



1.单相绕组的磁动势
单相绕组通以单相交流电流
时产生磁动势,这是一个单相脉振磁动势,即
利用三角恒等式将式(3-1)改写成
在式(3-2)中,等式的左边和右边在数量上完全相等,但代表的物理意义却不相同。等式左边代表着脉振磁动势,其特征是磁动势的轴线在空间固定不动,但各点磁动势的大小随时间而变化;而等式的右边则分别代表两个旋转磁动势,其中第一项为正向旋转磁动势第二项为反向旋转磁动势
第二项为反向旋转磁动势
综上所述,可以得到一个重要结论:一个在空间按正弦规律分布,振幅随时间做正弦变化的脉振磁动势,可以分解成两个转速相同、转向相反的圆形旋转磁动势,每一个圆形旋转磁动势的幅值为原有脉振磁动势振幅的一半。这个重要结论还可以用图示解释。
图3-8是一台单相电动机的示意图,单相绕组产生一个脉振磁动势。对于一个空间正弦分布的脉振磁动势,可以用一个脉动的空间相量
来表示。而
可以用大小相等、转向相反的两个圆形旋转磁动势
和
来代替。从图3-8中五个不同的瞬时可以清楚地看到,当脉振磁动势的幅值为最大时,两个旋转磁动势正好转到互相重合的位置,脉振磁动势的幅值为两个旋转磁动势相量的代数和(见图3-8a、e)。当脉振磁动势幅值减小时,两个旋转磁动势互相离开,此时脉振磁动势的幅值为两个旋转磁动势相量的相量和(见图3-8b)。当脉振磁动势幅值为零时,两个旋转磁动势恰好转到相反的位置,旋转磁动势互相抵消(见图3-8c)。当脉振磁动势为负值时,两个旋转磁动势的夹角大于180°电角度(见图3-8d)。上面的分析也说明了一个脉振磁动势可以分解成两个大小相等、转向相反的圆形旋转磁动势。这个重要概念是分析单相电动机工作原理的基础。
图3-8 单相电动机的脉振磁动势示意
根据这个重要概念,正序旋转磁场和负序旋转磁场分别切割转子导体,并分别在转子中感应出电动势和电流。正序旋转磁场产生的转矩 T + 使转子顺着正序旋转磁场方向旋转,而负序旋转磁场产生的转矩 T - 使转子顺着负序旋转磁场方向旋转,因此正、负序转矩 T + 和 T - 的方向是相反的。正、负序转矩与转差率的关系如图3-9所示。
如果转子转速为 n ,对应正序转矩 T + 的转差率为
而对应负序转矩 T - 的转差率为
从图3-9可以看出,当正序转差率 s + 在0~1的范围内,正序转矩 T + 为拖动转矩时,负序转矩 T - 便为一个制动转矩。合成正序转矩与负序转矩便得到单相电动机的总转矩 T = f ( s )。从图3-9所示的 T = f ( s )曲线可以得到单相异步电动机性能上的几个主要的特点:
图3-9 正、负序转矩与转差率的关系
1)当转子不动时,即转子转速 n =0, s =1时,正、负序电磁转矩大小相等、方向相反,合成电磁转矩为零。所以单相异步电动机是没有起动转矩的,如果不采取其他措施,它是不会自行起动的。
2)在 s =1的两边,合成转矩是对称的,因此单相异步电动机没有固定的转向,究竟朝哪个方向旋转由起动转矩的方向来决定。
3)负序转矩的存在,使电动机的总转矩减小,最大转矩也随之减小,因此单相异步电动机的过载能力不高。单相异步电动机的过载能力为同容量三相异步电动机的80%左右。例如单相异步电动机为1.8倍,三相异步电动机为2.2倍。
4)当负载转矩相同时,单相异步电动机的转差率大于同容量三相异步电动机的转差率。
5)由于负序转矩的制动作用,电动机的有效转矩减小,因而输出功率减少,所以单相异步电动机的效率较低。单相异步电动机的效率为同容量三相异步电动机的75%~90%。
6)由于单相异步电动机效率较低,在输出功率相同的情况下,单相异步电动机每千瓦消耗的材料较多。在容量相同的情况下,单相异步电动机的体积约为三相异步电动机的1.5~2.5倍。在体积相同的情况下,单相异步电动机的容量约为三相异步电动机的1/3~2/3。
综上所述,单相异步电动机的各种技术经济性能指标都低于三相异步电动机,其主要原因是单相异步电动机中存在着负序磁场。
2.两相绕组的磁动势
