



光催化的基本原理是光催化剂在光照下被激发产生光生电子和空穴,电子和空穴迁移至催化剂表面与目标物发生氧化或者还原反应。从基本原理出发,光催化技术有两个方面的应用,即利用空穴以及后续生成的自由基进行氧化反应方面的应用和利用电子进行还原方面的应用。从氧化的角度讲,光催化技术可以用于室内外有机污染物的氧化净化、水体系中的有机无机污染物的氧化降解、器件及医疗用品的光催化杀菌三大方面;从还原的角度讲,光催化技术可以利用电子还原能力进行光解水制氢气和还原CO 2 生成有机化合物(即模拟自然界的光合作用)两大应用,后者主要是将光能转换为化学能存储。除此之外,光催化技术还可以应用于污水中的氨氮降解、自洁净玻璃、防雾玻璃等等。
挥发性有机污染物是常见的室内外污染物,造成大气污染的原因,既有自然因素又有人为因素,尤其是人为因素,如工业废气、燃烧、汽车尾气和核爆炸等,主要成分有二氧化硫、氮氧化物、一氧化碳等。室内污染的最大来源为装修材料,不外乎人造板材、夹心板、胶、漆、涂料、黏合剂、花岗岩、大理石、瓷砖及石膏等,这些材料多多少少均含有甲醛、苯、氨、氡等四种污染物,零污染的装修材料是不存在的。从各行业工厂、建筑材料、家具、交通工具和电器等释放到大气的挥发性有机化学物质多达350种,这些化学物质刺激人的眼、鼻、喉和肺等器官,会引发人类和动物呼吸系统、神经系统、生殖系统、循环系统以及免疫系统的功能异常,出现头晕头痛、呼吸困难、眼睛流泪、感冒等身体不适症状,长期吸入甚至可以引起白血病、脑损伤、胎儿畸形、发育不正常和癌症等难治之症。以TiO 2 为例,在大于387nm的光照下,价带中的电子会被激发到导带,形成带负电的高活性电子e-,同时在价带上留下一个带正电的空穴h + 。在内电场的作用下,电子与空穴迁移到粒子表面的不同位置。热力学研究证明,分布在表面的h + 可以将吸附在TiO 2 表面的OH、H 2 O分子等氧化成羟基自由基 [21] 。而羟基自由基能氧化大多数的有机污染物,并将其最终分解为CO 2 、H 2 O等无害物质。利用光催化技术降解气相污染物的实验研究和理论模型已有大量报道 [22 -25] 。到目前为止,对于大气及室内污染物光催化净化的研究体系主要集中在TiO 2 上,常见的大气污染物,如氮氧化物 [26] 、硫氧化物 [27] 、甲醛 [22] 、苯类 [28] 等均可以通过光催化技术降解。美、日已经有利用光催化技术制备的空气净化设备,用于处理室内、隧道、医院内的有害气体;开发的家用和车用光催化空气净化器也具有良好的净化空气、杀菌、除尘的效果。国内也出现了与灭蚊灯结合的光触媒空气净化设备,利用紫光灯杀虫的同时进行空气净化和杀菌。
光催化技术最早被发现是从人们发现“钛白”现象开始,1976年,Carey小组报道了二氧化钛在紫外光照射下可以降解多氯联苯 [29] ,继而引发了人们对光催化技术用于环境治理的关注。水中的污染物主要来源于工业废水、生活废水以及农业污水,涉及的种类主要有有机磷化合物(杀虫剂、农药等)、含卤代芳香化合物、表面活性剂、染料、烃类、苯类、酚类、醚类、聚合物、药品、个人护理品以及重金属离子等。目前的水处理技术主要有物理吸附法、化学氧化法、微生物处理法等等,存在着成本高、易产生二次污染、适用范围窄等难题。研究表明,通过非均相半导体光催化反应可以降解有机污染物,将其矿化为CO 2 、H 2 O和无机盐。相对于其他高级氧化技术,如臭氧、紫外线、过氧化氢、Fenton试剂、氯气等,光催化技术仅需人工光源或太阳光,以空气中的氧气作为氧化剂,无须加入其他试剂,就可以深度降解几乎所有的有机污染物,显示出巨大的优势,尤其是对于常规物化和生化水处理技术难以应对的高浓度、高毒性、难降解有机污染物。如染料废水因其色度高和毒害作用强而难于处理,而利用光催化技术在几个小时内就可将多种染料彻底脱色和氧化。另外,农药废水具有高毒性的特点,常规的微生物在其中无法生存,农药废水的处理一直是困扰科研人员的一个难题,而光催化技术无疑是解决这个问题的最佳途径。光催化技术能破坏含磷和含氮的有机化合物的分子结构而使其丧失毒性,继而被彻底分解为无毒的无机盐。
