路
本章知识点包含各种三维一次材料的弹性本构理论,包含:①一般各向异性材料;②单对称材料;③正交各向异性材料;④横观各向同性材料;⑤各向同性材料的应力-应变关系的介绍。典型三维一次材料的结构模型如图2.2所示。
图2.2 典型三维一次材料的结构模型
对于宏观力学,一般各向异性弹性体与各向同性弹性体的本构关系有本质不同,要复杂得多。例如,木材属多孔性复合材料,大孔隙如细胞腔和纹孔等,小如微纤丝间隙,水分很容易渗透进木材内部使其膨胀,引起尺寸变化,即木材的干缩湿胀性能。木材内部微观结构如图2.3b所示。更重要的是,木材为各向异性材料,各方向上随木材含水率变化而不均匀胀缩,易产生翘曲、变形、开裂等缺陷,如图2.3a所示。木材不稳定是因为它是“活”的,会受环境影响而变化,又因为各部分受到的影响变化反应不一样,因此会引发缺陷。在木制品设计过程中,为使木材变得“听话”,必不可少的是轻量化设计。
图2.3 木材各向异性结构分析
纤维缠绕是用于制造空心、圆形或棱柱形零件(如管道和储罐)加工的技术,其是通过专用卷绕机将连续纤维束卷绕到旋转芯轴上实现。纤维缠绕复合材料用于航空航天、车辆和能源等行业。纤维束通过输送系统送到缠绕机,在缠绕机上以预定设计缠绕到芯轴上。纤维与芯轴的相对角度(称为缠绕角度)可以调整,从而在所需方向上提供强度和刚度。当使用足够多的纤维层时,所得到的层压板在芯轴上固化。成品零件的总体尺寸和形状由芯轴形状和层压板厚度决定。缠绕角度将决定复合材料零件的机械物理性能(如强度、刚度和质量等)。复合材料层压板密度是由缠绕过程中纤维张力控制的。通过这些方法制造的复合材料零件具有良好的比强度-比模量特性。缠绕工艺中主要材料体系基体树脂:包括热固性树脂,如环氧树脂、聚酯、乙烯基酯、酚醛树脂;增强纤维:包括碳纤维、玻璃纤维等;纤维缠绕有两种不同形式:湿法和干法缠绕。在湿法缠绕中,纤维从粗纱上松开,并通过树脂浸渍,然后缠绕在规定方向的芯轴上。干法使用预浸渍形式的纤维,当达到设计层厚度时,组件在烘箱中固化。固化后,移除型芯或将其用作成品的一部分。在固化过程中,发生交联,从而形成三维纤维缠绕复合材料,如图2.4所示。
图2.4 三维纤维缠绕复合材料
一般各向异性三维复合材料,如图2.5所示,本构关系如下
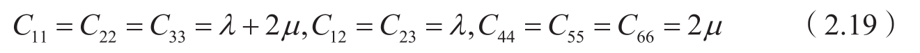
图2.5 一般各向异性结构
式中, C ij = C ji ,为刚度系数
式中, S ij = S ji ,为柔度系数
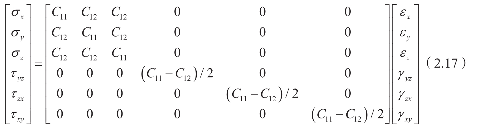
单对称三维复合材料含有一个弹性对称面,如图2.6所示,若考察与 z 轴有关的剪应力、剪应变,有:
图2.6 单对称三维复合材料
由对称面定义得
故解得:
基于刚度矩阵的本构关系
式中, C ij = C ji ,为刚度系数。
基于柔度矩阵的本构关系
式中, S ij = S ji ,为柔度系数。
注意:当 x 轴或 y 轴为弹性主轴时,对应不同的 C 刚度系数取0,故表达式不唯一。
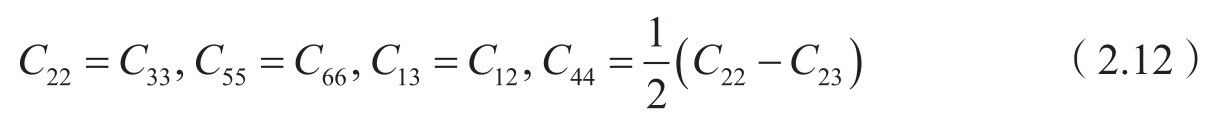
在单对称基础上,再增加与单对称面正交的一个对称面,同理可证,正交各向异性材料必然存在第三个对称面与这两个弹性对称面正交,即正交各向异性三维复合材料,如图2.7所示。
图2.7 正交各向异性三维复合材料
正交各向异性材料有三个互相正交的弹性对称面,根据本构理论,可得
故:
式中, C ij = C ji ,为刚度系数。
柔度矩阵:
式中, S ij = S ji ,为柔度系数。
选取不同的两个弹性主轴,得到相同表达式。说明当存在两个弹性正交对称面时,一定有第三个弹性对称面。这里需要说明,正交各向异性材料是复合材料轻量化设计关键材料。
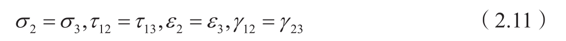
若经过弹性体的每一点都有一个平面,在这个平面内的所有方向弹性特性均相等,则该弹性体称为横观各向同性体,该平面称为各向同性面。在不同坐标系下的横观各向同性三维材料如图2.8所示。
图2.8 横观各向同性三维材料
横观各向同性材料含有一个各向同性面,若 YOZ 面为各向同性面。
则:
得:
刚度矩阵:
柔度矩阵:
换一个各向同性的弹性对称面,刚度矩阵为
柔度矩阵:
选取不同的各向同性面, C 的取值也不同,所以表达式不唯一。同理,对 S 也是一样。
各向同性材料三维模型如图2.9所示。下面分析各向同性材料的本构关系。
图2.9 各向同性材料三维模型
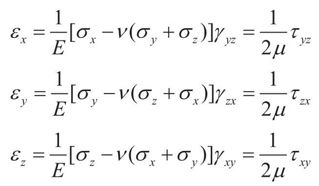
各向同性材料的应力应变关系为
由
得
刚度矩阵:
讨论内容:请考虑这里的 μ 是否代表弹性剪应变?即如果要写成工程剪应变,是否应该把2 μ 改为 μ ?