单相绕组产生的只是一个脉振磁动势,因此单相电动机的起动转矩为零,即电动机不能自行起动。要使单相异步电动机能自行起动,必须如同三相异步电动机一样,在电动机内部产生一个旋转磁场。产生旋转磁场最简单的方法是在两相绕组中通入相位不同的两相电流。因此在单相异步电动机中必须有两套绕组,一套为工作绕组,另一套为起动绕组。一般情况下,这两套绕组的轴线在空间相隔90°电角度。单相异步电动机由单相交流电源供电,如果在起动绕组回路中串入适当的电容,这两相绕组通入的电流相位就不同了。具体地讲,由于工作绕组是感性电路,而起动绕组是容性电路,所以起动绕组中电流
总是超前工作绕组中电流
一个相角
θ
。下面我们来研究两相绕组通以两相电流产生的旋转磁场和这个磁场的性质。
图3-10为起动绕组回路串入电容的单相异步电动机原理图及两相绕组通入电流和外施电压的相量关系,参照式(3-1)可以分别得到:
主绕组磁动势
副绕组磁动势
电动机内的合成磁动势
图3-10 起动绕组回路串入电容的单相异步电动机原理图及两相绕组相量关系图
合成磁动势的性质可以分下面四种情况讨论。
1)两个绕组的磁动势大小相等,相位角为90°,即
将式(3-10)代入式(3-7)及式(3-8)得
因此合成磁动势为
此时电动机内部产生的是一个正向旋转的圆形旋转磁动势。
2)两个绕组产生的磁动势大小不等,但相位角仍为90°,即
将式(3-12)代入式(3-7)及式(3-8)得
因此合成磁动势为
此时电动机内部存在着两个圆形旋转磁动势,其一的幅值为
,沿着
x
轴正方向旋转的圆形旋转磁动势;其二的幅值为
,沿着
x
轴反方向旋转的圆形旋转磁动势。
这两个幅值不同的圆形旋转磁动势的合成磁动势的轨迹为一椭圆,如图3-11所示,因此这是一个椭圆形旋转磁动势。
图3-11 椭圆形旋转磁动势
3)应用上面同样的方法对其余的两种情况进行分析
在这两种情况下,电动机内部的磁动势均为椭圆形旋转磁动势。
3.转子绕组磁动势的作用 在单相绕组情况下,正序旋转磁动势的幅值与负序旋转磁动势的幅值是相等的,各等于单相脉振磁动势的1/2。正、负序磁动势分别产生正、负序磁通,虽然负序磁动势等于正序磁动势,但在正常运行时负序磁通却远小于正序磁通。造成这种情况的原因是由于转子绕组对正序磁场的阻尼作用较小,而对负序磁场的阻尼作用较强。
假定一个旋转磁场从左向右旋转,磁场切割转子导体并在其中感应电动势,如图3-12所示。根据右手定则可知,在正半波下转子电动势是流入纸面⊕,在负半波下转子电动势是流出纸面⊙。由于转子绕组是感性的,电流滞后于电动势。因此将转子电动势分布逆着磁场旋转方向移动一个角度,就得到转子电流分布。根据转子电流分布可以得到转子磁动势 F 2 。从图3-12a可以看出,转子磁动势起去磁作用,去磁作用的大小完全由电流滞后的程度来决定。在图3-12b中,当转子电流与转子电动势同相位时,转子磁动势 F 2 与气隙磁通密度 B 1 相比位移90°,两者正交, F 2 不起去磁作用。在图3-12c中,当转子电流滞后转子电动势90°时,转子磁动势 F 2 与气隙磁通密度 B 1 位移180°, F 2 便有强烈的去磁作用。因此转子电流的去磁作用由电流滞后的程度来决定,电流越滞后去磁作用越强烈。
下面我们研究转子绕组中正序电流和负序电流的相位情况。转子绕组的电抗是正比于转差率的,因此转子绕组的正序电抗 x 2+ 及负序电抗 x 2- 分别为
x 2+ = s + x 2σ = sx 2σ
x 2- = s -x 2σ =(2 -s ) x 2σ
正常运行时,由于转差率 s 很小,所以转子绕组的负序电抗 x 2- 远大于正序电抗 x 2+ ,使得转子绕组中的负序电流的滞后程度远大于正序电流,因此转子绕组对负序磁场的去磁作用强,对正序磁场的去磁作用弱。所以,在单相异步电动机中,虽然正序旋转磁动势的幅值与负序旋转磁动势的幅值是相等的,但由于转子绕组对负序磁场有较强的阻尼作用,因此,正常运行时,单相异步电动机内部的正序磁场总大于负序磁场。相对应,正序磁场产生的转矩也总大于负序磁场产生的转矩,因此单相异步电动机起动以后,就可以顺着正序磁场的方向继续旋转下去。
