



地面通信网络包括宏站同构网、低功率的有源基站/节点、无源节点(智能超表面)、终端直连/车联网等,宏站的高度一般不超过几十米,低功率有源基站/节点或者智能超表面的部署高度也不高于楼层建筑的顶部。与整体的覆盖面积相比,地面通信网络的结构是比较摊平的立体结构,尤其是宏站同构网情形。传统意义上的地面通信网络不包括水下通信网络或者地下通信网络,除非是由少量基站/节点构成的局域无线网络。随着无人机及其民用航空业务的迅猛发展,地面通信网络近年来也拓广到地面以上高度不超过400 m的空间区域。另外,对于一些航线服务的需求,地面通信网络可延伸到民航飞机的巡航高度(约10000 m)。但无论如何,在支持无人机或民航航线覆盖的网络中,基站或者节点还是部署在地面附近,只是终端/用户可以处于比较高的高度。
宏小区同构网是移动通信接入网最普遍的拓扑,源于蜂窝通信的最初概念,也是覆盖大片区域的最经济有效的方式。所谓同构,是指每个宏基站的发射功率相同,天线配置和增益相同,扇区的划分基本类似,所以覆盖半径大致相同。每个小区的形状近似正六边形,彼此能够很好地贴合相邻。
宏小区同构网部署的经济性体现在以下两个方面:①宏站通常是中低频段部署(目前最高是3.5 GHz,注:28 GHz尚不能达到网络的全域覆盖),再加上比较高的发射功率,如果仅从覆盖的角度,小区半径一般在200 m以上,典型的大概在500 m左右。半径与面积是平方关系,这使得覆盖整个地区所需要的基站数量远远小于其他拓扑类型的接入网。②同构网中的各个基站的配置和扇区划分基本相同,具有较强的一致性,当用户分布及业务流量的分布在地理上比较均衡时,同构宏网的网络优化相对容易,有比较通用的方法。设备可以采用相同的参数,使得软件和硬件的开发和维护有批量效应,大大降低了建设和运营维护的成本。当存在流量热点或者局部覆盖空洞时,则可以增加一些低功率基站/节点或智能反射面来增大网络容量和信号覆盖面积。
宏小区同构网之所以普遍部署,一方面是由于它的经济性,另一方面是因为它能有效地支持移动性管理。移动性是移动通信的基本功能之一,从第一代到第五代移动通信,期间有过不少适用于定点通信的技术被提出,但最终都被摒弃,一个重要原因是在移动性上的方案设计不成功。同构小区的正六边形形状保证了覆盖的连续性,当终端用户因为移动而跨越小区边界时,小区切换可以更加平滑。每个宏站的覆盖面积较大,这就使得在相同的移动性条件下,终端在移动过程中所经历的小区切换次数相比低功率基站/节点的要少很多,从而减少小区切换带来的各种开销,降低链路中断的可能性。也正是这个原因,用户终端的随机接入和移动性管理通常都是基于同构宏小区的。换句话讲,终端在大多数时候都是驻留于某个宏小区的,与网络进行周期性的信令交互,即使在没有数据业务发送/接收时,只是周期比较长而已。从这个意义上说,同构宏小区具有移动通信网络的基本功能,对同构宏网的连接可靠性和覆盖能力的要求一般是比较高的。
理想的同构网是无限延展的、没有边界,但在系统容量分析和仿真中,网络所含有的基站/扇区数目是有限的,这就带来一个问题,即处于网络边界的小区所受到的干扰明显少于网络中心的小区。早期的容量分析/仿真一般是简化处理,只统计中心小区的各种性能指标,但这样做会严重降低仿真评估的效率。为了比较全面、准确地对邻区干扰进行建模,必须仿真很多小区,把中心小区层层围住。要保证所统计的性能指标尽量反映全部可能的邻区干扰,就只能用中心小区的仿真结果,其他小区的仿真都是来“陪衬”模拟干扰信号的。
