



表2-1 任务工单
·扫描二维码,观看电路的基本物理量微课。
·思政聚焦——中国梦·大国工匠篇。
电路的基本物理量
思政聚焦-中国梦·大国工匠篇
一、电流
1.定义
带电粒子(电荷)在电场力的作用下定向移动形成电流,电流的大小用电流强度表示。
2.电流强度
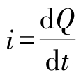
单位时间内通过某一导体横截面的电量,称为电流强度。简称电流。用符号 i 表示。设在时间d t 内通过导体截面的电量为d Q ,则电流表示为
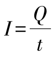
大小和方向都不随时间变化的电流称为恒定电流,用大写字母 I 表示,对于直流电,若在时间 t 内通过导体横截面的电量为 Q ,则电流为
3.单位
在国际单位制(SI)中,电流的单位是安(培)(A),常用单位还有kA(千安)、mA(毫安)、μA(微安)等。
1kA=1000A
1A=1000mA
1mA=1000μA
4.电流的参考方向
在进行复杂电路的分析时,若电流的实际方向很难确定或在电流的实际方向是变化的情况下,则需要假定一个电流正方向,称为参考正方向,简称为参考方向。电流的参考方向可用箭头表示,也可用字母顺序表示,当电路中电流的参考方向与实际方向一致时,电流为正,即 i >0,如图2-2a所示;当电流的参考方向与实际方向相反时电流为负,即 i <0,如图2-2b所示。在进行电路分析时,如果没有事先选定电流的参考方向,电流的正负就是无意义的。
图2-2 电流的参考方向
例如通过图2-2a中元件的电流为5mA,电流实际由左流向右,反之则电流 i 为-5mA。
二、电压
1.定义
带电粒子在电场力作用下沿电场方向运动,电场力对带电粒子做功。为衡量电场力对带电粒子所做的功,引入电压的概念。电场力把单位正电荷从电场中的a点移到b点所做的功,称为a、b间的电压。
U ab = W ab / q
2.单位
在国际单位制中,电荷的单位是C(库仑),功的单位为J(焦耳),电压的单位为V(伏特)。常用单位还有kV(千伏)、mV(毫伏)等。
1MV=1000kV
1kV=1000V
1V=1000mV
3.参考方向
电压参考方向和电流一样,电路图中所标的电压方向也都是参考方向,只有在已经标定参考方向之后,电压数值才有正、负之分。一般地,在元件或电路两端用符号“+”“-”分别标定正、负极性,由正极指向负极的方向为电压的参考方向,并以箭头标示。如果电压 U 为正值,则实际方向与参考方向一致;如果电压 U 为负值,则实际方向与参考方向相反。
4.关联与非关联参考方向
一个元件的电压或电流的参考方向可以独立地任意假定。如果指定流过元件的电流参考方向是从标以电压正极性的一端指向负极性的一端,即两者的参考方向一致,则把电流和电压的这种参考方向称为关联参考方向;当两者不一致时,称为非关联参考方向。在分析计算复杂电路时,参考方向的规定常有一些习惯的方法。
三、电位
电场力将单位正电荷从某点a移到参考点o(又称为零电位点或接地点)所做的功。
V a = W ao / q
在国际单位制(SI)中,电位的单位和电压相同,也是伏特(V)。
电路中两点间的电压也可用两点间的电位之差来表示,即
U ab = V a -V b
四、电功率和电能
1.电功率
电场力在单位时间内所做的功称电功率。电功率表征了电流做功的速率(快慢)。电功率以字母 P 来表示,
P = W/t
元件电流和电压的参考方向为关联情况,如图2-3a所示,将 W = Uq ,且 q = It 代入得到电路吸收的电功率为
P = UI
图2-3 电流、电压参考方向
元件电流和电压的参考方向为非相关联情况,如图2-3b所示,电功率为
P = -UI
若 P >0,元件在电路中实际吸收功率,元件为负载;
若 P <0,元件在电路中实际发出功率,元件为电源。
在国际单位制(SI)中,功率 P 的单位为瓦特,用字母W表示。除瓦特外常用的功率单位还有千瓦(kW)、兆瓦(MW)等。其换算公式为
1兆瓦(MW)=10 3 千瓦(kW)=10 6 瓦(W)
2.电功
电流能使电动机转动、电炉发热、电灯发光,说明电流具有做功的本领。电流做的功称为电功。
W = Pt = UIt
在国际单位制(SI),电功的单位是焦耳,简称焦,符号为J。电功的单位也可表示为千瓦时(kW·h),俗称“度”。它表示功率为1kW的用电器在1h中消耗的电能,即
1kW·h=1kW×1h=3.6×10 6 J
【 例2-1 】某电视机的功率为60W,平均每天开机2h,若每度电费为人民币0.5元/度,则一年(以365天计)要缴纳多少电费?