图3-12 旋转磁场切割转子导体产生感应电动势
1.单相绕组的谐波磁动势 单相绕组的磁动势在气隙中通常不是正弦分布的,利用谐波分析法可将这个磁动势分解为基波和一系列谐波磁动势。对单相绕组的磁动势进行谐波分析,可以得到如下结论:
1)单相绕组磁动势可以分解为基波和一系列谐波。通常谐波次数仅为奇数,即 ν =1,3,5,7,9,…。
2)由于谐波的极数为基波的 ν 倍,如果令 τ p 表示基波磁动势的极距, τ pν 表示谐波极距,则
或者说,对于同一个空间角度,对应基波是
电角度,则对应
ν
次谐波就是
电角度。
3)在坐标原点 x =0处,如果基波为正值,3次谐波便为负值,5次谐波又为正值,7次谐波又为负值等,如图3-13所示。
图3-13 单相绕组磁动势可分解为基波和一系列谐波磁动势
基于上述基本概念,当副绕组中通入电流
时,可写出副绕组的磁动势方程式为
一般情况下,由于主绕组轴线在空间落后于副绕组轴线90°电角度,且主绕组电流在时间上滞后于副绕组电流
θ
电角度,即
,故主绕组磁动势方程式为
2.两相绕组的谐波磁动势 当单相电阻起动和电容起动异步电动机起动时或电容运转单相异步电动机运行时,总是由两相绕组共同作用而产生磁动势,即将式(3-16)和式(3-17)叠加。下面分两相绕组对称运行和不对称运行进行研究。
(1)两相绕组对称运行时的谐波磁动势 两相绕组对称运行时,电流之间的相位差为90°,即 θ =90°。主、副绕组各次谐波的幅值相等,即 F m1 = F a1 = F 1 , F m3 = F a3 = F 3 , F m5 = F a5 = F 5 ,…。此时各次谐波的合成情况如下:
1)基波
总的合成基波磁动势为
式(3-20)说明基波合成磁动势 f 1 ( x , t )是一个正向旋转的圆形旋转磁动势。
令 x-ωt =0,即 x = ωt ,则 ω 1 (rad/s)为
ω 1 =Δ x/ Δ t = ω =2π f
或
转速 n 1 (r/min)为
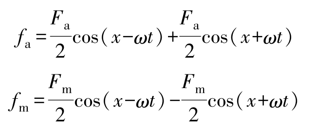
2)3次谐波
总的3次谐波合成磁动势为
式(3-23)说明3次谐波合成磁动势 f 3 ( x , t )是一个反向旋转的圆形旋转磁动势。用同样的方法可以求得3次谐波磁动势的转速为
负号表示3次谐波转向与基波相反。
3)5次谐波
总的5次谐波合成磁动势为
式(3-26)说明5次谐波合成磁动势是一个正向旋转的圆形旋转磁动势。用同样的方法可以求得5次谐波磁动势的转速为
正号表示5次谐波转向与基波相同。
根据上面的同样方法,可以得到下面的结果:7次谐波合成磁动势为反向旋转的圆形旋转磁动势,转速为
或
;9次谐波合成磁动势为正向旋转的圆形旋转磁动势,转速为
或
,等等。
综上所述,在对称运行时,两相绕组所产生的谐波磁动势次数可用下式表示,即
当 ν 为负号时,表示该次谐波合成磁动势反方向旋转;当 ν 为正号时,表示该次谐波合成磁动势正方向旋转。谐波磁动势的转速为
式中 n 1 ——基波旋转磁场的同步转速。
(2)两相绕组不对称运行时的谐波磁动势 两相不对称运行有下面三种情况:①磁动势谐波的幅值不等,即 F m1 ≠ F a1 , F m3 ≠ F a3 ,…;②电流之间相位差不为90°,即 θ ≠90°;③磁动势幅值既不相等,电流之间相位差也不是90°。然而,无论哪种不对称运行情况,总是表现为电动机中两相合成的磁动势为椭圆形旋转磁动势。为了简化分析,这里我们以第一种情况为例进行讨论,但所得结论能适用另外两种情况。
1)基波
两相合成的基波磁动势为
由于 F a1 ≠ F m1 ,故合成磁动势中既有cos( x-ωt )项,又有cos( x + ωt )项。即基波合成磁动势中,既有正向旋转的圆形旋转磁动势,又有反向旋转的圆形旋转磁动势,且转速均为基波旋转磁场的同步转速 n 1 。