柔度矩阵
各向同性材料本构关系表达式唯一。
【例2.1】试求某些纤维增强复合材料比强度与比模量,已知这些材料基本性质测定数据为:
解:方法一,比强度计算公式为:
,比模量计算公式为:
,为方便计算,取
g
=10m/s
2
,
材料Ⅰ:比强度为
比模量为
同理,材料Ⅱ,比强度为7.63×10 5 m,比模量为9.02×10 6 m
材料Ⅲ,比强度为6.95×10 5 m,比模量为7.63×10 6 m
方法二,比强度为拉伸强度-密度之比;比模量为弹性模量-密度之比。
讨论:以上哪个方法及结果更加准确?请计算与分析。
【例2.2】用应变能密度
,证明广义胡克定律的刚度系数对称性,即
C
ij
=
C
ji
。
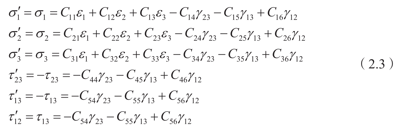
证明:广义胡克定律, ε= ( ε 1 ε 2 … ε 6 ) T , σ= ( σ 1 σ 2 … σ 6 ) T ,有 σ=Cε 或 σ i =C ij ε j i , j= 1,2,3,…,6;
对于等温条件下的完全弹性体,其体内的应变势能为
式中,
w
为应变能密度,
。
把广义胡克定律代入上式得:
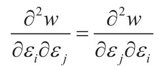
即应变能密度是应变分量的二次函数,对两边取偏导数为
又因为对弹性体采用了连续介质假设,故应变能密度 w 是应变分量的 n 次连续可微函数,由数学分析的结论便有
即 C ij = C ji
因而一般各向异性有21个独立的材料参数。[(36-6)/2+6=21]。
【例2.3】试证:各向同性体的泊松比的范围为-1< v <0.5。
证明:
方法1 各向同性弹性体应力应变关系
将上式写成矩阵形式
此式可简记为 ε = D -1 σ
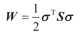
由于应变能
且
W
是正定二次型,所以
D
和
D
1
都是正定矩阵,其逐级主子式皆大于0。
由
,
所以2 v -1<0⇒ v <0.5
又由
,所以-1<
v
<0.5,得证。
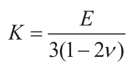
方法2 对各向同性体,剪切模量为
体积模量为
由于
G
和
E
都为正,由
与
E
>0,得
ν>-1
,同理,由
与
E
>0,得
ν
<0.5,各向同性体的泊松比范围为-1
<ν<
0.5。
【例2.4】求证横观各向同性材料泊松比的限制条件
,式中,
E
、
ν
为各向同性面(102面)的弹性模量和泊松比,
ν
31
=
ν
32
=
ν′
,
E
3
=
E′
。
解:
方法一 已知应变能密度表达式
,根据热力学第一定律,应力做功的总和必为正值,因此
C
和
S
是正定矩阵。因此,
S
的对角元素须是正值,即
S
11
,
S
22
,
S
33
,
S
44
,
S
55
,
S
66
>0,各向异性材料的弹性常数与柔度系数关系为
可得: E 1 , E 2 , E 3 , G 23 , G 31 , G 12 >0。
因正定矩阵行列式必须为正,得到
由于 E 1 , E 2 , E 3 >0,只需1 -ν 12 ν 21 -ν 13 ν 31 -ν 23 ν 32 -2 ν 12 ν 23 ν 31 > 0(*)
由横观各向同性性质得:
由
S
的对称性质:
将上述性质代入(*)式,得到:
,设
,可看出
x
>0,由不等式
2(
x>
0)可知
即
,
ν
的范围为-1<
ν
<
。
方法二:横观各向同性材料的本构关系如下
引入广义的弹性模量 E i 、泊松比 ν ij 和剪切模量 G ij 可得
将式(2.23)代入式(2.22)得到柔度矩阵为
弹性体的应变能 W 可表示为
由于能量是一个恒为正的标量,柔度矩阵 S 为正定矩阵,其顺序主子式应都大于零。
于是可得
由式(2.24)~式(2.27)可确定 ν 的范围为
各种材料刚度系数比较与正轴、偏轴及一般坐标系,如表2.1和图2.10所示。讨论:请分析复合材料三维一次结构向二维一次结构转化的简化几何模型,如图2.11所示,可否成立。
表2.1 各种材料刚度系数比较
图2.10 正轴、偏轴及一般坐标系
图2.11 复合材料三维一次结构与二维一次结构转化的简化几何模型