以上的系统仿真效率问题在第三代移动通信网络的研究过程中得到了有效的解决,如图3-2所示。真正进行仿真的是中间灰色部分,该区域一共有19个宏基站和若干个终端。以最中间的基站为中心,里圈有6个基站,外圈有12个基站。每个基站分为3个扇区,其天线朝向如图3-2中箭头所指。周围6块白色部分是对中间灰色仿真区域的翻卷复制,用于消除边界效应。具体地讲,在下行仿真时,将中间的19个基站(57个扇区)的瞬时发射功率复制到周围的114个基站上,终端受到的干扰不仅来自中间的19个基站,还来自周围的114个基站,这样就保证了终端在外圈靠边缘时仍能够像在中心时“看到”干扰。同理,在上行仿真时,将中间灰色区域的终端的位置和发射功率复制到周围区域,干扰的计算也包括所有区域的终端(对应OFDMA系统,则应除去本扇区里的终端)。由于消除了边界效应,19个基站和所服务的终端的仿真数据都可以收集、整理。在翻卷复制过程中,一般只需要计算信道大尺度参数,相对于没有翻卷复制情形所增加的运算量不大。图3-2所示的拓扑一直沿用到IMT-2020的同构网系统性能评估。
在实际网络及在系统仿真过程中,由于存在阴影衰落,对于终端,小区实际的边界不会像图3-2那样规则。阴影衰落的模型通常符合对数域上的正态分布,标准方差为5~12 dB,一般随着工作频带的增高略有增加,但并不随传播距离而有明显的变化。对于宏蜂窝环境,阴影衰落标准方差典型值为8 dB。考虑路损一般为80~130 dB,8 dB的阴影衰落标准方差会使小区形状不是严格规则的,尤其当小区覆盖半径较小时。
图3-2 用于系统仿真的同构网拓扑
为了更形象地理解同构宏站网络的拓扑,在表3-1中分两种比较典型的部署场景:乡村场景和密集城区场景,列举了一些重要的系统配置参数和常用的仿真参数及模型。可以看出,由于乡村场景的部署频段较低,宏基站的发射功率更大,基站天线高度更高等因素,其站间距远比密集城区的要大。尽管终端的地理分布都是均匀随机的,但乡村场景中的用户在室外的比例更高,且在室外多半是在高速公路上开车,移动速度为120 km/h。
表3-1 同构宏站网络的系统配置参数和常用的仿真参数及模型
所谓异构网络拓扑,是指在规则形状排布的宏网中,加入一些低功率的基站或者节点(Low Power Node,LPN)。相比宏站的覆盖面积,低功率节点的覆盖面积要小很多。正是宏小区和微小区在覆盖范围上的显著差别,使得整个混合网络的拓扑呈现异构。
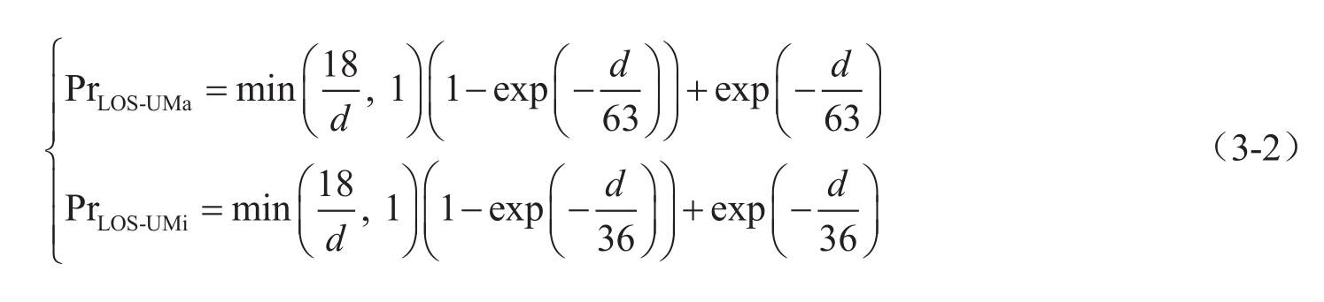
宏站与低功率节点在覆盖范围上的差别除了是因为发射功率和天线增益不同之外,还因为路径损耗(路损)的差别,即大尺度衰落的均值。地面通信的电磁传播环境通常分为视距(LOS)场景和非视距(NLOS)场景。因此,大尺度衰落的模型也分成视距(LOS)和非视距(NLOS)两种情形。图3-3显示了市区的两种天线高度(宏站UMa和低功率微站UMi)的路损与距离的曲线。其路损(PL)与传播距离( d ,单位为m)的关系如下:
从图3-3可以看出,非视距的路损比视距的路损要高很多,微站的路损明显高于宏站的路损。这其中的一个重要原因是基站天线高度的差别,宏站天线一般高25 m,而微站天线的高度在10 m左右。除了路损本身,视距传播的发生概率也十分重要。离基站愈远,视距传播的可能性愈小。通常发生视距传播的概率与距离的关系建模成指数递减函数,其中的指数参数随场景不同而有差别。在同样的距离下,基站天线较高的,其视距传播的概率也较高。
图3-3 UMa(25m天线高度)和UMi(10m天线高度)场景的路损与传播距离的曲线 [1]
结合视距传输的概率,可以把视距情形下的路径损耗与非视距下的路径损耗在分贝(dB)域上线性加权,得出图3-3中的混合后(comb)的路损函数,用粗线表示。可以看到,在靠近基站时,路损呈现视距传输的特点。当终端远离基站时,路损更呈现非视距传输的特点。尽管低功率节点路损大,但通过更密集的部署,可以在其小范围覆盖面积内提高终端的信干燥比(SINR)。图3-4为低功率节点在小区边缘的等角度规则部署。
图3-4 低功率节点(LPN)在小区边缘的规则部署
对于由宏站和低功率节点组成的异构网,宏站和低功率节点的频点分配有两种方式。
