



主销(Kingpin)是车轮转向时围绕的轴线,也称为“转向主销”。对于不同的悬架结构,主销轴线的定义方式有所不同。对双叉臂悬架而言,主销由上球铰和下球铰定义;对麦弗逊悬架而言,主销由上端弹性安装中心(Topmount)和下球铰定义;对虚铰悬架而言,主销则由虚铰的实时位置定义。转向主销几何包括主销内倾角、后倾角以及与之相关的四个长度指标。这六个指标是悬架设计时首先要确定的参数。
前视图里的主销角度称为“主销内倾角”(Kingpin Inclination Angle),上端向内为正(图3.20)。主轴长度是前视图中车轮中心与主销之间的横向距离,轮心在主轴与转向主销交叉点之外时主轴长度定义为正。摩擦半径定义为轮胎接地印迹中心和主销与地面交点之间的横向距离。当主销与地面交点位于车轮中心内侧时,摩擦半径定义为正。当主销内倾角、主轴长度和摩擦半径中任意两个量确定后,则第三个量唯一确定。转向时主销内倾角产生外胎负外倾,对前轴来说会降低不足转向度。
图3.20 前视图中主销内倾角、主轴长度和摩擦半径的定义
主轴长度是驱动力矩和纵向力作用在转向系统上绕转向主销的力矩臂。主轴长度力矩臂对由轮胎不均匀导致的平滑路抖动和扭矩转向具有放大效果,主轴长度不仅影响输入到系统的激振力,而且也是影响系统模态特征的关键参数 [2] 。减小主轴长度有助于减小加速扭矩转向、平滑路抖动和轮胎包络。
摩擦半径是制动力绕转向主销的力臂。对于给定的Topmount或上球铰侧向位置,下球铰侧向布置位置直接决定最小的主轴长度和能否实现负摩擦半径。车轮、制动钳和制动盘的横向位置约束了下球铰侧向布置位置,从而限制了能够实现的最小主轴长度。
传动半轴的外球铰在布置上必须靠近主销轴,以最大限度地减少转向时球铰侧向窜动。任何球铰的侧向窜动都会对传动和行驶平顺性产生负面影响。
转向主销几何由上下球铰的位置决定。上下球铰的垂向和侧向位置由一系列设计约束给出大致的范围,再通过详细设计以满足运动和性能要求,最后确定具体位置。
下球铰的垂向位置由离地间隙决定的内衬套高度和侧倾运动中心高决定的摆臂角确定,通常应尽可能高,以提高离地间隙,但会受到驱动轴外球铰外壳布置的限制。下球铰的侧向位置需要尽可能外移,这需要将制动卡钳尽可能外移,使之与轮辋之间的间隙最小。但下球铰的外移量受制动盘位置的限制,如果距离太近,下球铰要承受来自制动盘的高温,因此有最小间隙要求(图3.21)。
上枢轴的垂向位置应尽可能高,以增加主销球铰跨度。主销球铰跨度是上枢轴和下枢轴之间的垂向距离。增加主销跨度有助于降低对零部件制造装配公差的敏感度,减小控制臂和连杆组件的负荷,从而可以使用较轻的部件,以实现更低的簧下质量和更好的行驶平顺性。增加主销跨度也可以减小侧向力外倾从而改善操纵稳定性。上枢轴的垂向位置受麦弗逊悬架的上端弹性安装中心或双叉臂悬架的衬套垂向布置位置的限制。运动型车为了降低重心高度,驾驶员H点高度必须降低,为不影响视线,发动机舱盖也必须降低,因此,要求麦弗逊悬架的塔座必须降低。
图3.21 麦弗逊悬架侧向布置需要考虑的因素
图3.22 轮辋安装偏移距定义
从性能要求出发,在给定下球铰位置的前提下,上枢轴的横向位置由主轴长度和摩擦半径要求决定。主销内倾角由此确定。在布置上,上枢轴的内侧横向位置受拉伸行程螺旋弹簧和车身纵梁之间的距离限制,外侧受轮胎与减振柱管间隙限制。
因为主轴长度是前视图中车轮中心与主销之间的横向距离,在主销内倾角确定后,减小轮心与主销之间的横向距离可以减小主轴长度,同时还可能将摩擦半径向负的方向变化。通过轮辋安装平面偏移可以实现这一点。轮辋安装的偏移距定义为从轮辋安装平面到车轮中心面的距离。正偏移为车轮安装平面位于车轮中心面的外侧(图3.22)。能够实现的偏移由车轮设计和制动钳、制动盘的横向位置决定。正偏移(即车轮内移)可减小主轴长度和悬架部件载荷。负偏移(即车轮外移)可以增加挡泥板等之间的布置间隙,增加轮距以提升侧翻稳定性,但同时主轴长度和悬架部件载荷都会增加。
主销后倾角(Caster Angle)是侧视转向主销和垂直坐标轴之间的夹角。转向主销顶部向后倾斜定义为正后倾角。设计状态的后倾角定义为转向主销和设计参考坐标系的关系,实车相对于地面的主销后倾角与车身纵倾角有关,可能与设计状态不同。在转向时正后倾角在外侧车轮产生有益的负外倾角,另外外侧悬架被压缩,如果设计保证此时主销后倾角增加可以提供更好的回正性能和行驶稳定性。
