



1.串联电路的结构与特点
几个电阻没有分支地依次相连,称为串联,两个电阻 R 1 、 R 2 的串联电路如图2-1所示。
串联电路中总电阻等于各电阻的和,各元件上的电流相等,总电压等于各负载上的电压和。各电阻上的电压与电阻阻值成正比,阻值越大分得的电压越大。
图2-1 串联电路
R = R 1 + R 2 , I = I 1 = I 2 , U = U 1 + U 2
分压特性:
,
功率关系:
各电阻所获得的功率与电阻阻值成正比,电阻值越大获得的功率越多。
2.串联电路的应用
电阻串联电路广泛应用在分压及限流电路中,通过串联电阻实现电路中的电压调节。
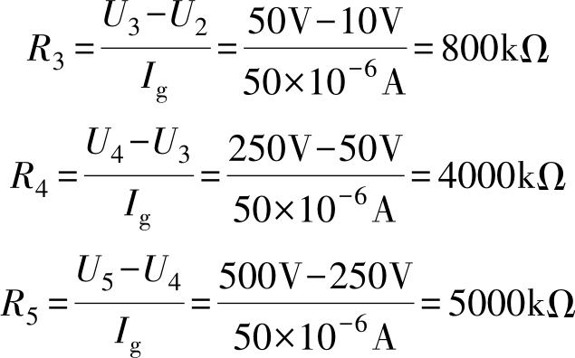
【例2-1】 图2-2为某万用表的直流电压部分,它有5个量程,分别为 U 1 =2.5V、 U 2 =10V、 U 3 =50V、 U 4 =250V、 U 5 =500V,表头参数 R g =3kΩ、 I g =50μA。求各档位分压电阻 R 1 ~ R 5 的电阻值。
解: 各档位最大量程所对应的电流都应该是表头工作电流 I g =50μA,在第1档工作时, U 1 = U g + I g R 1 ,因此有
图2-2 例2-1图
在第2档工作时, U 2 = U g + I g R 1 + I g R 2 = U 1 + I g R 2 ,因此有
同理
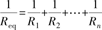
1.并联电路的结构与特点
几个电阻首尾两端分别接于两个节点之间,各电阻处于同一个电压下的连接方式,称为电阻的并联,并联电阻的等效电路如图2-3所示。
并联电阻两端电压相等;总电流等于各电阻中电流之和,并联电阻对总电流起分流作用。即
I = I 1 + I 2 + I 3 +…+ I n
图2-3 并联电阻的等效电路
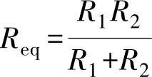
两电阻并联时,其等效电阻为
2.并联电路的应用
并联电阻在电路中的作用:①使电路中总电阻减小,从而使总电流变大;②分流,使原来电路电流分流。
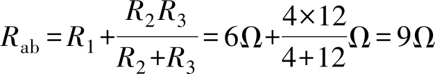
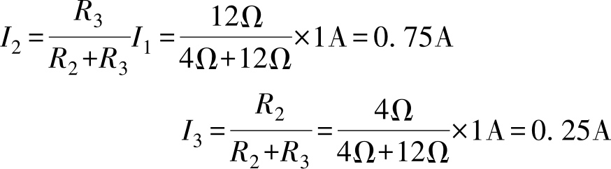
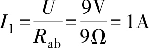
【例2-2】 如图2-4所示电路中,若 R 1 =6Ω, R 2 =4Ω, R 3 =12Ω,外加电压 U =9V。试求电流 I 1 、 I 2 和 I 3 ,以及电压 U 3 。
解: 由题意可得
所以
图2-4 例2-2图
U 3 = I 3 × R 3 =0.25A×12Ω=3V
(续)
(续)