(1)同频部署:宏站与低功率节点共用同样的频段,往往是较低的频点。这种部署的优点是不用另外分配频段,终端只需在一个频段上工作,可以降低终端的成本和功耗,频谱资源的利用率较高;缺点是宏站与低功率节点之间存在同频干扰,网络优化相对复杂。通常情况下,低频段的带宽不大,低功率节点即使希望对周围近距离的用户进行热点增强,也会因为带宽的限制而无法完全发挥近距离通信的优势。
宏站的发射功率比低功率节点的发射功率高许多,一般会有一个数量级的差别(如46 dBm相比33 dBm)。同频部署时,如果采用同构宏站的小区搜寻接入的参数,如同样的RSRP,则会使得低功率节点的小区半径过小,并与上行的情形不大相符。注意,对于异构网的上行,宏站与低功率节点的差别主要是接收天线的增益和传播信道的路径损耗发射功率没有差别。为了使低功率节点的下行和上行的覆盖半径更加匹配,可以采用对低功率节点的RSRP加偏置的方法,终端在选择低功率小区时会在RSRP上增加一个偏置,Serving Cell=argmax i (RSRP i, dB + Bias i, dB )。这样可以使小区范围扩展。因为能够扩大低功率节点的覆盖范围,所以这种方法也称Cell Range Expansion(CRE)。图3-5给出了用和不用CRE的差异。当然,RSRP加偏置的方法使得低功率节点小区边缘受到更加严重的来自宏站的下行干扰,需要一些干扰抑制或协调的方法来改善。
图3-5 同频异构网的小区范围扩展(Cell Range Expansion,CRE)
(2)异频部署:宏站一般采用较低的频段和较窄的系统带宽,而低功率节点采用较高的频段和较宽的传输带宽。异频部署的优点是能够充分发挥低功率节点的热点增强作用,在较小的覆盖范围满足较高的数据吞吐量需求;另外,宏站与低功率节点之间没有同频干扰,小区的网络优化相对容易。但是该部署的缺点也是很明显的。首先,异频部署要求终端具有两套射频通道,成本和功耗大大提高。其次,终端必须支持载波聚合,通过接入宏站的较低频段,完成移动性管理,包括小区切换(只有跨越宏小区边界才切换),再通过较高频段的大带宽与低功率节点进行数据传输。另外,运营商需要同时使用两个频段,总的频谱利用率很可能不如同频部署的利用率高。
低功率节点的部署除了图3-4中的规则部署之外,还可以随机或者根据实际地理需要部署,如图3-6所示的低功率节点在7个宏站(21个宏扇区)内随机部署,也是3GPP研究中常用的部署假设。
图3-6 低功率节点在宏小区内的随机部署 [1]
注:LPN—低功率节点;Macro UE—宏站所服务的终端;LPE UE—低功率节点服务的终端
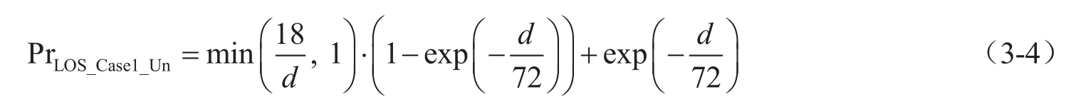
低功率节点(如Micro和Pico节点)通常以有线方式与网络相连。另一种节点是无线中继,此类节点通过无线回传链路与宏站,即宿主基站(Donor eNB)相连。中继的天线高度大概在5 m左右,比一般终端的1.5 m要高很多,因此传播环境通常优于宏站到终端的链路。图3-7是无线回传链路的路损模型,包括视距情况(LOS)和非视距情况(NLOS)及混合的平均曲线,路损(PL)与距离( d ,单位为m)的关系如下。
PL
LOS_Case1_Un
=30.2+23.5lg
d
PL
NLOS_Case1_Un
=16.3+36.3lg
d
(3-3)
LOS的概率为
按照式(3-3)的比例将LOS路损和NLOS路损按照式(3-4)中的Los概率混合,即图3-7中的粗黑线方块线。图3-7还显示了经过部署位置优化后的中继回传链路的路损。部署的位置优化带来两个方面的增益:①提高视距传播的概率,如1-(1- Pr) 3 ;②降低非视距情况下的路径损耗,直接降低5 dB。注意,路损的减少是针对服务宏站的,相邻小区的宏站到中继的路损并不因为优化部署而减少,所以这样的处理和建模对降低邻区干扰十分有利。