解 :电视机一年内消耗的电能为
W = Pt =60×10 -3 kW×2h×365=43.8kW·h
则一年电费为43.8度×0.5元/度=21.9元
3.电气设备的额定值
额定值:电气设备在给定的工作条件下正常运行的容许值。
额定电流 I N :电气设备在电路的正常运行状态下允许通过的电流。
额定电压 U N :电气设备在电路的正常运行状态下能承受的电压。
额定功率 P N :电气设备在电路的正常运行状态下吸收和产生功率的限额。
三者之间的关系:
P N = U N I N
问题[2-1] 习惯上把什么电荷运动方向规定为电流方向?
________________________________________
问题[2-2] 电路图中标注的电流方向都是指什么方向呢?
________________________________________
问题[2-3] 日常生活中家用电器的额定电压为多少?
________________________________________
问题[2-4] 习惯上规定电压实际方向是指什么?
________________________________________
问题[2-5] 电位的参考点如何选择?当电路的参考点改变了,电路中各点电位是否变化?两点的电压是否变化?
________________________________________
问题[2-6] 某空调的额定功率为1kW,则额定电压运行下的该空调每月(每月按30天,每天按4h计算)耗电量是多少度呢?
________________________________________
问题[2-7] 列举日常生活中各种家用电器的额定功率分别为多大?
________________________________________
一、任务准备
从表2-2中选出任务过程中所需要设备,并查阅资料在图标下面注明参数。
表2-2 设备工具清单
二、防护措施(见表2-3)
表2-3 防护措施
三、任务分配(见表2-4)
表2-4 任务分配表
四、任务步骤
1.数字万用表的使用方法
测量时,将电源开关拨至“ON”,黑表笔插入“COM”插孔,红表笔则应根据被测量的种类和量程的不同,分别插入“V·Ω”“mA”或“20A”插孔。
(1)直流电压与交流电压的测量
转换开关置于直流或交流电压档的适当档位。将红表笔插入“V·Ω”插孔,电源开关拨至“ON”,两表笔并联在被测电路两端,显示屏上就会显示出直流或交流电压的数值。若输入超量限,则显示屏左端显示“1”或“-1”的提示符。小数点由量限同时控制左移或右移。
(2)直流电流与交流电流的测量
量程开关置于直流电流或交流电流档的适当档位,将红表笔插入“mA”(电流值小于200mA)或“20A”插孔(电流值大于200mA)。将万用表串联在被测电路中,显示屏上即可显示出直流或交流电流的数值。
(3)电阻的测量
量程开关置于欧姆档的适当档位,将红表笔插入“V·Ω”插孔。若量程开关置于200M、20M或2M档,则显示值以“MΩ”为单位,其余档均以“Ω”为单位。
2.操作步骤
(1)测量图2-4所示电路中的电流
图2-4 测量电路的电流
接电路的一般原则:从电源的正极开始接,根据元件的摆放位置,应遵循上进下出,左进右出的原则。
将万用表转换开关置于直流电流100mA档,红表笔接电路A点,黑表笔接电路B点,万用表串入电路,稳压电源 U S 输出取10V, R 取100Ω,可变电阻器 R P (200Ω,1A)调至最大值 R P ,闭合开关S,可变电阻器 R P 分别取 R P /4、 R P /2、3 R P /4和 R P ,测量相应的直流电流值,记入表2-5中。改变量程时,应断开开关S。
(2)测量稳压电源输出电压 U S
如图2-5所示将稳压电源输出电压 U S 分别调至2V、4V、6V和8V,将万用表转换开关置于直流电压10V档,红表笔接稳压电源正极,黑表笔接稳压电源负极,测量上述各电压值,记入表2-5中。将稳压电源输出电压 U s 分别调至10V、20V、30V和40V,将万用表转换开关置于直流电压50V档,测量上述各电压值填入表2-5中。
图2-5 测稳压电源输出电压
(3)测量实验设备上220V和380V的交流电源电压
将万用表转换开关分别置于交流电压档250V和500V档,测量实验桌上220V和380V的交流电源电压,记入表2-5中。
(4)万用表用完后,调至( )档位
(5)实验完毕后,归还设备,清理台面,检查安全条例,培养职业素养
五、结果分析(见表2-5)
表2-5 结果分析表
表2-6 考核评分表
请简单总结任务的完成过程及一些心得体会。
________________________________________