



根据《中国肿瘤登记工作指导手册》和国际癌症研究中心(International Agency for Research on Cancer,IARC)/国际癌症登记协会(International Association of Cancer Registries,IACR)对肿瘤登记质量的有关要求,数据质量考核的主要指标可分为评价完整性、有效性和时效性的指标。
一、评价完整性的指标
完整性是登记数据的重要属性。在实际中,项目医院很难能达到理想的100%完整,不完整性几乎不可避免,但需达到一定标准。当数据达到最大完整性时,说明越接近研究对象整体的真实情况。因此完整性是肿瘤监测质量控制过程中的重要部分。
1. 上报数与病案系统数的比例。以医院为基础肿瘤登记无法获得全人群数据,因此,检验项目医院的上报数据完整性的第一个指标为项目医院肿瘤登记例数和医院电子病历提供的肿瘤病例总数之比,该比例应超过95%,若比例较低,则提示该医院肿瘤登记数漏报较多,完整性较差。
2. 形态学诊断确认(Morphology verification,MV)的比例。形态学诊断确认的比例是根据组织标本的显微镜验证诊断出的病例百分比。包括组织学确诊病例(Histological verification,HV)、细胞学诊断病例和血液学检查(未经骨髓检查)确诊的白血病病例。MV的比例一般介于66%~95%之间。MV的比例并非越高越好,较高比例的形态学诊断病例,是由过多依赖于病理学实验室作为信息来源的病例发现的过程引起,而通过其他途径诊断的病例就会漏掉。因此非常高的MV比例提示上报数据存在漏报问题。
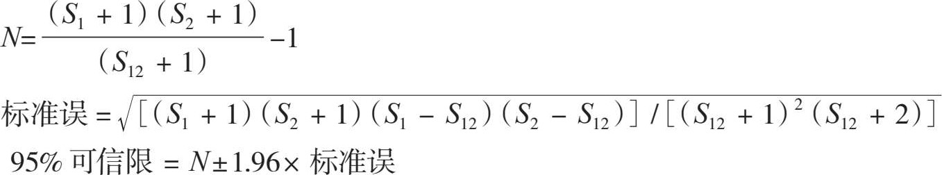
3. 俘获-再俘获方法(Capture-recapture,CR)估计漏报。CR是利用两个或两个以上独立来源的样本资料,按照相互独立事件几率相乘原理,对一总体作出总数的估计。公式如下:
公式里, S 1 可看作是用一种方法收集到的病例数, S 2 为另一种方法收集到的病例数, S 12 为两个名单中均有相同病例的人数, N 为总病例估计数。用总病例估计数除以相应的高危人数,即可算得总估校正患病率(查出率)。
例如2021年从某地区A医院上报64例肺癌病例(病例信息“第一来源”),该地区B医院上报23例肺癌病例(病例信息“第二来源”),其中共同病人18例。按照公式: S 1 = 64, S 2 = 23, S 12 = 18,计算得到 N = 81,95%置信区间为67~95。两来源合并后,去除共同部分,A医院肺癌病例共69例(64+23-18),合并后的该地区肿瘤病人总查出率为= 69/81 = 85.2%,漏报率为14.8%。
二、评价有效性的指标
有效性是指登记记录中具有给定特征(例如肿瘤部位、年龄、性别、诊断、编码)的真正属性的病例所占的比例。常用的指标:MV%、DCO%、原发部位不详或未特指的病例所占百分比(Other and Unspecified,O&U%)、年龄不明所占百分比和内部一致性等。
1. 形态学诊断确认的比例(MV%)。基于形态学或镜检方法作出诊断的登记病例的百分比,可同时用于评价有效性和完整性。MV%提示患者诊断依据的可靠程度,类似地,“DCO”提示未作形态学检查,也可用于评价肿瘤登记的有效性。通常MV%的计算是用所有登记病例作为分母,分母中包括DCO病例(根据定义,其不可能有形态学诊断依据)。因此,较高比例的DCO病例会引起较低的MV%。值得注意的是,MV%可因原发肿瘤的部位而异,对于乳腺癌、宫颈癌、食管癌等容易得到组织学诊断的肿瘤,其MV%较高;对于肝癌、肺癌等肿瘤,MV%常常较低。MV%也受登记地区诊疗水平的影响。
2. 原发部位不详或未特指的病例所占百分比(O&U%),以及年龄不明所占百分比。肿瘤登记资料的准确性不仅受错误资料的影响,而且受遗漏资料的影响。医院总会有一些记录为“不详”的项目。对于必需的/基本的项目,不详的百分比应当尽可能接近“0”。监测遗漏信息常用的两个指标为原发部位不详或未特指的病例占登记病例的百分比,以及年龄不明所占的百分比。
其中,C26表示其他和不明确的消化器官恶性肿瘤;C39表示呼吸和胸腔内器官恶性肿瘤;C48表示腹膜后和腹膜恶性肿瘤;C76~C80表示不明确、继发和未特指部位恶性肿瘤;C97表示独立的多个部位原发恶性肿瘤。
O&U%指标高,提示登记资料质量差,反映患者可能未得到良好的诊治或填写报告草率等。
3. 再摘录与再编码。再摘录与再编码是评价有效性最客观的方法,一般由另一个观察者对医院记录与相关病例文件间进行仔细比较。再摘录与再编码目的是找出原文件与资料收集中的问题所在,估计原先摘录的资料与再摘录资料间或不同摘录者间的符合率,有关检查资料的精确性,使医疗信息的解释、摘录与编码规则标准化。常规病例的再摘录通常由质控人员进行,再摘录时不应对照原来的摘录。再摘录的资料项目取决于医院的目的,一般与发病率估计有关,如原发部位、组织学、行为、诊断依据等。医院应对收到的报告资料立即进行检查,因为此时医院的原始记录比较容易获得,任何错误和遗漏通常能及时得到纠正。
4. 内部一致性。内部一致性可以使用IARCcrgTools软件,对提交的数据集执行一致性检查。
三、资料的及时性
及时性是指患者资料收集是否及时,人群肿瘤登记资料一般滞后3年,而医院肿瘤登记应不超过3个月,当年的资料应在次年第一季度统计分析,否则将达不到登记的目的。
四、资料的可比性
可比性是指肿瘤患者诊断和治疗的定义及标准是否相同,是否可比和标准化。有关疾病诊断和治疗的定义及标准应根据ICD-10或ICD-O-3编码标准化,疾病分期应根据美国癌症联合委员会(American Joint Committee on Cancer,AJCC)国际标准或国内标准进行分期。
为保证和不断提高各医疗单位肿瘤病例报告的质量,肿瘤登记处除与报告单位的负责部门和工作人员保持密切联系,随时解决报告中发生的问题外,还必须定期(每半年或每季度一次)对报告单位的工作质量(是否漏报,数据是否完整等)进行全面的检查。每年至少召开一次全市肿瘤登记工作总结会议,交流经验,提出和解决存在的问题,以提高登记的技术和水平。