后倾拖距是从转向主销与地面交点到车轮中心的纵向距离。交点位于车轮中心前方定义为正拖距。对前轴而言,正拖距产生不足转向效果,因此可以增加车辆稳定性。对后轴而言,负拖距,即交点位于车轮中心后方会产生不足转向效果,提高稳定性。
后倾偏移距是侧视图中转向主销到车轮中心的纵向距离。转向主销位于车轮中心前方时定义为正偏移距。当主销后倾角、后倾拖距和后倾偏移距中任意两个量确定后,第三个量唯一确定(图3.23)。当前轮为非驱动轮时,可利用正的后倾偏移在给定后倾角时增加后倾拖距,以提高直线稳定性和转弯回正性能。前驱车的后倾偏移距应尽可能小,以便最大限度地减少转向时传动半轴外球铰侧向窜动。
图3.23 侧视图中主销后倾角、后倾拖距和后倾偏移距的定义
对应于前悬架后倾的转向主销,后悬架的转向主销应该前倾,以便产生需要的不足转向趋势。对多连杆后悬架而言,虚拟转向主销的位置由硬点和连杆衬套共同决定,可能不够直观,但可以借助于多体动力学软件求解出来。
转向主销几何的设计原则是从大量的实践中总结出来的经验,并且可以很好地通过理论解释。在静止状态或低速大角度转向时,侧向载荷转移主要与转向主销几何参数有关,主销内倾角可以举升车身,主轴长度增加可增加举升量。根据势能最小原理,车身有降低的趋势以达到稳定状态,因此,主销内倾角与主轴长度相结合会产生大部分低速自回正力。主销后倾角和主轴长度相配合可以提升车身前内侧高度,降低车身前外侧高度,从而使车身产生扭转变形。主轴长度的增加可增加扭转变形量。车身的扭转变形以及相应的弹簧变形产生第二种低速自回正力。
高速转弯时回正力矩的主要来源是轮胎的侧向力和主销几何。主销后倾角产生后倾拖距,可以加大回正力矩,在高速直行时主销后倾角可以增加方向稳定性,从而提供更好的高速操稳路感,但相应地需要更高的转向助力。下面将讨论转向主销几何和转向回正力矩以及转向助力的关系。
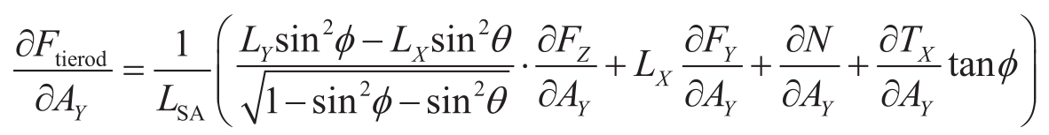
车辆匀速转弯行驶时,轮胎垂向载荷会发生横向转移,轮胎产生侧向力、回正力矩以及翻转力矩(Overturning Moment),所有这些都会通过转向主销几何产生转向回正力矩,并根据转向臂长转换为转向横拉杆载荷。单侧转向横拉杆载荷 F tierod 与以下五个悬架设计参数有关:侧视图转向臂长 L SA 、主销后倾角 ϕ 、后倾拖距 L X 、主销内倾角 θ 和摩擦力矩臂 L Y 。转向横拉杆载荷可以表达为:
式中, F Z 为轮胎垂向力; F Y 为轮胎侧向力; N 为轮胎回正力矩; T X 为轮胎翻转力矩。
增加主销后倾角、轮胎垂向力、侧向力、回转力矩或者降低转向臂长都会引起转向横拉杆载荷的增加。当转向主销几何对称时,如果转向盘角输入为零,则齿条上的净转向横拉杆载荷为零,车辆保持直行。转向主销几何不对称会产生非零的净转向横拉杆载荷,从而引起跑偏。
转向工况下,轮胎力的所有分量都和侧向加速度有关。在轮胎力的线性范围内施加在转向横拉杆上的载荷随侧向加速度的增加而增加。在中心区线性假定并忽略摩擦力的前提下,可以推出转向横拉杆载荷梯度
的表达式,影响因素包括轮胎特性(侧偏力系数和回正力矩系数)和横向载荷转移量。
转向横拉杆载荷梯度是施加在转向齿条上的净负载相对于侧向加速度的斜率(单位N/ g )。转向横拉杆载荷梯度与转向性能以及转向系统的设计和调校密切相关。载荷梯度太低则回正性不好,但如果太高则转向助力能耗增加。因此,应该定义转向横拉杆载荷梯度的合适范围,并以此指导转向主销几何设计。用户对作为转向性能重要指标的转向盘转向力矩梯度有一个期望的范围,在给定转向横拉杆载荷梯度的情况下,转向助力特性需要仔细标定,以便满足用户对恰如其分的转向手力的期望。
在低速大转角输入情况下,阿克曼修正不足产生的侧向力和有效转向臂长度的缩短共同作用可能会使转向横拉杆上的净载荷为负值。此时,车辆可能出现自转向趋势。有关自转向的详细讨论将在第3.5节展开。
如果制动时左右两侧轮胎与地面间的摩擦系数相同,且左右载荷对称,则摩擦半径不会影响制动稳定性。当上面任一条件不满足时,如摩擦系数不同或轮荷不同,则左右两侧的制动力不对称,摩擦半径会影响制动稳定性。当摩擦半径为正时,高摩擦系数或高制动摩擦力一侧本身就会产生加到车身的横摆力矩,而正摩擦半径会对转向主销形成附加的转向力矩,加到转向系统的净力矩加剧车身横摆引起跑偏,或制动时行车方向不稳定(图3.24)。当摩擦半径为负时,加到转向系统的净力矩与制动力本身加到车身的横摆力矩方向相反,因此可以减少制动跑偏(图3.25)。
图3.24 摩擦半径为正时会加剧制动跑偏
图3.25 摩擦半径为负时可以减少制动跑偏