



该部分首先对社会融入相关理论进行全面梳理和归纳,从经济学的角度阐释并界定生态移民的城镇融入的内涵与本质。其次构建表征生态移民的城镇融入的各项指标,选择合适的代理变量,以三江源地区生态移民入户调查资料为数据,对三江源地区典型移民安置村庄生态移民的城镇融入状况进行测量,利用因子分析法测量总体融入度。最后依据现有理论和实证研究,拟从经济融入、社会融入、文化融入、心理融入4个维度探讨生态移民的城镇融入,分别从各维度衡量城镇融入的特征,拟采用熵值法或因子分析法等进行测量,比较不同维度的融入度差异。
该部分重点研究在生态移民生计策略选择偏好阶段,生态移民的城镇融入如何影响其生计策略的选择偏好。首先,对生态移民生计策略选择偏好的现状进行分析,对三江源地区生态移民生计策略选择偏好进行描述性统计,划分移民生计策略选择偏好的构成。其次,分析生计策略选择偏好的原因,比较不同移民生计策略选择偏好有何差异。最后,提出该部分的研究假设,拟分别用多元Logit模型进行实证检验。
该部分重点研究在生态移民生计策略选择行为阶段,生态移民的城镇融入如何影响其生计策略的选择行为。首先,根据现有研究成果,结合三江源地区典型移民安置村庄调查实际情况,将生态移民生计策略的类型划分成三种,即纯农牧业型生计策略、兼业型生计策略、非农牧业型生计策略。其次,对生态移民生计策略选择行为进行描述性统计分析,由此评价其生计策略选择行为,并比较不同生计策略选择行为之间的差异。最后,提出该部分的研究假设,拟采用二元Logit模型分别检验社会融入对三种生计策略行为的影响,并分析城镇融入的不同维度在生计策略选择行为中的作用。
该部分重点研究城镇融入对生态移民生计策略选择效果的影响,试图回答城镇融入各个维度对生计策略选择效果的作用机制。首先,根据相关理论研究基础,选取生态移民生计策略选择效果评价指标,拟利用合适变量表征生计策略选择效果。其次,运用实地入户调查数据对生态移民的健康、教育、生活水平进行分析,并探究生计策略选择的效果。最后,提出该部分的研究假设,拟采用Heckman模型和内生转换模型分别检验城镇融入对生计策略选择效果,同时评价不同生计策略类型选择效果。
该部分对本书的研究成果进行总结。结合三江源地区生态移民的城镇融入存在的困难等,提出实现移民搬迁后生计可持续性及缓解贫困的具体建议,进一步凝练出能够在更大范围内推行的有效行动方案,进而为相关部门的政策制定提供有操作性的建议。最后,本部分提出本书研究的不足之处和未来研究方向。
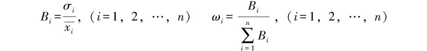
(1)采用变异系数法对城镇融入测算指标体系的指标赋权。变异系数法是一种客观的赋权法,该方法在确定权重系数时,依据的是评价体系中的评价指标数值之间的差异程度,即差异程度越大,该指标分配到的权重越大,能较为客观地反映各评价指标在综合评价指标体系中的重要性。本书拟选取经济融入、社会融入、文化融入、心理维度包含的一些指标表征城镇融入。该方法的计算过程如下:
式中,
B
i
代表第
i
个指标的变异系数值;
σ
i
代表第
i
个指标的标准差;
代表第
i
个指标的均值;
ω
i
代表各个指标的权重赋值。
(2)采用因子分析法测算城镇融入指数。因子分析法主要是采用了降维的思路,将一系列可能具有多重共线性的指标通过矩阵转换,提取出能够反映原始数据多数信息的主因子,并对其进行命名,构成新的评价指标。生态移民的城镇融入可以通过经济融入、社会融入、文化融入与心理融入指标测量。
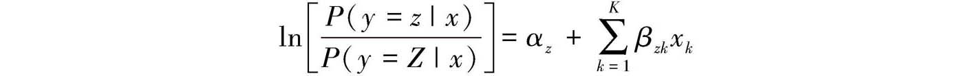
(3)采用多元Logit模型验证生态移民的城镇融入对生计策略选择偏好的影响。当因变量为多元的、非连续型变量时,可采用多元Logit模型进行估计,公式如下:
式中,
P
(
y
i
=
z
)代表个体选择第
z
种选择偏好的概率;
x
k
代表第
k
个影响个体选择偏好的自变量,其他剩余的是解释变量;
β
zk
代表自变量回归系数的向量。将Z作为参照类型,个体选择的其他类型策略的选择概率与选择
Z
类策略的选择概率的比值
为事件发生比。
(4)在计量模型中,通常假定被解释变量为连续性变量,但实际也可能出现非连续性变量的情形。本书以生态移民是否选择农牧业型生计策略、是否选择兼业型生计策略及是否选择非农牧业型生计策略为变量,用二项Logit模型验证生态移民的城镇融入对生计策略选择行为的影响,将样本移民生计策略选择行为分为愿意和不愿意,分别赋值为“0”和“1”,并用如下公式进行参数估计:
式中, P 代表生态移民生计策略选择行为从不愿意到愿意发生的概率; x 1 代表生态移民的城镇融入; x n 代表控制变量。
(5)Heckman两阶段模型。拟将移民的城镇融入行为的融入决定和融入程度这两个阶段引入模型进行估计,模型构建如下:
上述式(1)表示选择方程,式(2)表示结果方程。式中,
和
代表潜变量,
y
i
1
和
y
i
2
代表因变量,
和
代表自变量的向量;
α
和
β
代表待估计系数,
μ
i
和
ε
i
代表残差项,
i
代表第
i
个样本。根据上述两公式,构建下述无条件概率模型:
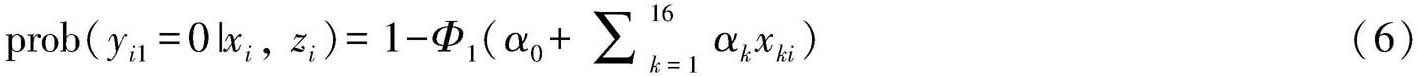
上述式(3)~式(5)中, Φ 1 (*)代表标准正态分布函数; Φ 2 (*)代表累计二元正态分布函数。根据数据可得性与研究目的,将 y i 分别作为移民城镇融入决定和融入程度的因变量,将 x i , z i 作为自变量及识别变量。其中,为保证式(1)估计的可识别性,式(1)中至少要包含一个不在式(2)中出现的变量,且这些变量对式(1)因变量有直接影响,但对式(2)因变量没有直接影响,这些变量被称为识别变量。由式(3)~式(5),将研究模型扩展如下:
上述式(6)~式(8)中, α 0 和 β 0 代表常数项。对实证模型采用极大似然估计,可得相应待估计系数与检验所需统计量。
(6)内生转换回归模型的两阶段估计思路为:首先对选择方程进行估计,其次对结果方程进行估计,估计方程如下:
基于以上内生转换模型的式(10)和式(11),将高水平城镇融入移民和不属于高水平城镇融入移民的家庭收入的方程表述为以下式(12)和式(13):
对于高水平融入移民而言,其家庭收入的平均处理效应( ATT )由式(12)与式(13)相减得到: