



消费者同时消费农产品和差异化的制造业产品,其消费函数的形式如下:
U
=
其中, C M 表示消费者对制造业产品的消费组合, C A 表示消费者对农产品的消费, μ 和1- μ 分别代表消费者在制造业产品和农产品上的支出份额。由于制造业产品是多样化的异质产品,消费者对其的消费是对某种制造业产品组合的消费,它的消费函数是不变替代弹性的, σ 表示不同制造业产品之间相对不变的消费替代弹性,其大小满足0< μ <1< σ 。 c i 则是消费者对制造业产品消费组合中第 i 种制造业产品的消费数量。
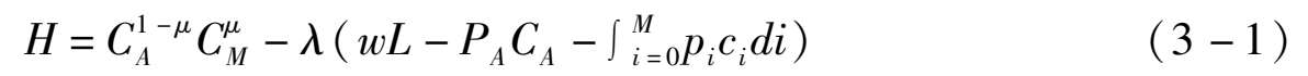
首先考虑如下形式的本国消费者效用最大化问题:
其中, P A 和 p i 分别表示农产品和第 i 种制造业产品的价格, E 为居民全部要素收入。为了求解上式,建立拉格郎日函数如(3-1)式:
求解 c i 的最优一阶条件,可得:
同理,求解 c j 的最优一阶条件可以得到:
由(3-2)式和(3-3)式,可得:
即:
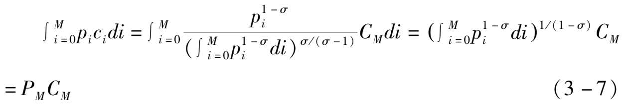
将 C M 的表达式代入(3-5)式,可得:
将其代入制造业产品的总支出函数,并整理可得:
其中,
PM
=
,反映了制造业产品的价格指数。将其代入(3-6)式,可以得到制造业产品的需求函数为:
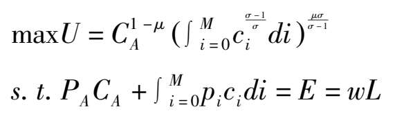
重新考虑消费者的效用最大化问题:
代人需求函数(3-8)式,可得:
上式即为最终的消费者对制造业产品的需求函数。