



用若干数位(由数码表示)的组合去表示一个数,各数位之间是什么关系,即逢“几”进位,这就是进位计数制的问题,也就是数制问题。数制即进位计数制,是人们利用数字符号按进位原则进行数据大小计算的方法。通常是以十进制来进行计算的。另外,还有二进制、八进制和十六进制等。
在计算机的数制中,要掌握3个概念,即数码、基数和位权。下面简单介绍这三个概念。
数码:一个数制中表示基数数值大小的不同数字符号。例如,八进制有8个数码:0、1、2、3、4、5、6、7。
基数:一个数值所使用的数码的个数。例如,八进制的基数为8,二进制的基数为2。
位权:一个数值中某一位上的1所表示数值的大小。例如,八进制的123,1的位权是64,2的位权是8,3的位权是1。
下面我们将详细介绍几种数制。
十进制特点如下:
有10个数码:0、1、2、3、4、5、6、7、8、9。
基数:10。
逢十进一(加法运算),借一当十(减法运算)。
按权展开式。对于任意一个n位整数和m位小数的十进制数D,均可按权展开。
例如:将十进制数456.24写成按权展开式形式为:
二进制有如下特点:
有两个数码:0、1。
基数:2。
逢二进一(加法运算),借一当二(减法运算)。
按权展开式,对于任意一个n整数和m位小数的二进制数D,均可按权展开。
例如:把(11001.101) 2 写成展开式,它表示的十进制数为:
八进制特点如下:
有8个数码:0、1、2、3、4、5、6、7。
基数:8。
逢八进一(加法运算),借一当八(减法运算)。
按权展开式。对于任意一个n位整数和m位小数的八进制数D,均可按权展开。
例如:(5346) 8 相当于十进制数为:
十六进制如下特点:
有16个数码:0、1、2、3、4、5、6、7、8、9、A、B、C、D、E、F。
基数:16。
逢十六进一(加法运算),借一当十六(减法运算)。
按权展开式。对于任意一n位整数和m位小数的十六进制数D,均可展开。
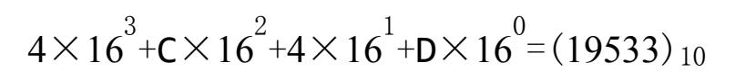
例:十六进制数(4C4D)16代表的十六进制数为:
在十六个数码中,A、B、C、D、E、F这个6个数码分别代表十进制的10、11、12、13、14和15。
表1.1 几种常用的进制之间的对照表