以上的低功率节点多数是部署在室外的。在另外一些情况下,可以将低功率节点部署在室内,构成室内热点,如家庭基站(Femto节点)。两种模型可以用来模拟Femto节点的实际应用场景。
图3-7 无线回传链路(25m高宏站天线,5m高中继天线)的路损模型 [1]
注:Un LOS—回传链路LOS路损;Un NLOS—回传链路NLOS路损;Un comb—回传链路路损混合;Un cromb,Opt—回传链路路损混合且优化站址
(1)双条(Dual strip)模型。每个街区有两排公寓,如图3-8所示。每排有2 N ( N =10)个公寓。每所公寓的面积是10 m 2 。在两排公寓之间有一条宽度为10 m的街道。为了保证不同街区的Femto节点彼此不会太靠近,两排公寓的外沿各留出10 m,所以每个街区的大小是10×( N +2) m长,70 m宽。在每个宏小区覆盖范围内,随机分布着1个或多个这样的热点街区。系统仿真中还需假设这些热点街区彼此没有交叠。每个街区有 L 层, L 在1~10之间随机选取。这就意味着当有多个热点街区时,每个热点街区可以层数不同。在实际情况中,并非每所公寓都有一个Femto节点,具体情形取决于占用比例。如果占用比例为0.2,则表示平均每层有0.2×40 = 8个Femto节点,每个街区共有8 L 个Femto节点。另一个参数为激活比例,表示激活的Femto节点的百分比。如果家庭基站是激活的,则会以合适的功率在业务信道发射,否则只发射控制信道。激活比例为0~100%。
图3-8 Femto节点的双条(Dual-strip)街区公寓模型
(2)5×5 grid模型:每一个grid是10 m 2 ,一共有25个,组成一个方阵。
图3-9是一个双条模型的Femto节点与宏站构成的异构网。Femto街区在宏小区内的分布是均匀随机的。用户的分布也是均匀随机的。可以看出,由于电磁波的穿墙损耗等,如表3-2所列,即使是同频部署,宏站对Femto节点的干扰较小,室内用户绝大多数由Femto节点服务,只有很少数的室内用户选择宏站为服务小区。
图3-9 Macro-Femto场景下的用户分布双条模型 [1]
表3-2 通常建筑材料的穿透损耗
注: f 是载波频率,单位是GHz。
类似Femto节点的室内部署,其传输距离较短,一般在几米以内,且多数是视距传输,没有墙体和家具等的阻挡,终端的移动速度较慢,十分适合超高频段通信,如太赫兹和可见光通信。
如果是异频部署或者虽然是同频部署,但建筑墙体穿透损耗很高,这样的室内低功率节点可以构成相对隔绝的局域网络,不受宏站信号的干扰。室内工厂就是这样一种典型部署,主要的几何拓扑参数如表3-3所列 [2] ,室内工厂的基站示意图如图3-10所示。
表3-3 室内工厂场景的参数
图3-10 室内工厂的基站示意图
注: W —宽度; D —间距; L —长度。
由无源器件,如智能超表面(RIS)构成的节点可以作为中继,用于扩大网络覆盖范围和提高系统吞吐量。无源器件本身没有功率放大作用,只是反射或透射从宏站或者终端发来的电磁波,因此其部署与同频的无线中继比较类似。图3-11是一个智能超表面随机部署在宏小区边缘,服务边缘小区用户的例子。无源节点因为自身的一些特性,与无线中继的部署有一些细节差别,这些将在本书的6.2节中描述。
图3-11 无源节点(如智能超表面中继)在宏小区边缘部署的示例
终端直连是指终端之间在相距不是很远的情况下,可以不通过移动网络,而直接相互进行无线数据的收发。所谓的不通过移动网络有两层含义:①第一层是指移动网络不参与无线数据的转发(如从发送终端到其所属的基站,再到核心网,再到接收终端所属的基站,最后到接收终端,都属于无线数据转发),但是网络对直连链路的通信具有控制权,体现在资源分配/调度、功率控制、用户配对等方面,此类的终端直连仍然处于移动网络的覆盖之下,是网络可控、可管的;②第二层的终端直连可以完全脱离移动网络,在没有网络覆盖的情形下仍然可以工作。此时直连链路的传输可以是完全自主或竞争式的,或者是在终端群组中推选出一个/几个控制终端,负责协调直连链路的数据传输。
终端直连在有网络覆盖时的几何拓扑与前面所述的宏站同构网、宏站+低功率节点的异构网类似,主要差别在于终端之间的路径损耗模型。由于室外终端的高度一般在1.5 m左右,远远低于基站(无论是宏站还是低功率节点)的天线高度,终端之间的无线传播信道有更大概率的NLOS,路径损耗远高于基站与终端的链路,对于室外高度较低的天线,ITU-1411模型是一个比较常用的路损模型,尤其适合收发两端天线在1.9~3 m的高度,与终端直连通信的场景比较匹配,其数学表达式如下。
注意, f 的单位为MHz。
ITU-1411模型如图3-12所示。可以看出,当两个终端的距离在44 m以内,路损情形与低功率节点到终端的链路类似,但当距离超过44 m之后,路损迅速增大;大于64 m之后,路损超过120 dB,基本上难以保证一般的通信质量要求。也正是这个原因,终端直连通信也被称为近距离服务,强调场景中相互通信的用户距离大多在50 m范围内。
图3-12 ITU-1411模型(适合收发两端天线高度在1.9~3m范围)
当用户处于网络覆盖范围之外时,前面所述的同构宏网或者低功率节点异构网络拓扑就不存在了。此类场景通常对应于社会应急、自然灾害、公安、消防等突发事件,用户所用的终端多数是专用定制的,具有比普通民用终端更高的发射功率,支持的业务多是组播和广播类型的。在突发情形下,局部地区的这种特殊用户的数量和密度可能很高,虽然终端不一定都同时发送信息或者讲话,但多数还是处于接听状态的。这种情况下的系统仿真,无论是终端之间的相互发现或者彼此的直连通信,只需定义一个发射用户,其他周围的用户处于接收状态。终端直连系统仿真中的终端分布如图3-13所示。
终端直连与车联网的关系密切,终端直连是车联网的基础,因为车与车之间可以通过终端直连的方式直接通信,能够降低时延,更好地满足安全交通的要求,即在极短时间内进行预警提示和事故规避。车联网是终端直连的重要应用,为终端直连技术的推广发挥了重要作用,积累了大量的宝贵经验。需要指出的是,车联网是既可以在有网络覆盖的情形下工作,也可以不依赖于移动网络。这两种场景也催生出不同的解决方案和标准协议体系。其中不依赖于移动网络的方案是基于免授权频段的IEEE 802.11p协议,终端与终端之间完全平等,采用竞争式的接入和通信方式。依赖移动网络的方案有LTE V2X和5G NR V2X,其网络拓扑与前面所述的同构宏网或者有低功率节点的异构网类似,但增加了一些专门适用于车与车通信的场景设置。两种比较典型的场景如下。
图3-13 终端直连系统仿真中的终端分布(可以不依赖移动通信网络而独立运行)
注:中心处为发射用户,周围都是接收用户。
· 城区网格式街道,如图3-14所示,在多个小区构成的一片城区中,街道呈规则网格状,车辆在这些网状的街道上行驶。为使外圈小区所受到的邻区干扰与中心小区的类似,采用翻卷复制,如中部白色的小区簇和周围6个不同颜色的小区簇。注意,这里的六边形小区拓扑的翻卷复制要保证街道网格的连续性,不难发现,只要小区簇的中心与网格节点重合,翻卷复制就能够保证街道网格的连续性,网格的最大长度和最大宽度分别为站间距的
和1/2。如图3-15所示,城区街道一般假设有4条车道,每个方向有两条车道,道路的总宽度为14m,每条车道的宽度为3.5m,车速可以是15km/h或者60km/h。在网格节点(十字交叉路口)有交通信号灯。在图3-15中,街边还部署了一些低功率的专门服务车联网的节点,被称为路边服务单元(Roadside Service Unit,RSU),组成基于异构网的车联网。为方便系统性能评估,每次仿真中的车辆行驶速度都假设相同,网络中的车辆密度也处处相同。在同一条车道,前车与后车的平均距离等于2.5秒乘以车的行驶速度。