2)3次谐波
3次谐波的合成磁动势为
在合成磁动势中,既有cos(3
x-ωt
)项,又有cos(3
x
+
ωt
)项。即3次谐波合成磁动势中,既有正向旋转的圆形磁动势,又有反向旋转的圆形磁动势,且正、反向的转速均为基波同步转速
n
1
的
。
用同样的方法,可以对任意 ν 次谐波进行分析,得到结论是:在不对称运行时,两相绕组所产生的每一次谐波磁动势都包含两个分量,即正向旋转的圆形旋转磁动势和反向旋转的圆形旋转磁动势。因此不对称运行时的谐波磁动势分量要比对称运行时多一倍。其谐波次数可用式(3-35)表示:
由于绝大多数情况下,单相异步电动机的两相绕组总是不对称的,谐波分量比较多,所以谐波对单相异步电动机性能的影响要比三相异步电动机严重得多。
谐波磁场对电动机性能的影响主要表现在三个方面:①使电动机的附加损耗增加;②引起电动机振动,并产生噪声;③产生附加转矩,使电动机的起动发生困难。
在单相异步电动机中,谐波磁场产生的同步附加转矩严重影响起动性能。例如,单相异步电动机起动转矩的大小随着转子位置的不同而发生波动。在某些转子位置,起动转矩较大,而在另一些转子位置,起动转矩又会减小。在某些转子位置,电动机不能起动,这些位置通常称为“死点”,所以单相异步电动机中谐波磁场的存在严重影响着电动机的性能。为了削弱谐波磁场,常用的有效措施就是定子采用正弦绕组及转子采用斜槽。
正弦绕组可以明显削弱定子绕组产生的磁动势谐波,但不能消除磁动势谐波。根据式(3-43)可知,要使磁动势曲线为一正弦波,则导体必须按余弦规律连续分布。但实际上导体总是放在槽里,或者为了节省铜线,往往采用一定的空槽,这样导体就不可能按余弦规律连续分布,而是断续分布的。这种绕组所产生的磁动势波形呈现阶梯形,如图3-14所示。阶梯形波与正弦波之差,就使正弦绕组所产生的磁动势中存在高次谐波,这种谐波与定、转子齿槽存在有关,称为齿谐波。所以正弦绕组只能削弱谐波磁动势,并不能完全消除谐波磁动势。生产实践中通常采用转子斜槽来进一步削弱谐波磁动势对电动机起动性能和运行性能产生的不利影响。
所谓转子斜槽,就是转子上的槽不是与转子轴线平行,而是斜过一个角度。转子槽斜过的距离 b sk 一定要等于能产生附加转矩的那一次谐波极距的2倍,如图3-15所示,即
图3-14 阶梯形波
图3-15 转子斜槽示意
这一关系式在消除同步附加转矩时也是成立的。根据电磁感应定律,转子导条切割齿谐波磁场所产生的感应电动势 e z = B z Lv 与齿谐波磁通密度 B z 成正比,由于转子导条两半部所在处 B z 是大小相等、方向相反,故在导体两半部产生的电动势 e z 也是大小相等、方向相反,这两部分电动势将互相抵消,从而不会产生相应的电流和磁动势。
转子斜槽程度是根据谐波强度来确定的,即由能产生较强附加转矩的那一次谐波波长来决定。所谓谐波强度是指谐波磁动势幅值 F ν 与基波磁动势幅值 F 1 的比值,谐波强度的数学表达式为
采用转子斜槽不仅可以大大削弱异步附加转矩,而且在转子槽扭斜后,转子所产生的齿谐波磁场也随之扭斜同样角度,这样可以削弱转子齿谐波与定子齿谐波磁场之间的相互作用,使同步附加转矩、振动及噪声减小。但斜槽也带来不利的影响,可使转子漏抗增加,从而使最大转矩及功率因数稍有下降。谐波强度见本章附录表3A-2。
单相异步电动机的电磁设计都是基于双旋转磁场理论,即用双旋转磁场法来分析计算它的运行性能。
一般单相异步电动机按通电运行绕组分为:两相绕组,如单相电容运转电动机;单相绕组,如电阻起动、电容起动电动机。
单相电容运转异步电动机有两个特点:①定子上有两个绕组,即两相绕组,两个绕组在空间能做到相差90°电角度,但由于这两个绕组的匝数不等,因而该两相绕组是不对称绕组;②由于主、副相绕组匝数不等,再加上副绕组回路中串有电容器(改变电流相位),所以这两个回路的阻抗不等,使得主相电流
