



可靠性分布模型是由产品失效数据拟合出来的概率模型,在可靠性分析中,它能够准确反映产品的失效分布规律并且与可靠性评价特征量也有着紧密的联系。常用的机电类可靠性分布模型有韦布尔分布模型、指数分布模型、正态分布模型和对数正态分布模型,本节将详细分析这4种分布模型并推导出模型求解方法。
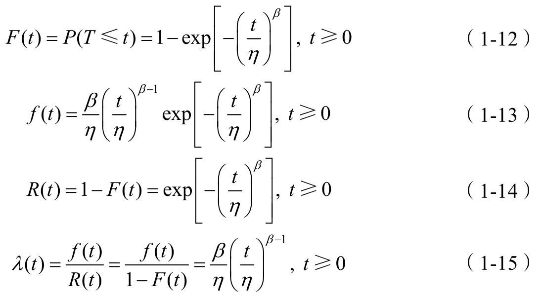
韦布尔(Weibull)分布模型对浴盆曲线反应较为灵敏。在工程应用中,两参数韦布尔分布是最基本的形式,设 T ~ W ( β , η ),则其可靠性评价函数分别表示为
其中, β 为形状参数, η 为尺度参数。
当 η 取值不同时,函数的峰度也会不同,但并不影响图像形状; β 则决定了图像形状的变化趋势,改变 β 的值会对函数性质产生根本影响。图1-4给出了当 η 恒定( η =500)而改变 β 时,4种可靠性评价函数仿真曲线的变化情况。
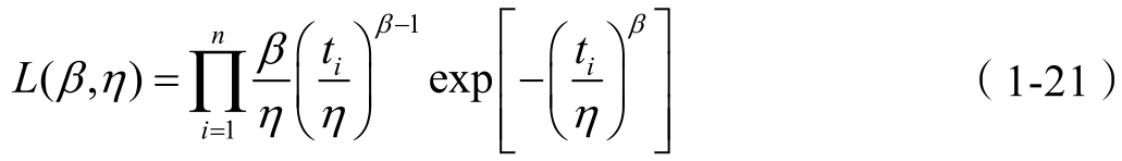
对于采用韦布尔分布模型的可靠性评价函数,其求解过程主要是对各参数的估计。基于最大似然估计(M aximum Likelihood Estimation, MLE)的参数求解法(MLE法),精度和统计性质较高,求解结果不依赖于经验分布函数,且可对参数点估计与区间估计进行有效的评估,尤其在处理不完全故障数据时具有明显优势。故本节采用MLE法对模型参数进行求解,其方法建立过程如下:
设样本 T 的概率密度为
式中, θ 为函数的待估计参数,假设( T 1 , T 2 ,…, T n )为随机变量,且观测值 t i ( i =1,2,…, n )的联合概率密度为
则( T 1 , T 2 ,…, T n )落入( t 1 , t 2 ,…, t n )邻域内的概率为
图1-4 韦布尔分布模型可靠性评价函数仿真曲线
求解出最大值
,该值即为参数的最大似然估计值。另外式(1-18)的Δ
t
i
是一独立增量,故
式中,
称为极大似然函数。当分布函数中有参数
θ
1
,
θ
2
,…,
θ
k
时,则最终构建的似然函数表达式如式(1-20)所示。
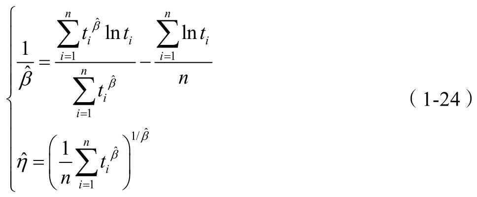
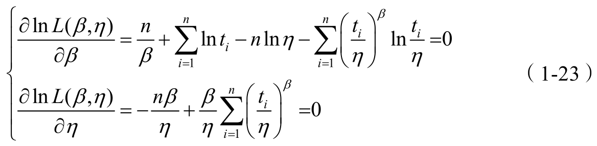
对于包含参数 β 、 η 的韦布尔分布,将式(1-13)代入式(1-20),建立极大似然函数:
对式(1-21)进行对数变换:
对参数 β 、 η 求偏导得:
整理得:
式(1-24)即为两参数MLE公式,该超越方程可通过MATLAB的牛顿-拉夫逊迭代算法求解。