细菌主要由脂类、蛋白质、酶类以及核酸大分子等组成,归根结底都是由C、H、O、N、P等基本元素组成的有机物构成,而光催化剂在光照下产生的羟基自由基、超氧自由基以及其他高活性氧化基团都可以直接或通过一系列氧化链式反应而对生物细胞结构产生损伤性破坏,导致细菌死亡。1985年,Matsunaga课题组首次报道了TiO 2 在紫外灯照射下可以消灭大肠杆菌的活性 [30] ,研究结果显示,负载了Pt的TiO 2 粉体可以在120min内成功抑制革兰氏阳性菌嗜酸乳杆菌、酿酒酵母菌、革兰氏阴性菌大肠杆菌和小球藻的活性,这一原创性的工作激发人们开始了对TiO 2 光催化杀菌性能的研究。后来Ireland等人发现在流动的水器皿中锐钛矿相的TiO 2 对培养的革兰氏阴性菌大肠杆菌具有抑制作用,并且用去除氯的自来水和地表水进行评估,发现对纯培养物和自然水样中生长的菌群都可以快速地杀死,这一工作为TiO 2 作为饮用水消毒剂提供了可能性,这一远见也奠定了他们的工作在抗菌领域的深远影响力 [31] 。最近的抗菌研究开始转向那些抗性强的微生物、真菌类的微生物,所有的研究结果均证明,光催化技术对于医疗和饮用水的抗菌处理具有非常诱人的前景。
20世纪70年代初,日本学者Honda和Fujishima首先通过TiO 2 发现了这一现象 [12] 。此后,国内外对光催化材料的研究一直集中于TiO 2 及其衍生材料。相对于其他材料,TiO 2 具有无可比拟的优势,如合成可控、成本低、具有合适的能带结构、机理研究较为透彻等等。并不是所有的材料均是光解水材料,光催化材料若想实现光解水制氢气,需要满足两个关键条件:(1)禁带宽度应在1.23eV到3.26eV之间;(2)半导体材料的导带底要比H + /H 2 (0V vs NHE)的氧化还原电位更负,与此同时,价带顶要比O 2 /H 2 O(1.23V)的氧化还原电位更正。光催化分解水的反应是个“上坡反应”,反应过程中其吉布斯自由能增加238kJ/mol,反应可逆,这就意味着反应的发生需要高能量的光子来克服能垒。此外,其逆反应也会和产氢反应相竞争,为了克服这一缺陷,有两种主要解决途径:一是加入牺牲剂,二是表面负载过渡金属氧化物和贵金属。在过去的数十年中,人们已经发现的具有光解水制氢能力的半导体光催化剂包括以CdS为代表的硫化物体系、以TiO 2 为基础的钛酸盐体系以及铌酸盐和钽酸盐体系。
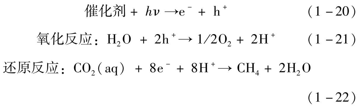
近年来,种种原因导致排放到大气中的CO 2 含量不断增加,所产生的“温室效应”可造成海平面上升,极地冰川融化等重大破坏生态平衡问题,引起越来越多学者的关注。但随着家庭汽车的普及和工业经济的发展,对石化燃料需求的不断增长和化石燃料有限储量之间的矛盾升级,利用CO 2 作为碳源来合成有机物燃料成为研究的热点。由于光催化过程中产生的高活性电子,让人们很容易联想到光催化技术。只要空穴电位大于参与反应的被氧化物的氧化电位,电子的还原电位低于要参与光催化反应的被还原物的还原电位,光催化还原CO 2 的过程就会发生。这里以光催化还原CO 2 为CH 4 为例:
这里,选用的半导体光催化剂只要产生的空穴(h + )的氧化电位大于O 2 /H 2 O的氧化电位,电子(e-)的还原电位低于CO 2 /CH 4 的还原电位,就可以还原CO 2 产生甲烷。研究表明,光催化技术确实可以还原CO 2 生成甲烷、甲醇、甲酸等有机物。例如Sharma小组研究发现,中性红复合的TiO 2 在水介质中可以将CO 2 还原为甲酸和甲醛,并且光的强度、中性红的浓度等参数会影响产物的产量 [32] 。另外,通过设计可将染料敏化区和催化区分开,可以有效地促进电荷分离,促使CO 2 的还原和氧气的产生在不同的催化电极上,避免了生成的有机化合物再次被氧化,大幅提升了TiO 2 薄膜还原CO 2 生成甲酸、甲醛和甲醇的效率 [33] 。从目前来看,利用光催化技术来还原CO 2 是CO 2 转换利用的一条较好途径。由于此反应利用光能将CO 2 转化为有机物,此过程将光能转化为化学能存储,类似自然界中的光合作用,因此又称此反应为“人工光合作用”。