



1.在数列1,3,2,…中,前两项之后的每一项等于它前面两项之差(前面一项减去再前面一项),则这个数列的前100项之和是___.
2.在数列{
a
n
}中,
a
1
=1,
a
2
=2,且对任意正整数
n
都有
,且
,则
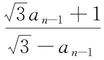
3.实数列
a
0
,
a
1
,
a
2
,…,
a
n
,…满足
a
0
=
a
(
a
∈
R
),且对任意正整数
n
都有
a
n
=
,那么
a
1994
=
___.
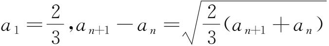
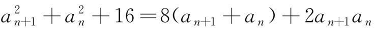
4.设{
a
n
}为
a
1
=4的单调递增数列,且满足
,则a
n
=___.
5.递增的正整数列
a
1
,
a
2
,
a
3
,…满足
.如果
a
7
=120,那么
a
8
=
___
.
6.若数列{
a
n
}满足:
,则
a
2007
=
___.
7 .数列
,…, 当其前
n
项和最大时,
n
的值是___.
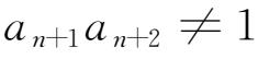
8.整数列 u 0 , u 1 , u 2 ,…满足 u 0 =1,且对任意正整数 n 都有 u n +1 u n -1= k · u n , k 为某个固定的正整数,若 u 2000 =2000,则 k 所有可能的值是___.
9.设
是递增的正整数数列,对于所有的
n
≥1,都有
求证:
是无理数.
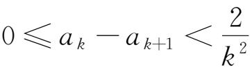
10.数列{
a
n
}为非负实数列,且满足
≤1,
k
=1,2,…,求证:
(
k
=1,2,…).
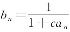
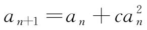
11.数列{
a
n
}各项均为正数,且对任意
n
∈
N
+
,满足
(
c
>0且为常数).
(1)求证:对任意正数 M ,存在 N ∈ N + ,当 n > N 时,有 a n > M ;
(2)设
,
S
n
是{
b
n
}的前
n
项和,求证:对任意
d
>0,存在
N
∈
N
+
,当
n
>
N
时,有