



表2A-1 分布系数
表2A-2 短距系数
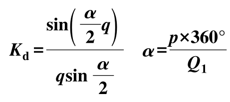
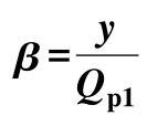
K
p
=sin(
β
×90°)
表2A-3 三相60°相带常用节距漏抗系数 K U 、 K L
表2A-4 三相60°相带谐波单位漏磁导 ∑ S
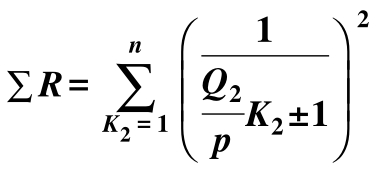
表2A-5 笼型转子谐波单位漏磁导
K
2
=1,2,3,4,5,…,
n
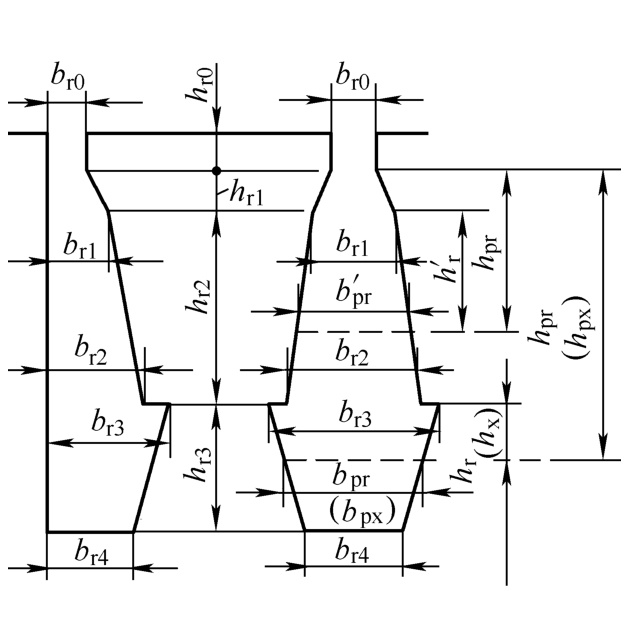
1.定子槽的单位漏磁导
图2B-1
对图2B-1:
图2B-2
对图2B-2:
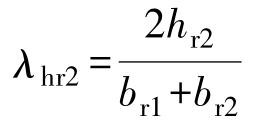
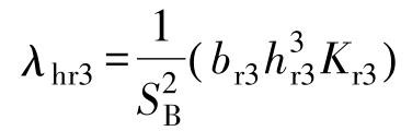
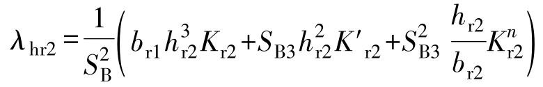
2.转子槽的单位漏磁导
图2B-3
对图2B-3:
图2B-4
对图2B-4:
图2B-5
对图2B-5:
图2B-6
对图2B-6:
图2B-7
对图2B-7:
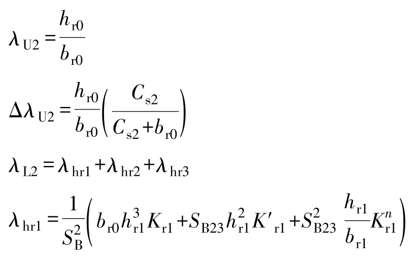
图2B-8
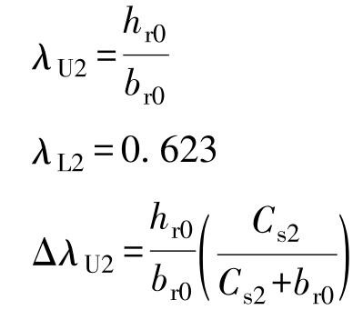
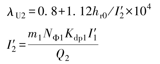
对图2B-8: λ U2 查图2C-9,或按下式计算:
λ L2 梨形槽时查图2C-7,对其他槽形按选用的槽形查对应的公式和曲线。
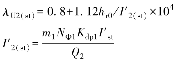
λ U2(st) 按 I st 的假定值查图2C-9,或按下式计算:
图2B-9
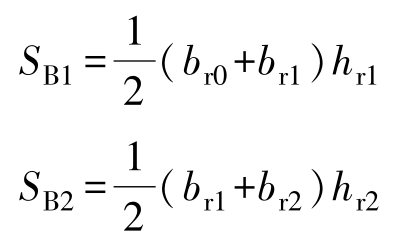
对图2B-9:
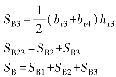
当
S
B1
≪(
S
B2
+
S
B3
)时,可用近似计算
当
S
B2
≪(
S
B1
+
S
B3
)时,可用近似计算
式中
查图2C-8。
和
λ
L2(st)
的计算方法如下:
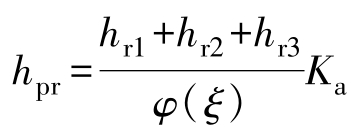
计算起动电阻时,等效槽高
计算起动电抗时,等效槽高 h px =( h r1 + h r2 + h r3 ) Ψ ( ξ )· K a
式中
φ
(
ξ