和副相电流
的幅值不相等,相位差也不是90°,因此是两相不对称电流。两相不对称绕组通入两相不对称电流,一般情况下产生的是椭圆形旋转磁场。因此,不能采用三相对称运行和两相对称运行的分析方法。对于对称运行,只要对其一相进行分析和用一相等效电路进行计算即可。但由于此时在电动机内部产生的是个椭圆形旋转磁场(它是由一个正向的圆形旋转磁场和一个反向的圆形旋转磁场合成的),在正向、反向旋转磁场的作用下,电动机的等效电路、参数、主副相电流等各不相同,电动机的性能是由这两种情况下合成的结果。
1.两相绕组异步电动机的等效电路 经过绕组折算以后,主、副绕组完全一样,即原来不对称的两相绕组已折算成对称的两相绕组。经过对称分量法进行分解以后,原来一组不对称的两相电流也由两组对称的电流来代替。
正序电流流过对称的两相绕组产生正序圆形旋转磁场,负序电流流过对称的两相绕组产生负序圆形旋转磁场。这样就可以将电动机产生的椭圆形旋转磁场当作两个圆形旋转磁场的叠加来研究。
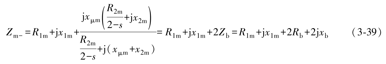
为了简化分析,我们将铁耗所对应的等效电阻 R μ 忽略,这样,仿照一相等效电路,可以分别得到主相m和副相a的正序和负序等效电路,如图3-16所示。
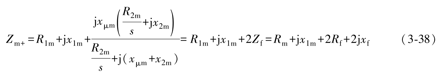
将图3-16中转子支路的阻抗与励磁支路的电抗的并联电路,用一个等效的串联电路来代替,进行简化后得到图3-17。
等效电路的参数为:
主相的正序阻抗
图3-16 主相m和副相a的正序和负序等效电路
a)主相m的正序等效电路 b)副相a的正序等效电路 c)主相m的负序等效电路d)副相a的负序等效电路
R C , x C —电容器 C 的漏电阻和容抗 R 1m , x 1m —主绕组m的电阻和漏电抗 R 1a , x 1a —副绕组a的电阻和漏电抗 R 2m , x 2m —折算到主绕组m的转子绕组电阻和漏电抗 R 2a , x 2a —折算到副绕组a的转子绕组电阻和漏电抗 x μm —主绕组m的励磁电抗 x μa —副绕组a的励磁电抗
图3-17 图3-16的简化电路
主相的正序电阻
R m+ = R 1m +2 R f
主相的正序电抗
x m+ = x 1m +2 x f
主相的负序阻抗
主相的负序电阻
R m- = R 1m +2 R b
主相的负序电抗
x m- = x 1m +2 x b
同理,对于副相的各参数也可以用同一方法求得。但在实际计算时,副绕组的参数往往利用主绕组的参数来代替,因此计算出主绕组等效电路中各项参数后,便可得到副绕组等效电路中的各项参数,即副相的正序电阻
R a+ = R 1a + R c +2 a 2 R f
式中 a ——副、主绕组的有效匝数比。
副相的正序电抗
x a+ = a 2 ( x 1m +2 x f ) -x c
副相的负序电阻
R a- = R 1a + R c +2 a 2 R b
副相的负序电抗
x a- = a 2 ( x 1m +2 x b ) -x c
等效电路中的参数包括:定子绕组电阻、转子绕组电阻、定子绕组漏电抗、转子绕组漏电抗和励磁电抗(通过磁路计算求得)五个参数。有了这些参数,就可以根据等效电路计算出电动机的电气性能。
2.单相绕组异步电动机的等效电路 单相电阻起动和电容起动异步电动机,在起动后转子转速上升到75%~85%的同步转速时,起动开关自行将起动绕组断开,只留下一个工作绕组单独进行工作,等效电路如图3-18所示,变换后如图3-19所示。
等效电路的参数为:
主相的等效总电阻
主相的等效总电抗
主相的等效总阻抗
同样,单相绕组异步电动机的电气性能的计算也是根据等效电路来进行的。
有关单相异步电动机的运行分析、运行性能和起动性能计算请参看专著《单相异步电动机原理、设计与试验》 [20] 。
图3-18 单相绕组异步电动机起动前等效电路
图3-19 单相绕组异步电动机起动后等效电路