



狄拉克(Paul Dirac,1902—1984)是量子力学大厦的缔造者之一。量子力学中有关力学变量 p (动量)和 q (坐标)之间非对易性的数学基础,就是他建立起来的。所以,他在1972年70岁的时候发表的下述看法颇为引人注目:
因此,如果有人问到量子力学的主要特征是什么,我觉得我现在会说它不是非对易代数。所有原子过程都建立在几率振幅存在的基础之上。如今,几率振幅只是部分地和实验相关。它的模的平方是我们能够观察到的。那正是实验人员得到的几率。但除此之外还有一个相位,它是一个模为1的数,它的变化不影响模的平方的值。这个相位非常重要,因为它是所有干涉现象的原因,但它的物理意义模糊不清。所以海森伯和薛定谔的真正伟大之处可以说就是发现包含这一相位因子的几率振幅的存在。该相位因子在自然界隐藏得非常之深,也正因为它隐藏得太深,人们才没能在更早的时候想到量子力学。
在之前的各种波动理论中当然早就有了相位的概念,但它进入基本物理学却有着曲折的历史,我们可以将其概括为如下几个阶段。
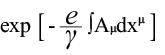
(a)在爱因斯坦通过引入二次微分形式d s 2 而将引力几何化之后,1918年外尔(Hermann Weyl,1885—1955)试图通过引入线性微分形式d φ 来将电磁学几何化。他认为d φ 等于 A μ d x μ 乘以一个常数,并考虑如下“伸展因子”(stretch factor)
(1)
将它用到沿四维路径输运的粒子上,类似于广义相对论中矢量的平行位移。爱因斯坦对外尔的这些想法进行了批评,他指出,如果一个米尺在沿世界线的方向连续伸展,那么米尺的标准化就不可能了,这是一个毁灭性的批评。外尔无言以对。
(b)1922年,在一篇题为《关于单电子量子轨道的奇特性质》的论文中,薛定谔(Erwin Schrödinger,1887—1961)注意到,外尔的伸展因子在沿玻尔轨道计算时会得到一个指数,该指数等于一个常数的整数倍。薛定谔说这是一个值得注意的特性,他说:
很难相信这一结果仅仅只是量子条件的一个偶然的数学结果,而没有深层次的物理意义。
接下来他猜测常数 γ 应该取什么样的值。事后想想,真正奇特的是这样一个事实,那就是薛定谔提到的可能值中包含这样一个结果
γ =-i ħ (2)
在这种情况下,伸展因子将等于1。……我不敢判断在外尔的几何中这是否有意义。
所有这一切发生在1922年!要是薛定谔顺藤摸瓜地研究下去,他可能早在1922年就发现了波动力学!事实上,他显然放弃了这一思路,只是到1925年末当他读了德布罗意(Louis Victor de Broglie,1892—1987)关于粒子波长的看法之后,才又重新考虑它。在1925年11月3日写给爱因斯坦的一封信中,他这样写道:
在我看来,德布罗意对量子规则的诠释,在某些方面和我发表于1922年的一篇论文( Zs. F. Phys . 12, 13(1922))中所注意到的现象有关联。在该论文中,我证明外尔的“规范因子”exp[-∫ ϕ d x ]在每一个准周期里有一个奇特性质。在我看来,两者的数学是一样的,只是我的结果更加形式化,不如德布罗意的那么漂亮且具普遍性。德布罗意在他的大理论框架之中的考虑所具有的价值远远大于我的零散、单一的陈述,而且我当初甚至都不知道它有什么意义。
两个半月以后,也即1926年初,他将他创立波动力学的重要论文提交发表。
将(2)式代入(1)式,外尔的伸展因子就变成了相位因子。回想起来,那正是相位主旋律首次进入量子力学,不过还只是作为一种隐隐约约、似有若无的重复背景音。
(c)1926年以后,薛定谔没有再回到这一主题,因此没有对它做进一步的研究。实际上,他强烈反对将
引入他的波动方程。是福克(Vladimir Fock,1898—1974)和伦敦(Fritz London,1900—1954)认识到有必要将i引入量子电动力学中的。伦敦特别在1927年发表了一篇题为《外尔理论的量子力学诠释》的论文,其中引用了薛定谔1922年的论文。在伦敦的这篇论文中,伸展因子——已经变成了相位因子——是讨论的中心问题。
(d)1929年,外尔重又发表了一篇重要的论文,它真正发起了过去和现在都被误称为电磁学规范理论(实际上应该称之为电磁学相位理论)的研究。这篇了不起的论文同时还讨论了二分量中微子理论,该理论在50年代成为非常重要的理论。
(e)外尔的论文比较散乱和具有哲学意味,和我同时代的物理学家很少有人去读他的文章。我们都是从泡利发表于《物理手册》(1933)和《现代物理评论》(1941)上的评论文章中了解到外尔的电磁学规范理论的。但泡利没有强调外尔的伸展因子概念改变为电磁学的相位因子。因此,相位因子的重要性又过了几十年才被人们认识到。