)、
Ψ
(
ξ
)由107项
ξ
值按
=1查图2C-16或图2C-17;
K a 为截面宽度突变修正系数。
1.
的计算
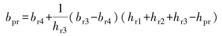
当 h pr >( h r1 + h r2 )时:
式中
h r = h pr -( h r1 + h r2 )
当 h pr ≤( h r1 + h r2 )时:
式中
h ′ r = h pr -h r1
2. λ L2 ( st ) 的计算
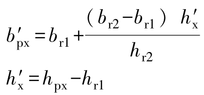
当 h px >( h r1 + h r2 )时:
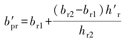
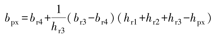
用 b px 代替 b r4 ,用[ h x = h px -( h r1 + h r2 )]代替 h r3 ,按 λ L2 的公式重新计算,即得 λ L2(st) 。
当 h px ≤( h r1 + h r2 )时:
用
代替
b
r2
,
代替
h
r2
,按
λ
L2
的公式重新计算(注意:此时
h
r3
=0),即得
λ
L2(st)
。
图2C-1
图2C-1 波幅系数 F S
图2C-2
图2C-2 轭部磁路校正系数 C 1 、 C 2 (2极)
图2C-3
图2C-3 轭部磁路校正系数 C 1 、 C 2 (4极)
图2C-4
图2C-4 轭部磁路校正系数 C 1 、 C 2 (6极及以上)
图2C-5
图2C-5 平底槽下部单位漏磁导 λ L
图2C-6
图2C-6 圆底槽下部单位漏磁导 λ L
图2C-7
图2C-7 梨形槽下部单位漏磁导 λ L
图2C-8
图2C-8 凸形槽下部单位漏磁导系数
K
r
、
注:曲线可按下列数值延伸:
图2C-9
图2C-9 转子闭口槽上部单位漏磁导 λ U2
图2C-10
图2C-10 节距漏抗系数 K U 、 K L
图2C-11
图2C-11 三相60°相带谐波单位漏磁导∑ S (一)
注: q =3~10。
图2C-12
图2C-12 三相60°相带谐波单位漏磁导∑ S (二)
注:
。
图2C-13
图2C-13三相120°相带谐波单位漏磁导∑ S
图2C-14
图2C-14 笼型转子谐波单位漏磁导∑ R
图2C-15
图2C-15 起动时漏抗饱和系数 K Z
图2C-16
图2C-16 转子趋肤效应系数(一)
图2C-17
图2C-17 转子趋肤效应系数(二)
图2C-18
图2C-18 截面宽度突变修正系数 K a