· 高速公路,如图3-16所示,当高速公路穿过小区簇的中心时,在翻卷复制的过程中,高速公路能够保持连续和方向不变。高速公路一般假设有6条车道,每个方向有3条车道,每条车道的宽度可以是3.5m(如图3-17所示)或者是4m,仿真中的高速公路长度至少有2000m。车辆行驶速度假设为70km/h或者140km/h。每次仿真中的车速假设相同,车辆密度也处处相同。在同一条车道,前车与后车的平均距离等于2.5秒乘以车的行驶速度。在图3-17中,高速路边还部署了一些RSU。
图3-14 城区网格式街道的拓扑(网格的最大长度、宽度分别满足
和1/2倍站间距的关系)
[3]
图3-15 城区网格式街道的一个街区(含RSU) [3]
图3-16 车联网仿真中的高速公路与同构宏网小区
图3-17 高速公路的车辆分布(含RSU)
随着业务的发展,地面移动网络能够支持更多的特殊应用,所服务的用户不再局限于地面或者楼宇之中,可以拓展至民用无人机或者航线飞机。无人机的飞行高度一般在400 m以下,可以有两种方式组网:①无人机自己组成网络,每架无人机可以成为一个节点,类似终端直连,而部分无人机与地面移动网络保持联系;②无人机只是一个终端,仍然需要依托地面移动网络。
许多民用无人机工作在第二种模式下。为了尽量减少对传统用户的业务影响,基站天线的下倾角通常不做调整。因此,从无线网络拓扑的角度,前面介绍的同构宏网、低功率节点的异构网能够支持无人机的通信业务,但是无人机毕竟是在空中飞行的,它与基站通信的信道模型跟基站到地面终端的信道模型有相当大的差别,这就使得无人机终端实际感受到的小区边界与地面上规则的六边形小区有很大不同。
无人机通信传播信道的最大特点是路径损耗较小,这体现在较高概率的视距传输上,如图3-18所示。
图3-18 无人机与地面基站传播信道的视距传输概率 [4]
从图3-18看出,随着无人机飞行高度的增加,从23 m到200 m,无线电波视距传输的可能性越大。例如,当无人机与地面基站的水平距离为500 m(一般基站的覆盖半径)时,如果无人机的高度是23 m,则只有约2%的可能性是视距传输;但如果无人机的高度是120 m,则有约50%的可能性是视距传输;如果再高一点,如200 m,则80%的可能性是视距传输。这就意味着,即使基站天线方向不做向上的倾斜,当无人机上升至一定高度时,它将受到来自周围多个地面基站的严重干扰。图3-19是同构宏站网络情形下,无人机在不同飞行高度的下行宽带信干燥比(SINR)的累计概率密度(CDF)比较。与最右边的地面用户的SINR的CDF相比,随着无人机高度的增加,邻区干扰也随之增加,SINR逐渐恶化。当飞行高度为400 m时,绝大多数无人机的SINR达不到5 dB。相比之下,地面用户或者室内用户将近有一半的SINR超过5 dB。
无人机空中飞行的视距传输所造成的小区间干扰使得无人机的小区归属/接入变得十分复杂,而且不同飞行高度的情形也不相同,如图3-20所示。
图3-19 无人机在不同飞行高度的下行宽带信干燥比(SINR)的CDF比较 [5]
图3-20 无人机的小区归属与地面用户小区归属的差别 [5]
图3-20(a)是地面用户在一个基站覆盖区域中的密度分布。可以明显看出,越是靠近基站的地面用户,它们由本小区基站服务的概率越大,密度也越高。随着与基站的水平距离增大,信号功率逐渐降低,邻区基站的干扰逐渐增大,由本基站服务的概率单调下降,密度逐渐降低。这个趋势符合地面移动网络的基本特征。但是对于飞行高度为200 m的无人机,如图3-20(b)所示,邻区基站的强干扰使得信干燥比与基站水平距离的变化曲线不再单调减小,而是存在一些波动和反复,即稍微远离本基站的无人机的信干燥比有时反而会更高,从而更有可能由本基站服务。如果无人机高度升到400 m,接入本基站的用户有可能远在两层外的邻近基站小区内,而且几何分布上有明显的波动,如图3-20(c)所示。